Ekonomika ISSN 1392-1258 eISSN 2424-6166
2025, vol. 104(2), pp. 39–58 DOI: https://doi.org/10.15388/Ekon.2025.104.2.3
Algirdas Bartkus
Department of Quantitative Methods and Modelling,
Faculty of Economics and Business Administration,
Vilnius University,
Saulėtekio al. 9 II, LT-10222, Vilnius, Lithuania
Email: algirdas.bartkus@evaf.vu.lt
Orcid: https://orcid.org/0000-0002-6115-3823
Abstract. This paper deals with the price discrimination issue when a producer applies one price to a buyer in one selling location and another at another selling location for the same product. The specific case under consideration is the consumption of copyrighted products in television broadcasts and payment for them at home and in hotels. Unlike most articles where the analysis of price discrimination is based on the case of discounts to a specific group of consumers, this article deals with the opposite case, where a manufacturer of creative content raises the price for one group of customers compared to a standard group. The examination of the issue is based on a theoretical microeconomic model rather than on statistical data analysis because data on the amounts of copyright payments is unavailable.
The main reason for the analysis, which is based on a theoretical model, is the lack of officially available data on payments to copyright agencies. Different agencies apply their own tariffs to all physical places where creative content can be consumed, and this data is not officially available. The lack of data is not a major obstacle because it would show how things are and not what choice would benefit society. The limitation of the data is that it does not show the motives of the choice but only states the choice itself. The advantage of theoretical modeling is that it allows one to analyze the outcomes with respect to the motives influencing the choice and action.
The article attempts to answer the questions of whether the service provider’s decision to engage in pricing discrimination is a right choice for the provider and what the consequences of this action are for the consumers and society. Based on the analysis of choices, this article also aims to determine the conditions under which price discrimination can be considered a bad practice and when it should be tolerated.
The first part of the paper presents a brief explanation of the problem, a literature survey that encloses the prevailing approaches and points of view on the issue of price discrimination. The second part contains a theoretical microeconomic model which allows for the evaluation of all the consequences that the producer and seller is facing when they pass different prices for different locations, and the consumer has a free choice to reject purchases if the price for them is not acceptable. The third part is devoted to the analysis of how different prices affect consumption, profits, and consumer utility. The final section is devoted to the conclusions that follow from this analysis.
The microeconomic model is based on the unrestricted choice of the buyer when buyers themselves freely decide what amount of copyrighted content to buy at any of the selling places and on the unrestricted choice of the seller to set up the price that the seller deems appropriate. In the model, neither party of the transaction dominates nor can decide for the other party, but the choice of one party influences the decisions of the other party.
The implications of the model, which is based on the rational choice of economic agents and not on current administrative practice, can be used for policy and legislative purposes.
Keywords: FRAND royalties, price discrimination.
__________
Received: 29/10/2024. Revised: 30/12/2024. Accepted: 22/03/2025
Copyright © 2025 Algirdas Bartkus. Published by Vilnius University Press
This is an Open Access article distributed under the terms of the Creative Commons Attribution License, which permits unrestricted use, distribution, and reproduction in any medium, provided the original author and source are credited.
Price discrimination is a pricing strategy that companies use when they charge different prices to various customer groups or individual customers for the same good or service. Economic theory is not very strict when it comes to this issue, and there is no general agreement on whether this phenomenon is more positive or negative, and therefore – perhaps – unambiguous conclusions cannot be reached here, either. Price discrimination is a common business practice, and as long as it does not break any laws, or if the price discrepancies are brought on by different costs, pricing discrimination is generally acceptable.
Most of the economic research on price discrimination focuses on a third or second degree of price discrimination in various markets. The reason for it is the prevalence of these types in practice and the open question of the need to regulate these types of transactions. This article deals with price discrimination of the third degree, in which companies divide up their clientele into separate market categories and apply different pricing to each one of them.
This article’s subjects are the fees and royalties given to copyright agencies that represent the interests of the authors who create creative content. This research focuses solely on royalties that are paid for viewing creative content at home and at the hotel via TV. The current practice of paying for the use of copyright products at home and at the hotel presumes payments of different amounts for the consumption of copyright products at home and at the hotel. Pricing creative content differently depending on whether it is consumed at home or at the hotel is a form of location-based discrimination. This kind of price discrimination does not increase price competition in any way, and there is no customer who could benefit from it. Such pricing discrimination is based on the inability of a hotel guest to reject the payment of royalties for copyrighted content if the hotel room has a television set.
The majority of microeconomic research on this issue delivers ambiguous results. The conditions of a market in which price discrimination takes place determine the prevalence of the positive or negative effects of this phenomenon. In one type of the market structure, price discrimination may have more positive than negative effects, while, in other market structures, it may pose more negative than positive features. The microeconomic impacts of price discrimination have been thoroughly examined by Armstrong and Vickers. They found that the price discrimination ban may have equivocal welfare effects because it depends on a number of preconditions (Armstrong and Vickers, 1993).
The varying effects of price discrimination throughout time determine the ambiguity in certain findings. An analysis of a pricing discrimination ban was conducted by Inderst and Valletti. They discovered that, while the price discrimination ban offers short-term benefits, it has long-term negative effects (Inderst and Valletti, 2009). In some cases, confronting findings arise because price discrimination is used in order to achieve various other goals: e.g., Jullien showed that price discrimination helps a platform to coordinate the choices of consumers and generate a profit that outweighs the quality differentials in favor of an efficient leader (Jullien, 2011). In other instances, price discrimination results from competition or interactions between enterprises; for example, Curien, Jullien, and Rey examined the impact of competition on the pricing policy. According to them, these findings are consistent with the general rule that if certain customers are serviced at a marginal price below the marginal cost, then other users are served at a marginal price above the marginal cost (Curien et al., 1998).
In numerous articles, the duality of the results depends on the exact modelling choice of the author and on the type and kind of discrimination that the author analyzes. Cowan analyzed third-degree price discrimination and concluded that price discrimination may have a positive welfare effect (Cowan, 2016). It is worth noting that his results were obtained by modelling a possible discount or lower price for certain customers, whereas this article deals with the opposite, with the additional markup. Liu and Serfes analyzed price discrimination in a two-sided market where, for example, when a journal offers discounts for new subscribers and also charges payments from advertisements. In the scenarios of uniform pricing and perfect price discrimination, they evaluated the societal welfare and profitability. They contend that perfect price discrimination maximizes social surplus rather than uniform pricing, and that price discrimination increases profits (Liu and Serfes, 2013). It is worth noting that these authors have also dealt with the discount case, whereas the opposite, the added markup, is covered in this article. All the above-mentioned authors have analyzed the cases where the consumers receive the discounts rather than an additional markup; thus, the results in their articles are in favor of price discrimination because discounts lead to higher consumption rates. Arya and Mittendorf analyzed price discrimination in the inputs market, where buyers use the goods they acquire for the production of their final goods. They demonstrated that price discrimination equates the output across the markets and acts as a tool increasing the output because discounts help to increase the output in markets where the demand is lower. According to their analysis, price discrimination can result in lower variable input prices for businesses operating in less competitive markets, which can lead to welfare advantages (Arya and Mittendorf, 2010).
There are also a number of studies highlighting the harmful or negative aspects of price discrimination. Herweg and Müller analyzed the effects of price discrimination on investment incentives and welfare. They found that discriminatory wholesale contracts stifle downstream firms’ incentives to invest in a reduction of their production costs. This means that cost-saving investment incentives are higher under uniform pricing than under price discrimination. Price discrimination prohibitions are socially beneficial due to the higher investment incentives provided by uniform pricing (Herweg and Müller, 2013). Dertwinkel-Kalt and Wey analyzed the effects of price discrimination on consumer surplus. According to their study, average prices are higher and the overall consumer welfare is lower under discriminatory pricing if businesses use price discrimination, and if their equilibrium outputs are the same under uniform and discriminatory pricing (Dertwinkel-Kalt and Wey, 2023). Marshall studied the wholesale market, where, on any given day, some buyers in the wholesale market would spend 70 percent more than others. In comparison to the scenario in which sellers establish uniform prices, his analysis showed that price discrimination reduces the overall surplus and can raise the sellers’ predicted profits by as much as 52.1 percent (Marshall, 2020).
The most radical treatment of price discrimination is the ban, and bans are also approached differently in different studies. According to Pinopoulos, when the upstream supplier negotiates a standard two-part tariff contract with the less cost-efficient firm, ban on discrimination lowers the consumer surplus and welfare; however, when the supplier negotiates a common two-part tariff with the more productive business, banning discrimination may increase the welfare and consumer surplus (Pinopoulos, 2022). Villas-Boas performed an empirical analysis of the German coffee market and found positive overall welfare effects from preventing wholesale price discrimination (Villas-Boas, 2009).
Studies in which price discrimination is considered a positive phenomenon usually look at cases where the seller offers discounts to buyers in markets with low demand. In such cases, price discrimination is a positive phenomenon contributing to an increase in the overall output or a rise in wealth. Price discrimination by offering discounts compared to the standard price does not deteriorate a person’s or company’s situation, but actually improves it. However, from time to time, manufacturers do the opposite; they raise the price above the standard for a certain group of consumers. In this case, the situation of one group of consumers deteriorates, and this is a completely different case of price discrimination.
More specifically, this article deals with the issue of price discrimination in the consumption of copyrighted content. Payments for the use of creative content are very similar to the royalties that are paid for patents. The market for patents and copyrighted content has been studied by various scholars from the fields of economics, business, and law, with very different perspectives from different angles of scientific knowledge. Standard-setting bodies typically require their members to grant patents on fair, reasonable, and non-discriminatory grounds, abbreviated as FRAND grounds. Carlton and Shampine demonstrated that companies may take advantage of the market strength that results from patent ownership. Additionally, they have shown how to understand the non-discrimination requirement, and how inefficiencies occur when patent holders attempt to exploit the market power that the patent ownership permits (Carlton and Shampine, 2013). Non-discriminatory payment for intellectual property has always been an issue in various industrial disputes. Courts and legal entities have solved industrial disputes many times when one side accused the other of improper pricing. This has also raised a certain interest among scholars who proposed particular payment principles and designs, while taking into account the complexity of the problem. A significant number of such studies are based on the view that payments should be based on the principle of equality: e.g., in a recent study, Hougaard, Chiu Yu Ko, and Xuyao Zhang offered a new anti-discriminatory framework for royalty payments among patent users which would guarantee that similar firms are treated equally (Hougaard et al., 2023). Nevertheless, commercial practice is sometimes based on the opposite choices; from time to time, legal entities and courts make decisions that interfere with common logic or raise certain issues that require separate analysis, as in the case with Ericsson’s practice in India, where this company charged percentage-based royalties based on the selling prices of the end-user license products (Teece et al., 2018). Friedl and Ann pointed out that licensing royalties often tend to be higher for those businesses that supposedly sell more expensive products and correspondingly earn more. This indicates that the license holder frequently sets rates for clients based on their financial situation, which violates the fair, reasonable, and non-discriminatory licensing criteria (Friedl and Ann, 2018). Dewatripont and Legros found that companies with more patents tend to request a higher total royalty share. Also, different agents have their own understanding of ‘fairness’ when it comes to royalties and payments (Dewatripont and Legros, 2013). Farrar, Padilla, and Schmalensee created a few models that analyzed or proposed ways to organize royalty payments for patents. They found that fairness and other conditions are only satisfied when participants who make greater incremental contributions to the value receive higher royalty payments than other participants (Layne-Farrar et al., 2007). This article is different from the above-mentioned papers as it analyzes the motivation of manufacturers to ask for higher prices from certain customers, and the consequences of such a choice are explored in the context of consumers and manufacturers, but not in terms of compliance with the above-mentioned principles.
The copyrighted content market is not very different from any other market. As in any economic transaction, the party that creates and provides copyrighted content longs for compensation, while the party that consumes it understands the necessity of paying for it. Currently, in Lithuania, payments to the authors for the use of copyrighted material are collected by several organizations that represent their interests. These organizations charge payments directly from cable television providers, hotels, and restaurants. It is in the interest of organizations that represent authors to charge users of copyrighted products in different locations in a way that guarantees maximum profit. It is in the interest of consumers to maximize utility while simultaneously not overpaying for its use. It is in the interest of the Government to guarantee the best results for both sides of the transaction.
The main principles of how the payments for the authors must be accomplished can be determined by the model of demand and price setting for copyrighted material. The model is based on the rational choices of economic agents in a market where neither side of the transaction dominates. The currently existing administrative practice does not play any role here.
In this model, the producer is a person who creates the copyrighted material and sets the price of their own production. The buyer is a person who consumes the copyrighted material and who can freely decide what amount of the production to consume. Suppose that the amount of copyrighted material Q is broadcast on television, and the consumer consumes it in two places: at home and at the hotel. The consumption of copyrighted material leads to higher satisfaction and determines the level of utility that a person gets.
Let us assume that a buyer can freely decide what amount of copyrighted material and where to consume it, while the author provides the required amount of material for consumption and can determine its price at their own discretion. The producer can set the same price for consumption of one unit of one’s own production in different places, or else the producer can charge one price for consumption in one place and another for consumption in another place. In real life, the price of copyrighted materials is determined by the copyright enforcement agency. In the model, it is assumed that the author itself does the job that, whereas, in real life, an agency performs this mission. Both parties accept all the benefits and risks that are associated with their choices.
For a proper interpretation of the results, let us discuss the roles of the participants in the transaction. In real life, copyright agencies set one price for cable television, which delivers copyrighted material to the end user at home, and another price for the same user at a hotel. Copyright agencies are the ones that collect earnings for the creators of content and organize the payments. The price they charge for consumption at the hotel is higher due to the inability of the consumer to reject the payment for the copyrighted material there. This payment is always included in the final price if the room possesses a television set. While building the model, it is very important not to overlook the main aims and roles of all participants in this transaction. The main purpose of a hotel is to be a substitute for a home. It provides an opportunity to consume copyrighted material while a person is away from home. The hotel does not consume the creative content itself; it provides the opportunity for a person who stays at a hotel room to consume creative content while being away from home, and therefore the end beneficiary is a person who stays at a hotel room. The hotel is only an intermediary that creates a possibility for a copyright content producer to sell creative content while the consumer is away from home. Cable television is another intermediary which allows the producers of creative content to sell their content and earn some money while the consumer of the content is at home. Payments made by cable television companies and hotels to copyright agencies are all included in the costs of these organizations and are passed on to the clients in full.
The price that a person pays for a hotel room covers all costs that the hotel bears, and the price the guest pays for cable television services also covers all costs of the cable television provider. Thus, in the end, it is the end user of copyrighted material that pays for the copyright agency, and not the hotel or cable television. Hotels and cable television providers are the intermediaries that allow the creators of content to sell their products. The payments that cable television companies and hotels make to copyright agencies are actually the payments they collect from hotel guests and homeowners. In the model, as in real life, the copyright material is not consumed by the hotel or by the cable television provider, but rather by the individuals staying at the hotel and by people who have cable television at home.
The main beneficiaries of this transaction are the creators of copyrighted content, who are represented by the copyright agencies, and the end consumers are those who use cable television services at home or stay in hotels. Another very important beneficiary is the broadcaster, who receives the advertising revenue due to the fact that creative content is demonstrated. However, his interactions with the creators of copyrighted content are of a very different nature and shall not be analyzed here. The current regulation, which allows the application of different rates for hotels and homes, can be justified only if a person gets different utilities from copyrighted material consumption at home and at a hotel.
The model that will be presented here is based on the interaction between the consumer and the producer. The consumer chooses a certain amount of the copyrighted material considering the price, while the producer sets the price considering the level of demand. The choice of the consumer is aimed at utility maximization, while the choice of the producer is determined by the need to maximize the profits. Creative content can be consumed wherever a person is; however, for the sake of simplicity, let us assume that consumption takes place in two places: hotels and homes. Payment for the consumption of creative content at the hotel is included in the price of the hotel room. In a similar way, payment for the consumption of creative content at home is included in the payment for cable television services.
Currently, the payment for the use of copyrighted production is included in the final price of the hotel room, and the visitor pays it even if the hotel guest does not use the creative production. The same is true for cable television, but the cable television service is directly related to creative content, while the hotel service is directly related to accommodation and not to the consumption of creative matter. A person orders the cable television service in order to consume creative content, but a guest orders a hotel room when in need of an accommodation service. The consumption of creative content in hotels is only an auxiliary service, and some individuals would not order this service if they could have the possibility not to pay for it. Higher royalty payments for creative content in hotels are set only because the consumer will pay it anyway. The theoretical model, on the other hand, allows to assess the consequences of what would happen if the consumers had a chance to freely decide what amount of creative production to purchase and whether to purchase it at all.
The following two subsections will describe the behavior of the consumer and the output supplier, where the former will seek to maximize their utility and the latter will seek to maximize their profit.
Suppose that a person consumes the amount Q1 of copyrighted production at home, pays the price P1 for it, and receives the utility U1. The person also consumes the Q2 amount of production at the hotel, pays the price P2 for it, and receives the utility U2. The utility that a person receives is positively affected by the amount of copyrighted material consumed. The price affects the quantity of the output purchased and, through it, the utility. As a person’s income is inherently limited, the funds that the individual devotes to the acquisition of copyrighted material will be very strongly limited by the income that the person has at their disposal and plans to use for this particular purpose.
The composite indicator of these utilities is the Dixit-Stiglitz style consumption index Q, which combines the utilities of the quantities consumed at home Q1 and the quantities consumed at the hotel Q2 into one composite measure:
(1)
Here and in the following equations, the factor b is a number that may take the value from zero to one but does not reach these limits. The total amount of the creative content acquired is limited by the amount of funds allocated for these needs S. If a person uses all resources that are assigned for the purchase of the copyrighted content, the individual will satisfy the budget constraint with the following equality:
(2)
The Lagrangian for the objective function (1) and the budget constraint (2) is defined as:
L
(3)
In order to define the demand for creative content, it is necessary to find the derivatives of the Lagrangian equation (3) with respect to the quantities Q1 and Q2. Solving the equations yields the final expression of the demand function:
(4)
Equation (4) implies that if an individual behaves rationally, the person’s demanded consumption of a certain type Q1 will be defined and determined by the relative price of this type of consumption Pi/P. The volume of consumption at home Q1 or at a hotel Q2 is exclusively a function of aggregated consumption Q associated with utility and the relative price of copyrighted material at home P1/P or at a hotel P2/P. The power
1/(b – 1) is the price elasticity of demand. Given that the coefficient b is a number ranging from zero to one, the price elasticity of demand 1/(b – 1) is negative, and therefore the higher is the relative price, the smaller will be the amount of creative content a person will want to purchase. In this case, when a person freely decides how much of the creative content to buy, the price elasticity of the demand is the same, regardless of the place of consumption of the products.
In this model, the buyer of creative content decides what quantity of production to purchase, and the seller decides what price to charge. The utility function was used to model the choice of the buyer. For the analysis of the choices of a producer of the copyrighted material, the profit function will be used. Like any other agent that produces goods, the authors of copyrighted material produce their products to make a profit, and so they will demand a price that guarantees them the maximum profit. The real profit for the consumption of copyrighted content in a certain place, denoted by the function Πi, represents the formation of real income, which is obtained by multiplying the creative output Qi by its relative price Pi/P and by subtracting the total real costs, which are obtained by multiplying the output Qi by the real cost of a unit of production Xi/P:
(5)
In order to get the final version of the profit function, one has to insert a utility-maximizing consumption level (4) into the profit Equation (5):
(6)
In order to determine the profit-maximizing price, it is necessary to find the derivative of the profit Function (6) with respect to the relative price Pi/P. Solving the equations for the Pi/P yields the profit-maximizing price:
(7)
Equation (7) implies that the profit-maximizing price is a function of the real costs and demand elasticity. The coefficient 1/b is the markup coefficient which relates the production cost of a unit of output to its price. The size of the markup 1/b is very tightly related to the price elasticity of the demand 1/(b – 1), which itself is a negative number, and therefore the lower the price elasticity of demand in its absolute value is, the higher the markup will be. The price will be higher when the price elasticity of the demand in its absolute value is lower, and vice versa, the price will be lower when the demand elasticity in its absolute value is higher. Equation (7) also reveals that the price of the creative content is determined by its production costs, and if the production costs are the same, then, the price must be the same. This outcome is in line with Friedl and Ann’s study, which suggested that prices should be set proportionately to costs to prevent price discrimination (Friedl and Ann, 2018). It would be reasonable to apply different prices for the consumption of creative content in different places only if the costs are different. The fact that the production costs of creative content that was broadcast via television do not depend on the place where a person consumes this product, which means that the price for a unit of creative content at home or at a hotel should be the same. This model can be used to analyze the consequences of discriminatory price-setting under the free and unrestricted choice of a consumer, presuming that the producer acts rationally and sets the price, considering possible sales losses if the seller sets the price too high. These functions simulate the rational behavior of buyers and sellers in the market, where neither side has any advantage over the other.
Now let us consider a modification of the model, when the producer of copyrighted material decides to apply one price when their product is consumed at home, let it be the price P1/P, and another price when their product is consumed at a hotel, let it be the price P2/P. This option is compatible with the currently existing practice of applying one price when copyright production is consumed at home and another when it is consumed at a hotel. Unlike in the real life, in this version of the model, we will continue to let the buyers decide for themselves how much production they need to consume. The modified version of the model enables the creator of the copyrighted content to request different prices for the same product from the user, depending on the person’s location, but the creator of the copyrighted product will also have to accept losses if the person reduces the volume of consumption there due to unfavorable pricing for a particular place of consumption.
If the creator of the creative content decides to apply different prices to different places of consumption, then the profit will be:
(8)
In Equation (8), the production costs are abbreviated as X instead of Xi, because, in the case of creative content that is demonstrated via television, the production costs do not depend on the place of consumption.
Although the producer sets the prices at their own discretion, they will not be able to regulate demand at their discretion, and the quantity demanded will continue to be defined as in Equation (4), which, when inserted into Equation (8) gives:
(9)
The choice of the creative content producer to apply different prices in different places of consumption can be modelled supposing that the price of the copyrighted product at the hotel P2 will be c times higher than the price of the same product at home P1:
(10)
Under this choice, the demand for copyrighted content at home is:
(11)
While the demand in hotels is:
(12)
Comparing the consumption volumes at the hotel (Equation (12)) and at home (Equation (11)) yields:
(13)
Given that the coefficient c is greater than unity and the power 1/(b – 1) is a negative number, the quantity ratio Q2/Q1 is a number less than unity. This means that a higher price for consumption in hotels leads to lower consumption of creative content there.
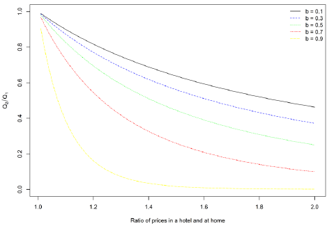
The quantity ratios calculated for different values of coefficients b and c are presented in Figure 1 and in Table 1.

|
c |
b = 0.1 |
b = 0.3 |
b = 0.5 |
b = 0.7 |
b = 0.9 |
|
1.01 |
0.99 |
0.99 |
0.98 |
0.97 |
0.91 |
|
1.10 |
0.90 |
0.87 |
0.83 |
0.73 |
0.39 |
|
1.20 |
0.82 |
0.77 |
0.69 |
0.54 |
0.16 |
|
1.30 |
0.75 |
0.69 |
0.59 |
0.42 |
0.07 |
|
1.40 |
0.69 |
0.62 |
0.51 |
0.33 |
0.03 |
|
1.50 |
0.64 |
0.56 |
0.44 |
0.26 |
0.02 |
|
1.60 |
0.59 |
0.51 |
0.39 |
0.21 |
0.01 |
|
1.70 |
0.55 |
0.47 |
0.35 |
0.17 |
0.00 |
|
1.80 |
0.52 |
0.43 |
0.31 |
0.14 |
0.00 |
|
1.90 |
0.49 |
0.40 |
0.28 |
0.12 |
0.00 |
|
2.00 |
0.46 |
0.37 |
0.25 |
0.10 |
0.00 |
The essential factor which determines the results is the price elasticity of demand. If the demand is elastic, a higher price that is applied in one of the places of consumption of creative content will lower the total volume of consumption in both consumption places taken together. The amount by which the consumption of creative content at the hotel would differ from the consumption amount at home depends on the coefficient c, which shows how much the creative content is more expensive at the hotel, and on the price elasticity of demand, which is defined by the coefficient b. The price elasticity of demand depends on the coefficient b, which shows the substitution possibility of a certain good. If b is a small number, the substitution possibilities are low, i.e., if a demand is price-inelastic, the goods will be bought and acquired despite unfavorable pricing anyway. Meanwhile, if b is a large number, that means that substitution possibilities are high, the demand will be very price-elastic, and consumers will purchase the goods only if the price is favorable. In this case, huge markups will result in huge drops in demand. The higher is the price of the creative content at the hotel compared to the price at home, the lower its consumption is. In the same way, the more price-elastic the demand for copyrighted production is, the smaller its quantity consumed in hotels is compared to the amount consumed at home, if the prices in hotels are higher. In order to deepen our understanding of the outcomes of a model, let us take several responses and discuss them in more detail. If c = 1.3, and b = 0.1 then the consumption ratio is Q2/Q1 = 0.75 and the price elasticity of demand is
1/(0.1 – 1) = –1.11 (this is a low elasticity in its absolute value). These values show that when the copyrighted material at the hotel costs 30 percent more than at home, the consumption at the hotel will account for 75 percent of the level that is consumed at home. If c = 2 and b = 0.5, then, the consumption ratio is Q2/Q1 = 0.25, and the price elasticity of demand is 1/(0.5 – 1) = –2. These numbers tell us that if copyrighted material at the hotel costs twice as much as at home, then the consumption at the hotel will account for only 25 percent of the amount that is consumed at home. If c = 1.7 and b = 0.7, then the consumption ratio is Q2/Q1 = 0.17, and the price elasticity of demand is 1/(0.7 – 1) = –3.33. This, in turn, means that when the copyright content at the hotel costs 1.7 times more than at home, but the demand is very price-elastic, the consumption level in hotels will account for only 17 percent of the amount that is consumed at home. Other values from Table 1 and their visualizations presented in Figure 1 can be interpreted similarly. These impact functions clearly demonstrate that the more elastic the demand will be (the closer the coefficient b to one is, the higher the elasticity in absolute terms is), the smaller the amount of the creative content at the overinflated price will be purchased. The essential factor which determines the results is the price elasticity of demand. If a higher price is applied to one of the places of consumption of the copyrighted content, the total volume of consumption will be lower due to the unfavorable pricing applied to one of these places. A rational consumer will reduce the volume of purchases in the place that keeps the price higher.
These results are consistent with the results of Gaudin and Lestage, who analyzed the effects of price discrimination in weak and strong markets. The weak market is the market where the wholesale prices are lower, and the strong market is where the price is higher when input price discrimination is allowed. They concluded that input price discrimination decreases the quantity sold in the strong input market but increases it in the weak input market (Gaudin and Lestage, 2022). This means that price discrimination increases the total volume of contracts if it takes place in a market where the producer is inclined to make discounts, at least for some of the participants, and vice versa, price discrimination will reduce the total volume of transactions if the producer tends to increase the price for some of the buyers.
Again, it is possible to find articles disagreeing with these findings. The consumption of creative content is closely related to social influence. Radoias conducted a theoretical and empirical investigation of price discrimination and evaluated the potential risks connected with the emergence of secondary markets in the consumption of commodities influenced by social factors, but found limited evidence to support this possibility (Radoias, 2015; Radoias, 2019). It is worth noting that he analyzed the reselling of the goods that were acquired with a discount. This means that, in the case of copyrighted content pricing, consumers will tend to consume these products in hotels, even if they get charged a higher price compared to home, only at a lower amount.
The decision to apply different prices to different places of consumption exerts an impact not only on the volume of production consumed, but also on the producer’s profit.
Equations characterizing changes in profit can be obtained by inserting the volume of demand that has changed due to pricing decisions into the profit function. Equation (13) can be used to determine the demand for copyrighted products in hotels:
(14)
Inserting the demand Equation (14) into the profit Equation (8) yields:
(15)
Placing the common multipliers outside the parenthesis and applying the price Equation (7) for the definition of costs X/P yields:
(16)
If a producer applies different prices for different places, the income-to-cost ratio is:
(17)
If the producer of copyrighted material had applied the same price for both places of consumption, then, the coefficient c would be equal to one, and the ratio of income to cost would be equal to the markup:
(18)
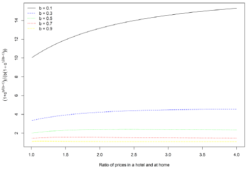
The calculated ratios from Equation (17) for different values of b and c are plotted in Figure 2 and listed in Table 2.

|
c |
b = 0.1 |
b = 0.3 |
b = 0.5 |
b = 0.7 |
b = 0.9 |
|
1.01 |
10.05 |
3.35 |
2.01 |
1.44 |
1.12 |
|
1.10 |
10.47 |
3.49 |
2.09 |
1.49 |
1.14 |
|
1.20 |
10.90 |
3.62 |
2.16 |
1.53 |
1.14 |
|
1.30 |
11.28 |
3.74 |
2.22 |
1.55 |
1.13 |
|
1.40 |
11.63 |
3.84 |
2.27 |
1.57 |
1.13 |
|
1.50 |
11.95 |
3.93 |
2.31 |
1.58 |
1.12 |
|
1.60 |
12.23 |
4.01 |
2.34 |
1.58 |
1.12 |
|
1.70 |
12.50 |
4.08 |
2.36 |
1.57 |
1.11 |
|
1.80 |
12.74 |
4.14 |
2.38 |
1.57 |
1.11 |
|
1.90 |
12.96 |
4.19 |
2.39 |
1.56 |
1.11 |
|
2.00 |
13.16 |
4.24 |
2.40 |
1.56 |
1.11 |
These comparisons of income and cost reveal that the lower is the elasticity of demand, in its absolute value, the higher the income per unit of cost will be. If the price elasticity of demand is lower than the average (these are cases with b < 0.5 which are represented by the black and blue curves in Figure 2), then, for all cases when the price of creative content at the hotel is higher than the price at home, one unit of costs brings more and more income. Therefore, in the case where the demand is not very elastic to the price, the creator of copyrighted content may be inclined to apply different prices to different places of consumption if he sets himself the goal of having a high ratio of income per unit of cost. The cases where the price elasticity of demand in its absolute value is higher than the average (they should be associated with the coefficient b > 0.5), which are shown by the red and yellow curves in Figure 2, are slightly different. The creator of content can set a higher price for consumption at the hotel, but this choice will increase the ratio of revenue per unit of costs only up to a certain limit. If the coefficient is b = 0.7 and the elasticity is 1/(0.7 – 1) = –3.33, then, it is reasonable to increase the price at the hotel, compared to the price at home, only up to 1.6 times. If the coefficient b = 0.9 and the elasticity is 1/(0.9 – 1) = –10, it is reasonable to increase the price for consumption at the hotel only up to 1.2 times compared with the price at home. In all calculations of this sort, the price elasticity of demand is a key determinant of the outcome. The extent to which the producer of creative content can increase the price of their product is determined by the price elasticity of demand. If the demand is not very elastic and if the consumer is not inclined to reduce the consumption of this product strongly, when the price of the product increases, the price difference can be very large. If the demand is elastic and the consumer tends to reduce the demand significantly, when there is a more noticeable price increase, the price difference between different places of consumption will not be very large.
This comparison reveals that if a producer aims to maximize the income-per-cost ratio, the producer will be inclined to apply a somewhat larger price for consumption in hotels, even if substitution possibilities are large and the demand will be very inelastic, not even to mention the motivation of producers when a consumer is forced to buy products.
The decision to apply different prices also has an effect on consumer utility. The consumption index (1) with the level consumed at home and the level consumed at the hotel, as in Equation (14), is:
(19)
Putting the common multiplier Q1b outside the parenthesis yields:
(20)
The final expression of the consumption index is this:
(21)
In the case when the producer applies the same prices for copyrighted material, regardless of where it is consumed, the coefficient c is equal to one, and the consumption index looks like this:
(22)
The ratio of consumer utilities when prices for creative content are different and when prices are the same is:
(23)
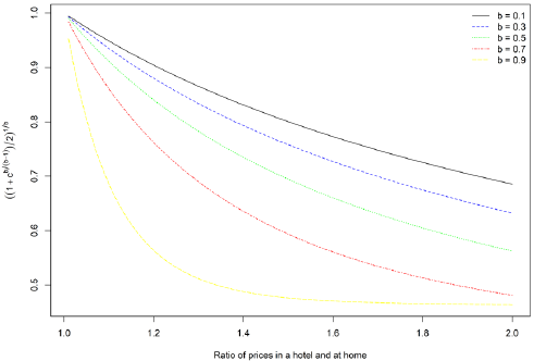
The calculated utility ratios for different values of coefficients b and c are presented in Figure 3 and in Table 3.

|
c |
b = 0.1 |
b = 0.3 |
b = 0.5 |
b = 0.7 |
b = 0.9 |
|
1.01 |
0.99 |
0.99 |
0.99 |
0.98 |
0.95 |
|
1.10 |
0.95 |
0.93 |
0.91 |
0.86 |
0.69 |
|
1.20 |
0.90 |
0.88 |
0.84 |
0.76 |
0.56 |
|
1.30 |
0.87 |
0.83 |
0.78 |
0.69 |
0.51 |
|
1.40 |
0.83 |
0.79 |
0.73 |
0.64 |
0.49 |
|
1.50 |
0.80 |
0.76 |
0.69 |
0.59 |
0.48 |
|
1.60 |
0.77 |
0.73 |
0.66 |
0.56 |
0.47 |
|
1.70 |
0.75 |
0.70 |
0.63 |
0.53 |
0.47 |
|
1.80 |
0.73 |
0.67 |
0.60 |
0.51 |
0.47 |
|
1.90 |
0.70 |
0.65 |
0.58 |
0.50 |
0.46 |
|
2.00 |
0.69 |
0.63 |
0.56 |
0.48 |
0.46 |
The smallest utility losses are observed when the demand is not very price-elastic, or when the price difference itself is not very large. Creators of copyrighted material seek a reward for their contribution, while consumers of copyrighted content expect to get certain utility gains. If the individual would obtain a higher level of utility from the consumption of a product at the hotel, then the payment for using it at the hotel should be higher. For any elasticity, the more prices differ, the greater are the losses in utility. The smallest utility losses are observed when the demand is not very price-elastic, or when the price difference itself is not large. The more price-elastic the demand is and the larger is the price difference between the hotel and the home, the lower the amount of creative content consumed at the hotel is. It turns out that the total utility will be lower when producers apply different prices.
This model describes the behavior of the consumer of copyrighted content and its producer. The author can set the same price for the consumer, no matter where the buyer consumes it, or different prices for consumption at home and at the hotel. It does not matter what the consumer chooses; the consumer also bears all the consequences of their decision. In the model, the consumer can reduce the consumption of the product if they think that the price is too high. Consumer reactions to the differences in prices and producer’s intentions to charge different prices are determined by the price elasticity of demand. These findings are in line with what is being observed in real life. The price for creative content that is consumed at home is smaller than for the same content that is consumed in hotels. If the copyright agencies set a high price for creative content at home, the consumer may refuse to use cable television services, and the authors will lose income. Meanwhile, in hotels, the person is forced to pay for the opportunity to consume creative content because the payments to the copyright agencies are included in the final price that a person pays for a room. A person makes a contract with a cable television provider for the consumption of copyrighted material, but the same person orders a hotel room for accommodation services and not for the usage of copyrighted production. There is no way a person can reject the payment for copyright institutions that is included in a room price; thus, the agencies that represent the interests of authors of the creative content are inclined to charge higher prices for creative content at hotels.
Contrary to the two cases analyzed before, utility losses are lower when substitution possibilities are low and the elasticity is low. That means that this good or service is necessary for the consumer, and the rejection of huge amounts of consumption would result in huge disutility. That means that, in this case, the consumer will still buy this good because it is necessary, as the reduction in consumption would lead to huge utility losses. That means that inelastic demand signals the necessity of a certain good and gives the producer the possibility to apply higher prices.
The analytical outcomes reported in these subsections closely resemble the findings of Esteves and Reggiani, who determined that behavior-based pricing discrimination adversely affects welfare when demand is inelastic, or when demand exhibits low elasticity (Esteves and Reggiani, 2014).
Common sense suggests that it would be reasonable to apply different prices for the consumption of creative content only if the production costs of one unit were of one size when the consumer consumed that production at home and of some other size when the consumer consumed it at the hotel, but this is an impossible thing. Despite the general conclusion that the price should be the same regardless of where the product is consumed, the producers and the organizations that represent their interests may have certain motives to ask for different prices for the usage of their product at home and at the hotel. If the producer seeks to maximize profits per unit of production, they may be very inclined to apply discriminatory pricing. The amount by which the producer is predisposed to increase the price in one of the places depends on the price elasticity of demand. If the demand is not very elastic, the price difference can be very large, and vice versa. The inability to reject the offer to consume creative content at the hotel is similar to the high inelasticity of the demand. The possibility of rejecting the offer at the hotel and not paying for it would result in a lower amount of service provided.
The application of different prices when a person can reject an offer leads to greater losses of consumer utility, lower volumes of production sold, but to higher levels of profits per unit of production, and this is the main reason for charging a higher than normal price for consumption in hotels. Possibilities for applying discriminatory pricing are determined by the price elasticity of demand. If this is a necessary good, consumers will still buy a huge amount of goods, despite the price at which they are offered.
After evaluating the various possible effects of applying different prices to different places, it turns out that the best option for the consumer is the same price for creative content, regardless of the place where creative content is consumed, at home or at the hotel. If the producer seeks to maximize profits per unit of production, they may be inclined to apply different prices, and this motivation is stronger when demand is less price-elastic.
The current practice of payments for creative content in Lithuania is erroneous because people who watch television shows on cable television at home pay one price, while people who watch the same shows on television in hotels already pay a different price. These payments are hidden from consumers and included in the final price for accommodation services in hotels or for cable television services at home. Application of different prices is only possible because consumers are not aware of it, and there is no possibility to reject the payment related to the consumption of creative content when the person is staying at the hotel.
If people had the option of rejecting the consumption of creative products via TV in their hotel room, they would often opt out because the possibilities for TV substitution are extremely high. In such a situation, if the organizations representing the authors did not have and did not abuse the market power but were completely dependent on the will of the consumer, the same price for all places of consumption would be the best solution for all parties.
Armstrong, M., & Vickers, J. (1993). Price Discrimination, Competition and Regulation. The Journal of Industrial Economics, 41(4), 335-359. https://doi.org/10.2307/2950596
Arya, A., & Mittendorf, B. (2010). Input price discrimination when buyers operate in multiple markets. The Journal of Industrial Economics, 58(4), 846-867. https://doi.org/10.1111/j.1467-6451.2010.00440.x
Carlton, D. W., & Shampine, A. (2013). An Economic Interpretation of FRAND. Journal of Competition Law & Economics, 9(3), 531-552. https://doi.org/10.1093/joclec/nht019
Cowan, S. (2016). Welfare‐increasing third‐degree price discrimination. The RAND Journal of Economics, 47(2), 326-340. https://doi.org/10.1111/1756-2171.12128
Curien, N., Jullien, B., & Rey, P. (1998). Pricing Regulation under Bypass Competition. The RAND Journal of Economics, 29(2), 259-279. https://doi.org/10.2307/2555888
Dertwinkel‐Kalt, M., & Wey, C. (2023). Third‐Degree Price Discrimination in Oligopoly when Markets are Covered. The Journal of Industrial Economics, 71(2), 464-490. https://doi.org/10.1111/joie.12325
Dewatripont, M., & Legros, P. (2013). ‘Essential’ Patents, FRAND Royalties and Technological Standards. The Journal of Industrial Economics, 61(4), 913-937. https://doi.org/10.1111/joie.12033
Esteves, R. B., & Reggiani, C. (2014). Elasticity of demand and behaviour-based price discrimination. International Journal of Industrial Organization, 32, 46-56. https://doi.org/10.1016/j.ijindorg.2013.10.010
Friedl, G., & Ann, C. (2018). A cost‐based approach for calculating royalties for standard‐essential patents (SEPs). The Journal of World Intellectual Property, 21(5-6), 369-384. https://doi.org/10.1111/jwip.12104
Gaudin, G., & Lestage, R. (2022). Input Price Discrimination, Demand Forms, And Welfare. The Journal of Industrial Economics, 70(4), 1033-1057. https://doi.org/10.1111/joie.12306
Herweg, F., & Müller, D. (2013). Price Discrimination in Input Markets: Quantity Discounts and Private Information. The Economic Journal, 124(577), 776-804. https://doi.org/10.1111/ecoj.12061
Hougaard, J. L., Ko, C. Y., & Zhang, X. (2023). A conceptual model for FRAND royalty setting. Mathematical Social Sciences, 123, 167-176. https://doi.org/10.1016/j.mathsocsci.2023.03.005
Inderst, R., & Valletti, T. (2009). Price discrimination in input markets. The RAND Journal of Economics, 40(1), 1-19. https://doi.org/10.1111/j.1756-2171.2008.00053.x
Jullien, B. (2011). Competition in Multi-Sided Markets: Divide and Conquer. American Economic Journal: Microeconomics, 3(4), 186-219. https://doi.org/10.1257/mic.3.4.186
Layne-Farrar, A., Padilla, A. J., & Schmalensee, R. (2007). Pricing patents for licensing in standard-setting organizations: making sense of FRAND commitments. Antitrust Law Journal, 74(3), 671-706. http://www.jstor.org/stable/27897563
Liu, Q., & Serfes, K. (2013). Price Discrimination in Two‐Sided Markets. Journal of Economics & Management Strategy, 22(4), 768-786. https://doi.org/10.1111/jems.12038
Marshall, G. (2020). Search and Wholesale Price Discrimination. The RAND Journal of Economics, 51(2), 346-374. https://doi.org/10.1111/1756-2171.12317
Pinopoulos, I. N. (2022). Input Price Discrimination, Two‐Part Tariffs and Bargaining. The Journal of Industrial Economics, 70(4), 1058-1090. https://doi.org/10.1111/joie.12303
Radoias, V. (2015). When Price Discrimination Fails – A Principal Agent Problem with Social Influence. Managerial and Decision Economics, 38(2), 212-221. https://doi.org/10.1002/mde.2770
Radoias, V. (2019). Price discrimination and the emergence of secondary markets. Managerial and Decision Economics, 40(4), 439-445. https://doi.org/10.1002/mde.3013
Teece, D. J., Sherry, E. F., & Grindley, P. C. (2018). On the “non-discrimination” aspect of FRAND licensing: A response to the Indian Competition Commission’s recent orders. IIMB Management Review, 30(1), 10-26. https://doi.org/10.1016/j.iimb.2017.09.002
Villas‐Boas, S. B. (2009). An empirical investigation of the welfare effects of banning wholesale price discrimination. The RAND Journal of Economics, 40(1), 20-46. https://doi.org/10.1111/j.1756-2171.2008.00054.x