Politologija ISSN 1392-1681 eISSN 2424-6034
2021/2, vol. 102, pp. 116–152 DOI: https://doi.org/10.15388/Polit.2021.102.4
Dominating Concepts of Russian Federation Propaganda Against Ukraine (Content and Collocation Analyses of Russia Today)
Nataliia Karpchuk
Lesya Ukrainka Volyn National University, Ukraine
Volynės Lesios Ukrainkos nacionalinis universitetas, Ukraina
Email: natalia.karpchuk@vnu.edu.ua
Bohdan Yuskiv
Rivne State University of Humanities, Ukraine
Rivnės valstybinis humanitarinis universitetas, Ukraina
Email: yuskivb@ukr.net
Abstract. The Russian Federation has been carrying out long-term and successful disinformation and propaganda activities against Ukraine. Due to its powerful, state-supported media structures, it is able to impose its vision of reality on its respective audiences. The purpose of this article is to determine the lexemes and topics of the “landscape” of analytical reports produced by Russia Today (RT) in 2018–2020. Lexemes and topics lay the groundwork for the RT propaganda discourse aimed at interfering and disbalancing Ukraine’s media space. This paper, based on quantitative and qualitative analysis, focuses on (1) the vocabulary structure of analytical materials, which may indicate Russian priorities, and (2) the thematic content (hidden topics) of RT messages. The RT analytical reports titles and relevant metadata were analyzed. The body of data was subdivided into periods of presidencies of P. Poroshenko and V. Zelensky. The authors argue that personalities do not play a significant role in the Kremlin’s attitude toward Ukraine; only the Ukraine-Russia opposition is decisive, in which the RF assigns Ukraine the only acceptable role as Russia’s “puppet.”
Keywords: propaganda, Russia Today, analytical reports, Bag of Words model, vector space model, topic modeling.
Dominuojančios koncepcijos Rusijos Federacijos propagandoje prieš Ukrainą (turinio ir kolokacinė „Russia Today“ analizė)
Santrauka. Rusijos Federacija vykdė ir tebevykdo ilgalaikę dezinformacijos ir propagandos kampaniją prieš Ukrainą, todėl jos įtakingos ir valstybės remiamos medijos leidžia primesti savą tikrovės viziją. Šio straipsnio siekis yra nustatyti leksemas ir temas, kurias naudojo „Russia Today“ (RT) savo analitinėse ataskaitose 2018–2020 metais. Šios leksemos ir temos yra RT propagandos diskurso pagrindas, siekiant paveikti ir pakeisti Ukrainos medijų erdvę. Siekiant šio tikslo, pasitelkus kiekybinę ir kokybinę analizę, įgyvendinami šie uždaviniai: 1) tiriama analitinių straipsnių žodyno struktūra, kuri leidžia matyti Rusijos prioritetus, ir 2) analizuojamas teminis RT siunčiamų žinučių turinys. Tyrimo medžiaga buvo padalyta į Piotro Porošenkos ir Vladimiro Zelenskio prezidentavimo metu pateiktas žinutes. Autorių teigimu, prezidento asmuo nėra svarbus formuojant RT diskursą apie Ukrainą; priešpriešinant Ukrainos ir Rusijos vaidmenis siekiama suformuoti nuomonę, kad Ukraina tegali būti Rusijos „marionetė“.
Reikšminiai žodžiai: propaganda, „Russia Today“, analitinės ataskaitos, žodžių maišo modelis, erdvinių vektorių modelis, temų modeliavimas.
__________
Received: 26/07/2021. Accepted: 02/10/2021
Copyright © 2021 Nataliia Karpchuk, Bohdan Yuskiv. Published by Vilnius University Press.
This is an Open Access article distributed under the terms of the Creative Commons Attribution License, which permits unrestricted use, distribution, and reproduction in any medium, provided the original author and source are credited.
Introduction
We perceiveour reality through the images framed by language. Facts are represented in pictures and become communicable as models of reality. The sphere of language and the physical reality are different dimensions; consequently, this discrepancy may provoke societal problems arising from communication misunderstandings, which are a wrong or ambiguous representation of the reality.1 Images are created by the mass media, which has the power to influence large audiences and form mass beliefs, moods, desires for action or inaction, etc. Mass media is a part of the media space (public in nature) that modern interpretations differentiate from the Habermasian understanding of public space2 as a sphere of rational debate among equal subjects for reaching a consensus. Specifically, the media space is considered as a space where conceptual ideals are repackaged and promoted for the demands of a particular social class.3
This idea is especially relevant in the Ukrainian oligarchic media space, where de jure independent pluralistic media companies are de facto owned by individual tycoons (who finance and support certain political forces) and, accordingly, impose the visions of their owners on internal and external events. However, in Ukraine there is a much greater threat from its eastern neighbour, i.e. Russia. The regulation of the Ukrainian media space has been going on since Ukraine’s independence and has been gaining special importance since 2014, when the Russian aggression against Ukraine began. In the media space of Ukraine, the media of the Russian Federation carry out active information and propaganda activities and, despite certain restrictions and prohibitions, have the opportunity to form a one-sided pro-Russian reality. In fact, information and comments predetermine the society’s further actions, attitudes and perceptions of politicians, events, reforms, and politics in general.
We assume, as a hypothesis, that pro-Kremlin media reports are dominated by certain concepts that lay the “framework” for the perception of Ukrainian reality and serve as a signaling system for priority, perhaps vulnerable, topics for the RF political elite.
The Soviet Union had extensive experience in using propaganda, disinformation, fakes, and subversive activities; the main task of the Soviet media was to support the Marxist-Leninist-Stalinist ideology by creating influential forms of propaganda4 and to reflect a Sovietized version of reality.5 However, the key concept was outlined by Lenin, who described the press as a “not only collective propagandist and collective agitator, but collective organizer.”6
The RF, having declared itself the successor to the USSR, has expanded the variety of tools at its disposal through digital technology. The crisis of liberal democracies, which have become less cohesive since the end of the Cold War, has only increased the potential for Russian propaganda and disinformation. In addition, in the digital age, the public turns out to be very vulnerable to the manipulation of information, half-truths, and conspiracy theories. However, it is worth mentioning that after the collapse of the USSR, Russia attempted to build a media network based on democratic media systems, but after Vladimir Putin’s rise to power, the main task of the media was identified as support for the President’s efforts in restoring order and defending Russian interests.7 As a result, the media have come under state control and given clear guidelines on both what to discuss and what to keep quiet about.8
Today, disinformation and propaganda are a component of Russia’s “soft power” and a part of its security policy, including hybrid warfare. In 2012–2013, after being elected for his third term, Putin began using cyberattacks and disinformation to counter the “soft power” of the West and to compensate for the weakness of Russia’s own conventional strategy. Russia’s disinformation and propaganda strategy works on a trial-and-error basis and is clearly developed separately for each country or group, focusing on those narratives and unfortunate news that work best in a particular environment. The main goal is to discredit politicians, experts, institutions, and media of the target countries and to create a one-sided pro-Russian reality.9 Tools of such influence involve the media outlets RT, Sputnik, Ruptly, TASS.
Given this, the RT media outlet has been selected as the object of our study, namely: analytical reports on the RT site with the hashtag “#Ukraina” (https://russian.rt.com/trend/334986-ukraina). RT operates in the entire Russian-speaking space and influences those who work in it. However, we are interested in how this media outlet portrays or reacts to events and the political situation in Ukraine.
The analysis involves two tasks: 1) to study RT’s vocabulary and to define its emphases regarding events in Ukraine; 2) to distinguish principal topics of RT messages determining the Kremlin’s “agenda.” It should be mentioned that we do not study the effects of media, i.e. how the Ukrainian society reacts to RT’s messages. This is a subject for separate analysis.
The main article body consists of three parts. The first chapter provides a brief overview of our choice of RT as the research object. The second chapter outlines the methodology that we have been using to conduct the study and to futher substantiate our findings, and the next chapter presents proofs of the defined hypothesis. The article ends with our main conclusions drawn from the empirical analysis.
1. Specificity of Russia Today
Due to a number of reasons (including local influence, habits, use of the Russian language, natives of the Russian Federation among the audience, support for communist ideology, relative prevalence in the media etc.), Russian media outlets, including Russia Today, still hold a significant part of the media space of Ukraine. Therefore, these outlets have a certain level of influence on the political consciousness of Ukrainians, and propaganda, especially during the time of hybrid warfare of the RF against Ukraine, poses a threat to the security of the state.
Created in 2005 as an alternative to the Anglo-Saxon media environment, nowadays RT is accessible to about 700 million viwers all over the world (7 million in Europe). In its recent investigation (2017), the Intelligence Community Assessment reported that the Kremlin spends US$190 million a year on the distribution of the channel in hotels and via satellite and cable broadcasting all over the world.10 Backed by rich state financial support, RT’s messages are widely disseminated, cited, discussed, and have the capacity to influence public opinion and decision-makers. The Kremlin tries to turn Russia Today (as well as Sputnik, Ruptly, and TASS) into the world’s dominating information sources and has started to conclude partner agreements with the media all over the world to strengthen its positions11 (GUILDHALL 2020).
Being known as a home for controversial voices, RT nevertheless greatly influences the global media environment. On the one hand, it has provided a platform fro the likes of WikiLeaks’s Julian Assange, Holocaust denier Ryan Dawson, and Brexit leader Nigel Farage, but, on the other hand, RT hosts prominent media personalities like Larry King, Chris Hedges, and Ed Schultz.12,13 These individuals, in turn, use their industry status to interview high-profile guests who would otherwise be out of league for the average RT journalist; in doing so, they help RT mask its propagandistic intentions and instead portray itself as a serious, reliable newscaster.14
In 2017, during a press conference with V. Putin, French President Emmanuel Macron described RT and Sputnik as “organs of influence, of propaganda and of lying propaganda.”15 However, it is not the only official criticism; the channel has been sanctioned several times by the UK’s Office of Communication for breaching the broadcasting code and is currently registered as an “agent of a foreign government” in the US.16,17 In early January, two weeks before Donald J. Trump took office, American intelligence officials released a declassified version of the report “Assessing Russian Activities and Intentions in Recent US Elections” (prepared jointly by the CIA, FBI and NSA) where the authors accused the Russian media of undermining public faith in the US democratic process, denigrating Secretary Clinton and harming her electability and potential presidency.18
In Europe RT is named explicitly as an agent of Russian disinformation: the Russian Government employs a wide range of tools and instruments, such as think tanks and special foundations (Russkiy Mir), special authorities (Rossotrudnichestvo), multilingual TV stations (RT), pseudo news agencies and multimedia services (Sputnik), and cross-border social and religious groups, as the regime attempts to present itself as the only defender of traditional Christian values; its social media and internet trolls are to challenge democratic values, divide Europe, gather domestic support and create the perception of failed states in the EU’s eastern region.19
Russia Today was an ambitious public diplomacy project initially established to present a positive image of Russia to the world. However, the dynamics of the channel’s news production changed considerably during the Russia-Georgia war in 2008. Since then, RT has worked to encourage doubts about the West, its media, agenda, and values, epitomized in its slogan “Question More.”20
During the Russian-Ukrainian war, RT became a powerful tool for shaping Western attitudes toward Ukraine, the war, and Russia. German journalists call this influence “subtle” and therefore very dangerous. This “sophistication” lies in the fact that Moscow’s propaganda resources are turning into a platform for a critical discussion in the West about the mistakes, shortcomings, and weaknesses of Ukraine and Western society as well.21
2. Methodology of the research
The study has analyzed analytical reports with the hashtag “#Ukraina” available on the RT website (https://russian.rt.com/trend/334986-ukraina). These are 990 articles covering almost two years – from September 2018 (the site does not provide access to earlier materials) to April 2020. The whole period can be divided into 4 subperiods, each having its own specifics, and this specificity is manifested in changes in the direction of propaganda and article analytics content. The first two periods (September–December 2018 and January–April 2019) fall into Petro Poroshenko’s presidency, with the second timeframe representing the pre-election period, when the Russian propaganda network anticipated the new President of Ukraine. The next two periods (May–December 2019 and January–April 2020) represent the time of the Presidency of Volodymyr Zelensky. During the months of May to December 2019, the Russian Federation, in accordance with the propagandists at Russia Today, closely anticipated the new head of the state, and during the next period, having made appropriate conclusions, continued to pursue its own propaganda policy in view of the new conditions.
We have limited our research to the titles of the articles, which is quite sufficient for the purposes of the study as the titles of RT reports (1) clearly define the subject of the article analysis, (2) are always “seasoned” with propaganda clichés / labels, and (3) express the content in a concise form. All these factors allow us to identify the focus and general thematic “landscape” of Russian propaganda in the period under study.
Each title is considered as a separate document consisting of lexemes, i.e. unigrams and bigrams. In general, the entire collection of documents forms an integral structural unit – the body of data.
In terms of methodology, our efforts were:
• stage 1 (analysis of vocabulary structure) – to determine semantic features of the body of data on the basis of aggregation, quantization and analysis of specific words / lexemes of the corpus vocabulary and connections between them;
• stage 2 (structural-thematic analysis) – to construct a latent probabilistic structural thematic model of the collected documents.
Preliminary processing of the original data included a standard methodology of text extraction: formation of the body of data, conversion to lower case, deletion of punctuation, stemming, selection of words (basic lexemes), detection of bigram / n-grams, deletion of very frequent words, very rare words, and stop-words that are not valuable for the purposes of the study and empty headings after processing documents.
The main assumption of both stages is that each text of the document is a collection of words of a corpus vocabulary, the so-called Bag of Words. In case of text classification, a word in a document is assigned a weight according to its frequency in the document and frequency in between different documents.22
To identify the semantic features of the texts (task one), a vector model of verbal space (VSM) was used.23,24 VSM was applied to divide the text of documents into lexemes in the form of unigrams and bigrams, and to determine the importance (weight) of each lexeme in the structure of the document and the collection in general, the concept of weighing lexemes was used, i.e. giving more weight to unexpected events and less weight to events that occur frequently.25
The weight is set and, if necessary, regulated by weight indicators, but generally it depends on the number of times it enters the document / collection. The study used a family of classical weighing indicators, i.e. the absolute frequency n of occurrence in the document / collection, the normalized frequency of the word TF (term frequency), the inverse frequency of the IDF document database, as well as TF-IDF.26
The relative frequency of the same word use in two subsets of the collection is an important characteristic, for example, the figures representing which words were more often or less often used by RT during the period of Poroshenko’s Presidency in comparison with the period of V. Zelensky’s Presidency. To do this, the indicator lor (“log odds ratio”) was calculated for each word (see Chapter 7.327 for the calculation formula). During the calculations, we considered only the words that occurred in the collection at least 10 times.
To identify the association of words in the body of data, i.e. the common presence of words in documents / collections and their frequency characteristics, two cases were considered: bigrams (established sequences of two words that stand side by side in texts) or n-grams (combinations of n words – collocations) and word correlations. “You shall know a word by the company it keeps,”28 in other words, by analyzing collocates it is possible to identify the connotative meanings and reveal the interests of the message producer.
However, bigrams, as the most common pairs of words, give some partial idea of the connections between lexemes in the text. The correlation of words yields much more information. Correlation is a measure of how often words appear together, relative to how often they appear separately in documents in an entire data collection.
In texts, word correlation is usually measured in binary form, i.e. either the words appear in the document together or they do not. The φ (phi) coefficient is the traditional indicator of binary correlation (coefficient calculating formulas29). In its interpretation, it is similar to the Pearson correlation coefficient: if the absolute value of the φ coefficient ranges from 0 to 0.3, it indicates a very small correlation or no correlation at all; from 0.3 to 0.7 – a weak correlation; and from 0.7 to 1.0 – a strong correlation.
We used data visualisation in the form of a network to generalize the association’s estimates.
Topic modeling, which belongs to the family of probabilistic methods of collection analysis and allows the identification of hidden structures (i.e. topics) that generate source documents, was used to solve the second task. Topics are a range of phenomena, events, and entities that make up the content and structure of the document; topics are defined through keywords.
This paper applies the Structural Topic Model (STM).30 It is a generative model of word counts. A pattern is created on the basis of document collection in the process of modeling a certain framework, i.e. the structure of topics is defined within a fixed (predetermined) number of topics. This includes the probabilistic distribution of words between topics (for each topic the probability of βi belonging of i-word to the topic is determined) as well as the distribution of topics in the documents (for each document the probability of γj occurrence of the j-topic in the document is determined), which are joined by metadata that further characterize documents. In general, each document can consist of several topics, and the word can be a key in several topics. The sum of the probabilities of all the topics that make up the document is 1, and the sum of the probabilities of all the words that make up the topic is also 1.31
In this study, documents (article titles) and a collection of documents represent a probabilistic mix of topics, as each word in each title may belong to a different topic. Topics are described by proportional vectors that indicate the probability (share) of words that present the relevant features of this topic. The metadata accompaning each document include the date of publication of the article, the number of the subperiod and the sign that identifies the person of the President of Ukraine of the relevant subperiod.
The most important as well as the most complex and least defined in the STM model is the number of k topics that are to be extracted from the text.32 It is calculated before the construction of the model. For most real topics modeling tasks, there is no ideal number of topics, and the means of selecting are not clearly defined.33 In our study, we used the method of calculating a simple harmonic mean to group documents by topic described by M. Ponweiser,34 and the ldatuning R package by N. Murzintcev,35 which allows obtaining the optimal k by comparing the calculations for the set of k values. Calculations were made in the R programming language using such packages as ggraph, ggthemes, ldatuning, quanteda, stm, tidytext, topicmodels and others.
3. Findings
3.1. Vocabulary structure analysis
Frequency analysis was conducted to identify the verbal structure of RT reports, or rather to identify the set of dominant lexemes and the connections between them.
RT does not provoke the “hypodermic needle effect,” its influence is not absolute, but due to the citation of its texts and further dissemination of materials by other media, it lays the ground for wider propaganda activities of other RF subjects and forms frames of reality perception; RT’s impact, in terms of penetrating the media space and warping public discourse, derives primarily from the secondary circulation its content garners from domestic proxies and “useful idiots.”36
According to Ukrainian researchers, the information and semantic specifics of the Russian-Ukrainian hybrid warfare, compared to previous conflicts related to wars of this type, is characterized by its (1) intensity and breadth of the audience that the information influences, reaching global scales, (2) systematic and comprehensive use of old and new media, and (3) the creation of a new discourse of war aimed at destroying the existing one and forming new interpretive and semantic mechanisms of reality perception.37
Top 25 words in Fig. 1 (as well as in Annexes Table A) show how the propaganda has adapted to the changing situation in Ukraine.

Fig. 1. Frequency of words (top 25) in RT reports in terms of periods
It is not surprising that words which often occur denote conflicting states, their capitals, the legislature, leaders, and the population. The frequency of other words is connected with the events that took place in Ukrainian-Russian relations and with certain “reasons,” hidden interests of the RF both in Ukraine and in the West. In particular, the top 10 words are connected with the next (pre)conditions and reasons:
September – December 2018
• “военные” (the military), “море” (sea): on November 25, 2018, three ships of the Ukrainian Navy made the transition from the Black Sea to the Sea of Azov; in the area of the Kerch Strait they were stopped by a Russian tanker, attacked by forces of the Russian Navy and the Russian Coast Guard, and captured by the Russians; 24 sailors were taken prisoners, 6 of them were wounded. The Russian side called the incident a provocation by Ukraine to gain the support of the US and Europe. Ukraine accused Russia of violating the UN Charter and the UN Convention on the Law of the Sea. Reason: in this incident, the RF demonstrated to Ukraine who was the “master” of the Sea of Azov, provoking Kyiv to reckless steps, which in the future could serve as a “motivation to respond” from Moscow; to the West it was demonstrated how Russia could easily undermine the security of the entire region:
• “церковь” (church): Ukraine was on the way to receiving the Tomos (January 6, 2019) proclaiming the autocephaly of the Orthodox Church of Ukraine and its subordination to the Patriarch of Constantinople (rather than to Moscow as before); this, in turn, provoked sharp criticism and dissatisfaction of the RF; pro-Russian forces in Ukraine threatened with further divisions in Ukrainian society and a “civil war.” Reason: non-recognition of the autocephaly of the Ukrainian Orthodox Church as a specific form of struggle against the state independence of Ukraine; loss of the opportunity to spread anti-Ukrainian propaganda;
• “положение” (position): 1) elections in the DPR and LPR – representatives of the Ukrainian authorities and the international community called the elections illegal and in violation of the principles enshrined in the Minsk Agreements. Reason: through the elections, Russia retains its influence and control over the occupied territories and demonstrates its unwillingness to resolve the conflict peacefully; 2) until December 26, 2018, the ban on entry for men aged 16 to 60 was imposed in Ukraine for the period of martial law in 10 regions. Reason: on Ukraine’s part, these were measures to prevent the RF from forming detachments of private armies in the Donbass and to hinder them in conducting new terrorist operations; Russia reacted by accusing Ukraine of human rights violations;
January – April 2019
• “выборы” (elections): the presidential race in Ukraine, March 31 – the first round of elections, April 30 – the second round and V. Zelensky’s victory. Reason: Ukraine’s presidential race allowed the Russian media, including RT, to once again ridicule both the process and the candidates; the situation of uncertainty and the inconsistency of Zelensky’s image created a wide field for discussion, from blatant derision to hopes that the new Ukrainian president would be an RF supporter;
• “Донбасс” (Donbass): on January 1, the Treaty on Friendship, Cooperation and Partnership between Ukraine and the Russian Federation expired, and Ukraine refused to extend it; in response to this, on April 24, V. Putin signed a decree on a simplified procedure for obtaining Russian citizenship for residents of the occupied areas of the Donetsk and Luhansk regions. Reason: the “passportization” campaign undermines Ukraine’s sovereignty and makes it impossible to implement the political part of the Minsk Agreements, i.e. Russia had once again demonstrated its unwillingness to resolve the conflict in Donbass;
• “США” (the US): the RF’s extensively cites the US State Department statement on human rights violations in Ukraine as well as the words of Ukraine’s Prosecutor General Yu. Lutsenko, who accused US Ambassador to Ukraine M. Jovanovich of interfering in the work of the agency (March) and who also accused the US of controlling the whole situation in Ukraine during the election campaign; Russia’s violent negative reaction to the US State Department’s statement on supporting a democratic, peaceful Ukraine (April). Reason: the “eternal” enmity dispute between the RF and the US over dominance in the global system of international relations, with Ukraine being another basis for mutual accusations;
• “газ” (gas): Naftogaz Ukrainy filed a lawsuit against Russia with the permanent chamber of the Arbitration Court in The Hague. The company demanded from Moscow to pay 5.2 billion US dollars in compensation for the loss of assets in Crimea; the consequent intimidation of Ukrainians by rising gas prices. Reason: any compensation or fines that Russia has to pay, or any levied sanctions are perceived by Russia’s political elite as “moral pressure and fraud” and as an undermining of Russia’s power;
May – December 2019
• “Донбасс” (Donbass): beginning with May 2019, Russian Federation passports begin to be issued in the Donetsk People’s Republic (DNR) and Luhansk People’s Republic (LNR); a discussion of a fake statement about the capture of the DPR and LPR territories by Ukrainian troops within a day; extensive protests throughout Ukraine against the “Steinmeier formula” for resolving the conflict in Donbass; mutual withdrawal of troops in some settlements. Reason: demonstration of Ukraine’s aggression, its unwillingness to settle the conflict and to “hear out” the DNR and LNR;
• “газ” (gas): long and exhausting negotiations with the EU for support on the transit of Russian gas through Ukraine. Reason: Russia’s desire to impose its financial priorities;
• “новая” (new): adjective-label denoting events and activities related to President Zelensky, the Servant of the People Party and the re-elected Verkhovna Rada. Reason: not quite understanding what to expect from the President of Ukraine and the Verkhovna Rada, RT put different (even contradictory) shades of meaning into the adjective: from the approving “expectation of new positive relations” to the sarcastic “a new broom sweeps clean” attitudes;
• “Вышинский” (Vyshinsky): K. Vyshinsky, as the head of RIA Novosti-Ukraine, a branch of the Russian news agency RIA Novosti, was accused by the Security Service of Ukraine of treason and creating a subversive, pro-Russian information network in Ukraine; arrested in May 2018, in September 2019 he took part in the exchange of prisoners between Russia and Ukraine, after which he arrived in Moscow. Reason: RT gave Vyshinsky the image of an unjustly imprisoned martyr and constantly demonstrated its support with the implicit message that Russia does not leave its people behind;
January – April 2020
• “Донбасс” (Donbass): preparation and subsequent exchange of prisoners in April between Ukraine and the “ORDLO” (temporarily occupied territories of Ukraine – certain areas of Donetsk and Luhansk oblasts). Reason: the Kremlin demonstrated a willingness to reach a compromise; however, that was not without political bargaining unfavorable to Ukraine: Russia “took” V.Tsemakh, who was to become an important witness in the trial in the Netherlands in the case of the crash of the Malaysian Boeing in eastern Ukraine;
• “новая” (new): the same linkage as in the previous period. However, it should be mentioned that if at the beginning of Zelensky’s presidential career the “new” (power) was presented with the connotative meaning of “succeeding an old, ineffective power,” it gradually came to mean the “ignorant, and therefore ineffective” power;
• “США” (the US): intimidation of Ukrainians by the consequences the country would face upon joining the NATO; criticism of the US for its support to Ukraine with Javelin anti-tank missiles (for instance, the Ukrainian authority was labeled as “pawns on the American chessboard”; “decline in pro-NATO sentiment” was emphasized in the context of a new Military Doctrine of Ukraine, which outlined integration in the NATO; President Zelensky was criticized for his offer to allow Americans extract gas and oil in Ukraine) (the reason is the same as in January-April 2019);
• “Майдан” (Maidan): speculation on the ability of the “new” power to find the responsible for the shootings on the Maidan in February 2014. Reason: to question the political will of both the “old” and the “new” authorities in Ukraine to find out the truth;
• “Китай” (China) was mentioned in connection with COVID-19 and the protests near the village of Novi Sanzhary, where Ukrainian tourists from China were brought to the sanatorium for quarantine, and the local population was aggressively dissatisfied. Reason: to portray Ukrainians as aggressive, intolerant, and the power as being incapable of communicating with its citizens;
• “закон” (law): the lexeme does not have any special meaning, it is simply often used in the context of describing and analyzing the activities of President Zelensky.
Another lexical unit is quite illustrative: the adverb “против” (against) (September – December 2018 – 12th position, May – December 2019 – 17th position), which demonstrates the whole position of the RF in relation to Ukraine, its power, politics, and its citizens. In other words, Russia is always in opposition to everything associated with Ukrainian statehood and independence.
The importance indicator of the words tf-idf enabled to reveal the essential characteristics of RT reports due to the reduction of the weight of commonly used words. According to tf-idf (Annex Table B), in all periods there is a harshly negative anti-Ukrainian discourse, either contemptuous, accusatory, or threatening (although with some differences). For example, Fig. 2 shows the most distinctive words found in the titles of RT reports in two subperiods – a more rigid and conflicting discourse of the period of Poroshenko’s Presidency and a less conflicting discourse of the period of Zelensky’s Presidency (P. Poroshenko – red, V. Zelensky – blue).

Fig. 2. Comparing the odds ratios of words from the periods of Poroshenko and Zelensky
The collocation analysis is even more illustrative, as it shows an element of the most important topics of RT analytical reports.
Bi-, tri-, and quatro-collocations indicate that among the most important topics for the RF (which are not always explicitly expressed) is the topic of Russian gas transportation. For Russia, gas has become an instrument of energy diplomacy; in other words, it relies on its status as a transporter of Russian gas to put pressure on European countries and Ukraine. Energy is the basis of economic growth, which can in turn be translated into political power.38 In the case of Russia, energy resources are viewed as both a tool and a means to achieve not only economic but also security and political goals.39
A visual representation of the network of relations between words, which takes into account both collocations and correlations of words, enabled to obtain a general event-thematic picture of the entire collection of documents. Fig. 3 shows a simplified version of this picture presented in the form of a network created by the most common words, the correlation φ between which is higher than 0.7.

Fig. 3. Top-20 collocations (n-grams) in RT reports
This network does not only show the most distinctive words of the collection, but also presents how they are related. This is the preliminary analysis for a deeper thematic modeling. Here we clearly see three separate thematic subnets of the RT reports: two larger and one smaller.

Fig. 4. Top-20 collocations (n-grams) in RT reports (φ >= 0,7)
The first subnet is a set of purely propagandist patterns used in the materials (their purpose is to plan information and legal support for the RF’s actions). The second subnet is more related to specific subjects or objects and events. The third subnet is a “mononet” that presents one topic, namely the reaction by the Kremlin’s propaganda to the recognition of the autocephaly of the Orthodox Church of Ukraine in the world and the events surrounding it.
3.2. Structural analysis of topics
Since the number of possible topics k is a priori unknown, the possible value of k was analyzed in the range from 5 to 50. Based on calculations according to the above procedure, and taking into account primarily such criteria as coherence, as well as the simplicity or clarity of interpretation of the topic, for further work k = 12 was taken. On the basis of the STM-model 12 topics were built and keywords related to them were identified.
Topic modeling assumes that the topic is a distribution of word probabilities, and the most probable words in general can indicate the main topic.

Fig. 5. Topics: highest word probabilities for each topic
Fig. 5 shows the most propaple words for each of the top 12 topics. The topic content should be carefully interpreted on the basis of the most probable words, as they represent only a small part of the probability distribution and are not necessarily the most exclusive words of the topic. Therefore, in shaping topic content, we had to consider other words as well as further analyze the documents in which the topic was presented most clearly. Hence, the analysis enabled to distinguish the top 12 “hidden” topics in the entire data collection:
– Topic 1: Pre-election chaos in Ukraine (mix of topics);
– Topic 2: Steinmeier formula + US support to Ukraine;
– Topic 3: The Kerch Strait incident + “Russophobia”;
– Topic 4: RF citizenship for the residents of DPR and LPR + increase in gas prices in Ukraine (mix of topics);
– Topic 5: Termination of the Treaty of Friendship with Russia + Zelensky’s domestic policy (changes + gas);
– Topic 6: Zelensky takes office as President of Ukraine;
− Topic 7: Zelensky’s reforms + evacuation of Ukrainians from China (protests in Novi Sanzhary, coronavirus);
− Topic 8: The schism of the Orthodox Church of Ukraine;
− Topic 9: Imposition of martial law in some regions of Ukraine + the combat readiness of Ukraine’s Armed Forces;
− Topic 10: Aggressive behavior of Ukraine in relation to the DNR / LNR + “aggressive” Poroshenko (or Poroshenko’s Anti-Rating);
− Topic 11: Support for Vyshinsky;

Fig. 6. Top-12 topics by prevalence: distribution of probability γ for each topic
Since each document can be multi-thematic, it is also possible to speak about the connection of topics, i.e. topics are often found in joint documents. Fig. 7 shows that all topics can be divided into 4 groups:
– monotopic – autocephaly of Ukrainian Orthodoxy (topic 8);
– a group of topics related to the Presidency of Poroshenko and the Presidential elections (topics 1 and 10);
– events around K. Vyshinsky and the Kerch Strait, which are directly related to Russia’s interests / accusations against Russia (topics 3 and 11);
– a group of topics that express the interests and expectations of the RF related to V. Zelensky as the new President of Ukraine (here in the center are three topics related to (a) V. Zelensky as President of Ukraine, his reforms and policies (topics 5, 6 and 7); (b) there are gas issues and Russian citizenship for residents of the occupied territories (topics 12 and 4), (c) the support for separatists and information support of favorable to Russia conditions to end the conflict in the occupied Donbass (topics 9 and 2).

Fig. 7. Thematic network (relations of topics) of the collection (φ > 0.1)
Fig. 8 shows the distribution of topics between documents. On each graph, the probability γ, which is reflected on the x-axes, varies from 0 to 1 and determines the affiliation of documents to this topic. If the column is high near 0 (many documents have a probability γ close to 0), it means that we have many documents that do not belong to the relevant topic. If there are many values around 1, it means that there are many documents that exclusively represent one topic. These distributions demonstrate how a collection of documents presents a defined list of topics.

Fig. 8. Distribution of document probabilities for each topic
A significant cluster of documents around 0 and a complete lack of cluster around 1 are common to all probability distribution graphs γ. This means that all topics are present in many documents, i.e. the same material is repeated many times, which is typical for propaganda materials. This feature shows as well that the majority of documents are multi-topic, which is also a sign of propaganda material, i.e. due to the diversity of its topics, such material must reach the widest possible audience. According to the form of probability distribution γ topics can be divided into 2 groups: (1) with a short tail and (2) with a long tail. The long tail of the probability distribution γ for a topic is an indication that the collection contains documents that are written on this very topic, i.e. those in which the probability of belonging to a given topic is high. A short tail indicates the opposite. In the studied collection, the highest probability of one topic reaches 0.75. According to our observations, the long-tailed form of distribution is more typical for event / plot topics (which are time-bound – given the life cycle of the event), or in cases where there are special messages on a given topic in order to emphasize their importance. The short-tailed form is typical for topics that can serve as “universal” additional evidence for many propaganda purposes / campaigns.
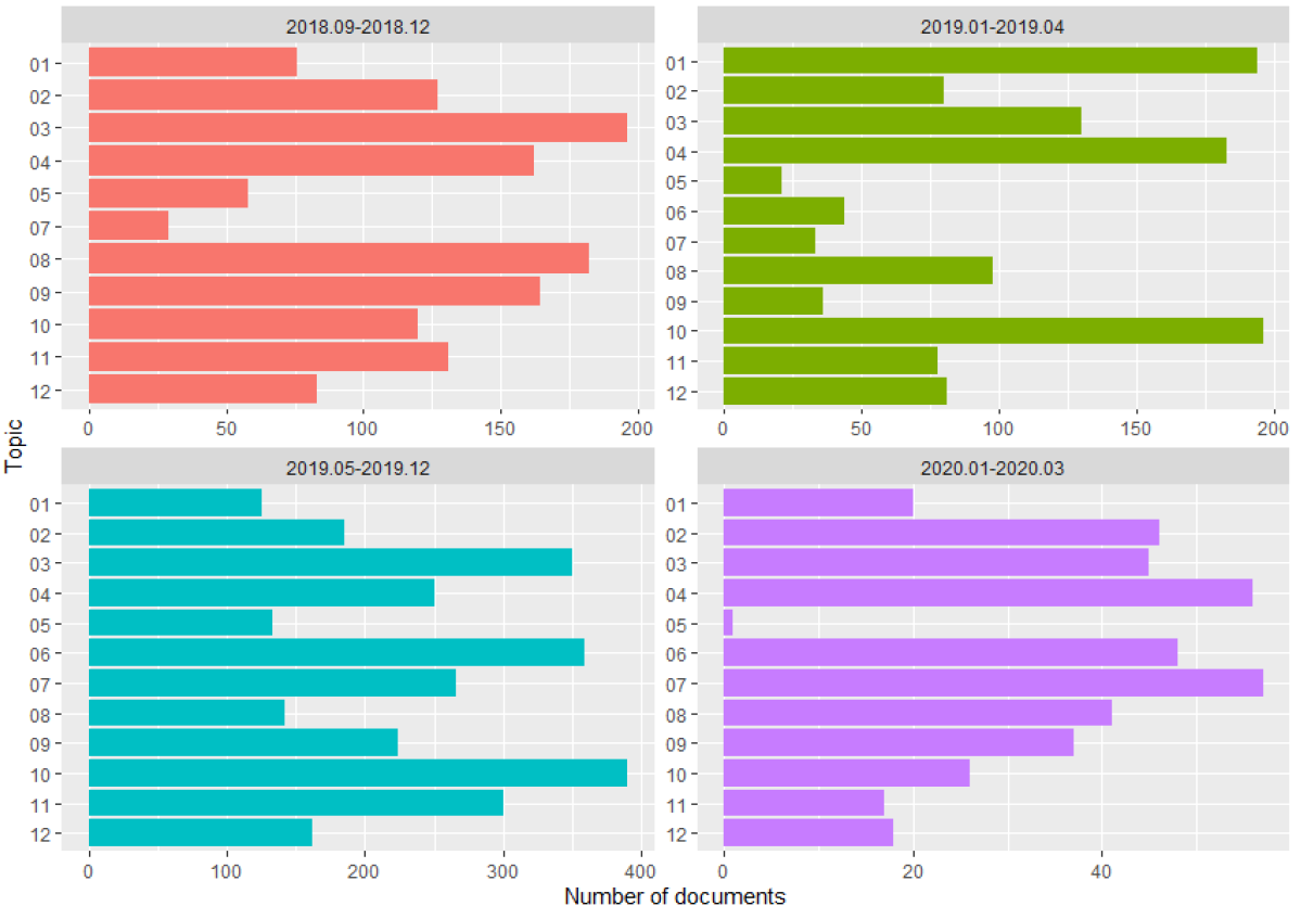
In our case, the topics that are present in many documents (the range of probability change γ is relatively narrow: from 0 to a maximum 0.6) are the following: (5) domestic policy of V. Zelensky, (7) reforms of V. Zelensky, (2) Steinmeier formula and the US support to Ukraine, (3) the Kerch Strait incident and “Russophobia,” (6) Zelensky takes office as President of Ukraine. As to other topics, the collection has several publications dedicated to each topic. In our opinion, the following topics stand out for their propaganda purposes: (10) anti-Poroshenko sentiment, (12) gas, (4) acquisition of RF citizenship by the residents of the occupied territories. Other topics in this group are eventful.
The connection between the topics and the propaganda content becomes even more obvious due to use of documents’ metadata, which, in our case, include a defined sub-period, as well as information about who was the President of Ukraine at the time when the document appeared.
Table 1 illustrates the distribution of topics in terms of the periods under study:
Table 1. Topics distribution in subperiods
|
N |
Topics |
Subperiods |
|||
|
1 |
2 |
3 |
4 |
||
|
1 |
Pre-election chaos in Ukraine (mix of topics) |
+ |
|||
|
2 |
Steinmeier formula + US support to Ukraine |
+ |
+ |
||
|
3 |
The Kerch Strait incident + “Russophobia” |
+ |
+ |
+ |
+ |
|
4 |
The RF citizenship for the DPR / LPR residents + increase in gas prices in Ukraine (mix of topics); |
+ |
+ |
+ |
+ |
|
5 |
Termination of the Treaty of Friendship with Russia + Zelensky’s domestic policy (changes + gas) |
+ |
|||
|
6 |
Zelensky takes office as President of Ukraine |
+ |
+ |
||
|
7 |
Zelensky’s reforms + evacuation of Ukrainians from China (protests in Novi Sanzhary, coronavirus) |
+ |
+ |
||
|
8 |
The schism of the Orthodox Church of Ukraine |
+ |
+ |
||
|
9 |
Imposition of martial law in some regions of Ukraine + the combat readiness of Ukraine’s Armed Forces |
+ |
+ |
||
|
10 |
Aggressive behavior of Ukraine in relation to the DNR / LNR + “aggressive” Poroshenko (or Poroshenko’s Anti-Rating) |
+ |
+ |
+ |
|
|
11 |
Support for Vyshinsky |
+ |
+ |
+ |
|
|
12 |
Gas negotiations |
+ |
+ |
||
Considering the distribution of topics by periods (Fig. 9), all the topics can be devided into the following groups:
– relevant all the time – (3), (4) and (10);
– closely related to the goals of propaganda, but intensified only in certain periods (situational) – (2), (8), (9) and (11);
– eventful, but which can be used for propaganda purposes – (1), (6), (7), (5);
– expressing the RF economic interests – (12).

Fig. 9. Distribution of topics by the number of documents by periods
Fig. 10 and 11 present a comparative analysis of Russian propaganda of the subperiods of the Presidency of P. Poroshenko and V. Zelensky. Fig. 10 shows that three topics were relevant to both Presidents of Ukraine, i.e. (3) the incident in the Kerch Strait and “Russophobia,” (4) the acquisition of the RF citizenship and rising gas prices, (10) anti-Poroshenko propaganda. These include two other topics, that is (11) the arrest of K. Vyshinsky, (2) the settlement of the Donbass problem according to the Steinmeier formula and the US support for Ukraine. Fig. 11 illustrates that V. Zelensky’s period includes topics 6 and 7, which relate primarily to the domestic policy of V. Zelensky, while Poroshenko’s period only topics involving themes 1 and 8 – the election mix and the autocephaly of the Ukrainian church.

Fig. 10. Distribution of topics by the number of documents in terms of the Presidencies of P. Poroshenko and V. Zelensky

Fig. 11. Graphical display of topical prevalence contrast
However, thematic models have a number of limitations. Firstly, the term “topic” is somewhat ambitious, and thematic models will not provide a purely subtle classification of texts. Secondly, thematic models can be easily abused if they are misunderstood as an objective reflection of the meaning of the text. These tools can be more accurately described as “reading tools.” The results of topic models should not be interpreted excessively if the researcher does not have significant theoretical vision a priori about the number of topics in the collection or if the researcher has carefully checked the results of the topic model using both the quantitative and qualitative methods described above.
Conclusions
The conducted analysis shows that in 2018–2020, the Kremlin’s propaganda adapted to the changing situation in Ukraine and passed several stages. Initially it was focused on the opposition between Ukraine and Russia, as well as the role of President Poroshenko and related conflicts – the events in the Sea of Azov, the receipt of the Tomos, the support of Ukraine by the US and the EU. Then, much less attention was paid to that confrontation, and more was said about the presidential election in Ukraine, with the emergence of a somewhat “new” topic – gas transit through Ukraine. Later, when V. Zelensky became President of Ukraine, the Russian Federation practically disappeared from the discussion; it was replaced by a new confrontation between Ukraine and Donbass; other topics include the role of the new President V. Zelensky, issues in the gas and oil sectors, and, as absolutely expected, the condemnation of Ukrainian nationalist activities.
The RT reports are characterized by their extensive range of topics (12); besides, one report may also cover several topics, which is a sign of propaganda. There is also a clear devision regarding the attitudes to the Presidents. The period of P. Poroshenko’s Presidency was prevailed by “monotopics,” namely church autocephaly, elections, aggression, RF citizenship for the DPR/LPR population, and gas. However, many monotopic reports (devoted to specific events) were published during a relatively short period. Evidently, these are the most vulnerable topics for the Kremlin; they are directly connected with the RF’s interests. All the rest of the topics are merely anti-Ukrainian. The period of V. Zelensky’s Presidency is characterized by a diversity of topics, these topics should be repeated many times to be remembered by the public. This was the period when the Kremlin looked for the points of contact with Zelensky. Having failed, they returned to the previous scheme: criticism of the President’s decisions, Russophobia, gas, aggression, etc. However, the level of intolerance for V. Zelensky was (and still remains) much lower in comparison with the demonstrated aggression against P. Poroshenko.
Considering the above, the authors conclude that the propaganda of Russia Today does not pursue unique goals, since hatred, humiliation, and incitement to aggression have been the features of any disruptive media activity. Rather, it demonstrates the position of the Kremlin as an offended party, even a vulnerable entity that purposefully takes vengeance on the rival who is presumably a little successful. In reality, the topics and the vocabulary emphases reveal the Kremlin’s own weaknesses.
References
Becker, Jonathan. “Lessons from Russia: A Neo-authoritarian Media System.” European Journal of Communication 19, no. 2 (2004): 139–163, https://doi.org/10.1177/0267323104042908
Berry, Chris, Janet Harbord and Rachel Moore, eds. Public Space, Media Space. Palgrave Macmillan UK, 2013.
Bilyk, Danylo. “Yak propahanda Kremlya vplyvaye na robotu nimets’kykh zhurnalistiv” [How Kremlin Propaganda affects the Work of German Journalists]. Deutche Welle, April 1, 2015, https://www.dw.com/uk.
Boyd-Graber, Jordan, David Mimno, and David Newman. “Care and Feeding of Topic Models: Problems, Diagnostics, and Improvements.” In Handbook of Mixed Membership Models and TheirAapplications, eds. E. M. Airoldi, D. Blei, E. A. Erosheva, & S. E. Fienberg. Boca Raton: CRC Press, 2014, 3–34.
Crain Steven P., Ke Zhou, Shuang-Hong Yang, and Hongyuan Zha. “Dimensionality Reduction and Topic Modeling: From Latent Semantic Indexing to Latent Dirichlet Allocation and Beyond.” In Mining Text Data. Boston: Springer, 2012, 129–161.
Elswah, Mona, and Philip N. Howard. “‘Anything that Causes Chaos’: The Organizational Behavior of Russia Today (RT).” Journal of Communication 70 (2020): 623–645.
European Parliament, EU Strategic Communication to Counteract anti-EU Propaganda by Third Parties, 23 November 2016, https://www.europarl.europa.eu/doceo/document/TA-8-2016-0441_EN.pdf?redirect.
Firth, John Rupert. Papers in Linguistics 1934–1951. Oxford: Oxford University Press, 1957.
Gruliow, Leo. “The Soviet Press: Propagandist, Agitator, Organizer.” Journal of International Affairs 10, no. 2 (1956): 153–169.
GUILDHALL, Kak Kreml’ stroit mediakonglomerat i pytayetsya vtyanut’ strany mira v infoprostranstvo RF [How the Kremlin builds a Media Conglomerate and Tries to draw the Countries of the World into the RF Infospace], May 15, 2020, https://ghall.com.ua/2020/05/15/kak-kreml-stroit-mediakonglomerat-i-pytaetsya-vtyanut-strany-mira-v-infoprostranstvo-rf/.
Habermas, Jurgen. The Structural Transformation of the Public Sphere. Cambridge: MIT Press, 1989.
Horbulin, Volodymyr, ed. Svitova hibrydna viyna: ukrayinsʹkyy front [World Hybrid Warfare: Ukrainian Front]. Kyiv: NISD, 2017.
ICA, Assessing Russian Activities and Intentions in Recent US Elections: The Analytic Process and Cyber Incident Attribution. Intelligence Community Assessment, 2017, https://www.dni.gov/files/documents/ICA_2017_01.pdf.
Meister, Stefan, ed. Understanding Russian Communication Strategy: Case Studies of Serbia and Estonia (2018): 9–10. https://www.ssoar.info/ssoar/bitstream/handle/document/59979/ssoar-2018-meister-Understanding_Russian_Communication_Strategy_Case.pdf.
Murzintcev, Nikita. ldatuning: Tuning of the Latent Dirichlet Allocation Models Parameters, 2016, R package version 0.2.0, https://CRAN.R-project.org/package=ldatuning.
Nowak, Zuzanna, Jarosław Godzimirski, and Jakub Ćwiek-Karpowicz. “Russia’s Grand Gas Strategy – the Power to dominate Europe?” Energypost.EU, March 25, 2015, https://energypost.eu/russias-grand-gas-strategy-power-dominate-europe/.
Oates, Sarah. “The Neo-Soviet Model of the Media.” Europe-Asia Studies 59, no. 8 (2007): 1279–1297.
O’Sullivan, Meghan L. “The Entanglement of Energy, Grand Strategy, and International Security.” In The Handbook of Global Energy Policy. Chichester, England: John Wiley & Sons, Ltd, May 2013, https://www.belfercenter.org/node/89236.
Pomerantsev, Peter. “Authoritarianism goes Global (II): The Kremlin’s Information War.” Journal of Democracy 26, no. 4 (2015): 40–50, doi: https://doi.org/ 10.1353/jod.2015.0074.
Ponweiser, Martin. “Latent Dirichlet Allocation in R. Theses”, Institute for Statistics and Mathematics, 2 WU (Vienna: Vienna University of Economics and Business, 2012), https://epub.wu.ac.at/id/eprint/3558.
Richter, Monica L. “The Kremlin’s Platform for ‘Useful Idiots’ in the West: An Overview of RT’s Editorial Strategy and Evidence of Impact.” European Values, 2017, https://www.kremlinwatch.eu/userfiles/the-kremlin-s-platform-for-useful-idiots-in-the-west-an-overview-of-rt-s-editorial-strategy.pdf.
Richter, Monica L. “What We Know about RT (Russia Today).” European Values (2017): 57, https://www.europeanvalues.cz/en/what-we-know-about-russia-today/.
Roberts, Margaret E., Brandon M. Stewart, and Edoardo M. Airoldi. “A Model of Text for Experimentation in the Social Sciences.” Journal of the American Statistical Association 111, no. 515 (2016): 988–1003.
Roberts, Margaret E., Brandon M. Stewart, and Dustin Tingley. “stm: R Package for Structural Topic Models.” Journal of Statistical Softwar 10, no. 2 (2014): 1–40.
Rose, Michel, and Denis Dyomkin. “Macron denounces “lying Propaganda” of Russian Media as He meets Putin.” The Independent, May 29, 2017, https://www.independent.co.uk/news/world/europe/vladimir-putin-emmanuel-macron-election-hacking-lying-propaganda-meeting-a7762336.html.
Salton, Gerard, A. Wong A., and C. S. Yang. “A Vector Space Model for Automatic Indexing.” Communications of the ACM 18, no. 11 (1975): 613–620.
Siebert, Fredrick, Theodore Peterson, and Wilbur Schramm. Four Theories of the Press: The Authoritarian, Libertarian, Social Responsibility, and Soviet Communist Concepts of What the Press should be and do. Urbana: University of Illinois Press, 1956.
Silge, Julia, and David Robinson. Text Mining with R: A Tidy Approach (1st. ed.) (Sebastopol: O’Reilly Media, Inc., 2017), https://www.tidytextmining.com/.
Soumya, George K., and Joseph Shibily. “Text Classification by Augmenting Bag of Words (BOW) Representation with Co-occurrence Feature.” IOSR Journal of Computer Engineering 34, no. 16 (2014): 34–38. https://doi.org/ 10.9790/0661-16153438.
Waterson, Jim. “RT Fined ₤200,000 for Breaching Impartiality Rules.” The Guardian, July 26, 2019. https://www.theguardian.com/media/2019/jul/26/rt-fined-breaching-impartiality-rules-ofcom.
Wittgenstein, Ludwig. Tractatus Logico-Philosophicus. London: Routledge and Kegan Paul, 1974.
Zhao, Weizhong et al. “A Heuristic Approach to determine an appropriate Number of Topics in Topic Modeling.” BMC Bioinformatics 16, September 2015, https://bmcbioinformatics.biomedcentral.com/articles/10.1186/1471-2105-16-S13-S8.
Yin Zhang, Rong Jin, and Zhi-Hua Zhou. “Understanding Bag-of-Words Model: A Statistical Framework.” International Journal of Machine Learning & Cybernetics 1, no. 1 (2010): 43–52, https://doi.org/10.1007/s13042-010-0001-0.
1
2
3
4
5
6
7
8
9
10
11
12
13
14
15
16
17
18
19
20
21
22
23
24
25
26
27
28
29
30
31
32
33
34
35
36
37
38
39