Politologija ISSN 1392-1681 eISSN 2424-6034
2025/4, vol. 120, pp. 38–80 DOI: https://doi.org/10.15388/Polit.2025.120.2
Dr. Ainė Ramonaitė
Vilniaus universiteto Tarptautinių santykių ir politikos mokslų instituto profesorė
El. paštas aine.ramonaite@tspmi.vu.lt
Dr. Deividas Šlekys
Vilniaus universiteto Tarptautinių santykių ir politikos mokslų instituto docentas
El. paštas deividas.slekys@tspmi.vu.lt
Aurelija Tylaitė
Vilniaus universiteto Tarptautinių santykių ir politikos mokslų instituto tyrėja
El. paštas aurelijatylaite@gmail.com
Santrauka. Nuo ko priklauso visuomenės valia ginti šalį valstybėse, gyvenančiose agresyvaus kaimyno pašonėje? Straipsnyje analizuojamos trys šalys, panašios savo geopolitine padėtimi, – Lietuva, Latvija ir Taivanas. Straipsnio tikslas – įvertinti visuomenės nusiteikimo ginti savo šalį lygį ir jam įtaką darančius veiksnius Lietuvoje, Latvijoje ir Taivane, remiantis visose trijose šalyse atliktomis visuomenės apklausomis*. Straipsnis sudarytas iš trijų dalių: pirmoje dalyje aptariami trijų nagrinėjamų šalių istoriniai, kultūriniai ir sociopolitiniai panašumai, antroje dalyje įvertinama trijų šalių gynybos politika ir visuomenės vaidmuo joje. Trečioji dalis skirta apklausos duomenų analizei. Joje pirmiausia pristatomi duomenys ir matavimo įrankiai, paskui aptariamas valios ginti šalį lygis pagal keturis rodiklius, galiausiai pateikiami regresinės analizės, tikrinančios valios ginti veiksnius, rezultatai.
Reikšminiai žodžiai: valia ginti šalį, Taivanas, Lietuva, Latvija, visuotinė gynyba, apklausa.
Summary. What determines the willingness to defend one’s country in states that live next to an aggressive neighbor? This article analyzes three countries with similar geopolitical situations – Lithuania, Latvia, and Taiwan. The aim of the article is to assess the level of willingness to defend one’s country and the factors influencing it in Lithuania, Latvia, and Taiwan, based on public opinion surveys conducted in all three countries. The article is divided into three parts. The first part discusses the historical, cultural, and sociopolitical similarities of the three countries under examination. The second part evaluates the defense policies of the three countries and the role of society in them. The third part is dedicated to analyzing the survey data. It first presents the data and measurement instruments, then discusses the level of willingness to defend the country according to four indicators, and finally presents the results of a regression analysis that examines the factors influencing the will to defend.
Keywords: willingness to defend one’s country, Taiwan, Lithuania, Latvia, total defense, survey.
_________
Received: 06/08/2025. Accepted: 06/11/2025
Copyright © 2025 Ainė Ramonaitė, Deividas Šlekys, Aurelija Tylaitė. Published by Vilnius University Press. This is an Open Access article distributed under the terms of the Creative Commons Attribution License, which permits unrestricted use, distribution, and reproduction in any medium, provided the original author and source are credited.
Pastaraisiais metais didėjant grėsmėms nacionaliniam saugumui, Lietuvoje vis labiau jaučiamas susirūpinimas gynybinių pajėgumų stiprinimu. Viena iš esminių Lietuvos gynybos politikos strateginių nuostatų yra visuotinės gynybos principas, kuris reiškia, jog gynybai sutelkiami visi valstybės ištekliai ir panaudojamos visos priemonės – tiek karinės, tiek nekarinės1. Kartu tai reiškia, kad į valstybės gynybą turėtų įsitraukti visi piliečiai – arba gindami valstybę ginklu, arba neginkluotai.
Ruošiant visuomenę įsitraukimui į gynybą, svarbu konkretūs įgūdžiai ir žinojimas, kaip veikti, tačiau ne mažiau svarbus dalykas yra vadinamoji pilietinė valia, kuri Lietuvos strateginiuose dokumentuose įtvirtinta kaip vienas iš pagrindinių visuomenės pasirengimo priešintis elementų. Piliečių rengimo pilietiniam pasipriešinimui strategijoje pilietinė valia apibrėžiama kaip „visų piliečių, nepriklausomai nuo jų amžiaus, apsisprendimas ir pasiryžimas kovoti už šalies nepriklausomybę ir priešintis agresoriui visais įmanomais būdais, nedraudžiamais visuotinai pripažįstamų tarptautinės teisės normų“2.
Nuo ko priklauso pilietinės valios lygis visuomenėje? Kaip tai pamatuoti ir patikrinti? Patikimų atsakymų į šiuos klausimus trūksta, nes visuomenės nusiteikimo kovoti už savo šalį tyrimų ilgą laiką buvo labai mažai (naudingą jų apžvalgą galima rasti Virgilijaus Rutkausko straipsnyje3). Daugiausia tyrimų apsiriboja viena šalimi (bene daugiausia dėmesio šiai temai skiriama Šiaurės šalyse, Baltijos šalyse, Taivane ir Ukrainoje4), o lyginamieji tyrimai rėmėsi tik Pasaulio vertybių tyrimo apklausos duomenų analize5, nes šiuose duomenyse yra vienas tam skirtas rodiklis (tiesa, plačiai kritikuojamas) – klausimas, ar, kilus karui, respondentas būtų pasiryžęs kovoti už savo šalį. Tiesa, po 2022 m. Rusijos invazijos į Ukrainą tokių tyrimų ėmė sparčiai daugėti6, tačiau jiems trūksta tiek lyginamosios perspektyvos, tiek solidaus metodologinio pagrindimo – dažnai empiriniams tyrimams naudojami apklausų įrankiai nėra nei teoriškai pagrįsti, nei metodologiškai patikrinti.
Baltijos šalyse daugiausia dėmesio valios ginti temai yra skyręs Maris Andžāns7, tačiau jo publikacijos daugiausia apsiriboja agreguotų duomenų analize ir deskriptyvine statistika. Lietuvoje išsamiausiai šią temą aptaria 2018 m. išleista A. Ramonaitės ir kolegų parengta knyga „Kas eitų ginti Lietuvos? Pilietinio pasipriešinimo prielaidos perspektyvos“ 8, kurioje analizuojami valios ginti šalį veiksniai, remiantis 2017 m. atlikta Lietuvos gyventojų apklausa. Šiame tyrime nustatyta, kad šalį ginti labiau nusiteikę jauni žmonės, kad valią ginti šalį teigiamai veikia pasitikėjimas politinėmis institucijomis ir parama demokratijai, o neigiamai – sovietinė nostalgija. Tačiau ar ir kiek šie veiksniai yra universalūs? Juk plačiai cituojamame Ronaldo Ingleharto ir jo kolegų tyrime teigiama, kad valia ginti šalį mąžta geriau gyvenančiose demokratiškose postmaterialistinėse visuomenėse, kurios ryškesnį akcentą deda ant individualių tikslų, tolerancijos, žmogaus gyvybės vertinimo negu pasiaukojimo bendruomenės ar valstybės labui9. Jeigu Ingleharto teorija teisinga, tai demokratiją vertinantys žmonės ir postmaterialiomis vertybėmis pasižymintis jaunimas turėtų būti mažai linkę ginti tėvynę. Tačiau galbūt, kaip spėja pats Inglehartas su kolegomis10, jo įžvalgos negalioja tokiose demokratijose, kurios turi jų nacionaliniam saugumui grasinančias autoritarines kaimynes? Galbūt tokiose šalyse veikia visai kiti dėsningumai?
Unikalią galimybę ištirti, nuo ko priklauso valia ginti šalį savo geopolitine padėtimi į Lietuvą panašiose valstybėse, suteikia 2022–2024 m. atliktas trijų šalių – Lietuvos, Latvijos ir Taivano – tyrimas „Veiksniai ir veikėjai, stiprinantys valią ginti savo šalį: Latvijos, Lietuvos ir Taivano atvejai“, kurio metu visose trijose šalyse buvo atliktos visuomenės apklausos, pateikiant tokius pačius klausimus. Taigi šie duomenys leidžia ne tik pažvelgti, nuo ko priklauso valia ginti šalį kiekvienoje iš trijų valstybių, bet ir palyginti jas tarpusavyje.
Galbūt iš pirmo žvilgsnio Baltijos šalių ir Taivano palyginimas atrodo sunkiai įmanomas dėl kultūrinių ir ekonominių skirtumų. Tačiau iš tiesų šios trys šalys turi daug daugiau bendro nei tik grėsmingas autoritarines kaimynes – Rusiją ir Kiniją. Pavyzdžiui, visos jos turėjusios neseną gyvenimo autoritariniuose režimuose patirtį ir į demokratiją perėjusios beveik tuo pačiu metu – su trečiąja demokratijos banga. Be to, visoms joms būdinga tapatybinė skirtis tarp vietos gyventojų ir imigrantų. Taip pat visų trijų šalių gyventojai turi rimtą problemą – kaimyninės šalies vykdomą stiprią propagandą, kuri veikia visuomenės nuotaikas ir valios ginti aspektu. Šie ir kiti bendrumai atveria puikią galimybę pasilyginti valios ginti šalį lygį su panašioje padėtyje esančiomis šalimis ir pažiūrėti, kiek universalūs yra Lietuvoje veikiantys veiksniai.
Šio straipsnio tikslas – įvertinti visuomenės nusiteikimo ginti savo šalį lygį ir jam įtaką darančius veiksnius Lietuvoje, Latvijoje ir Taivane, panaudojant inovatyvų kompleksišką valios ginti šalį matavimo būdą. Straipsnis sudarytas iš trijų dalių: pirmoje dalyje aptariami trijų nagrinėjamų šalių istoriniai, kultūriniai ir sociopolitiniai panašumai, antroje dalyje įvertinama trijų šalių gynybos politika ir visuomenės vaidmuo joje. Trečioji dalis skirta apklausos duomenų analizei. Joje pirmiausia pristatomi duomenys ir tyrimo autorių pasiūlytas inovatyvus valios ginti šalį matavimo įrankis, paskui aptariamas valios ginti šalį lygis pagal keturis rodiklius, galiausiai pateikiami regresinės analizės, tikrinančios valios ginti veiksnius, rezultatai.
Lietuva, Latvija ir Taivanas susiduria su unikaliomis geopolitinėmis problemomis santykiuose su didesnėmis kaimyninėmis galiomis – Baltijos valstybės su Rusija, o Taivanas su Kinija. Abiem atvejais šios problemos susijusios su sudėtinga istorine patirtimi ir didžiųjų galių bandymu daryti įtaką kaimyninių šalių visuomenėms.
Nors Taivanas, skirtingai nei Baltijos šalys, po Antrojo pasaulinio karo išlaikė de facto nepriklausomybę ir nepatyrė komunistinio režimo, šalis ilgą laiką gyveno autoritarinio režimo sąlygomis ir iki šiol patiria nemažą kultūrinę priklausomybę nuo Kinijos. Sala, kurioje iš pradžių gyveno čiabuviai, patyrė kelis kolonijinius laikotarpius: olandų (1624–1662), ispanų (1626–1642), Zheng šeimos valdymą (1662–1683), Čingų (Qing) dinastijos (1683–1895) ir japonų kolonijinį valdymą (1895–1945). Japonijai pralaimėjus Antrajame pasauliniame kare, Taivanas perėjo į Kinijos administracinę kontrolę. 1949 m., po Kinijos pilietinio karo, komunistų partija žemyninėje Kinijos dalyje įkūrė Kinijos Liaudies Respubliką, o Kinijos Respublikos vyriausybė pasitraukė į Taivaną11. Nuo to laiko iki 1987 m. Taivanas buvo valdomas Kuomintango partijos (KMT) ir jos lyderio Čiang Kaišeko (Chiang Kai-shek)12.
Autoritarinis Čiang Kaišeko režimas ne tik ėmėsi griežtos cenzūros, represijų prieš vienpartinio režimo priešininkus, bet ir vykdė prievartinę sinizacijos politiką, slopino nesmurtinį pasipriešinimą, pasireiškusį kaip taivaniečių vietinės kalbos, kultūros ir tradicijų išsaugojimas. Vienas iš Taivano sinizacijos pavyzdžių – 1966 m. Čiang Kaišeko inicijuotas Kinų kultūrinio renesanso judėjimas, kuris tapo atsaku į komunistinės Kinijos Kultūrinę revoliuciją ir propagavo tradicinių kinų vertybių bei „KMT tėvo“ Sun Jatseno (Sun Yat-sen) Trijų tautos principų išsaugojimą. Šią ideologiją aktyviai skleidė valstybės institucijos – švietimo sistema, žiniasklaida, kariuomenė ir pilietinės organizacijos, dažnai valdomos iš žemyninės Kinijos kilusio elito bei KMT narių13.
Svarbu paminėti, kad po Antrojo pasaulinio karo migracija stipriai paveikė Taivano demografinę sudėtį. Taivanas, po KMT pasitraukimo 1949 m. turėjęs priimti apie 2 milijonus žemyninės Kinijos gyventojų, susidūrė su panašiais etniniais iššūkiais kaip ir Lietuva bei Latvija, kurios patyrė rusakalbių imigrantų antplūdį iš kitų Sovietų Sąjungos respublikų. Nors apie 97 proc. Taivano gyventojų yra hanų kilmės kinai, šios bendruomenės viduje tvyro stipri kultūrinė ir politinė įtampa tarp „vietinių taivaniečių“ („hokkien“ ir „hakka“), sudarančių didžiąją dalį hanų kinų, ir iš žemyninės Kinijos atvykusių „wai sheng jen“, kurie po KMT įsitvirtinimo Taivane ilgą laiką dominavo valstybės institucijose ir politikoje14. Iki šiol ši tapatybinė skirtis išlieka svarbi – dalis gyventojų save laiko taivaniečiais, dalis kinais arba tapatinasi ir su kinais, ir su taivaniečiais.
Tiek Taivane, tiek Baltijos šalyse demokratizacija prasidėjo panašiu metu – XX a. devinto dešimtmečio pabaigoje. Tiesa, tai vyko gana skirtingais būdais – Baltijos valstybės atsiskyrė nuo SSRS, o Taivane prasidėjo laipsniški vidiniai pokyčiai. Čiang Kaišekui 1975 m. mirus, jo sūnus Dziang Dzinguo (Chiang Ching-kuo) tapo Kinijos Respublikos prezidentu (1978–1988) ir Taivane pradėjo politines bei socialines reformas. Savo kadencijos metu Dziang Dzinguo atsižvelgė į taivaniečių interesus ir skatino vietinį politinį dalyvavimą. Jis panaikino karo padėtį ir partijų draudimus kitoms politinėms organizacijoms, įskaitant opoziciją. 1986 m. buvo įkurta Demokratinė progresyvioji partija, kuri nutraukė 36 metus trukusią vienos partijos politiką. Nors partija buvo jauna, ji greitai įgijo piliečių palaikymą ir, 1990-aisiais surinkusi vietinių taivaniečių simpatijas, laimėjo prieš dominuojantį Kuomintangą. 2000 m. Demokratinės progresyviosios partijos prezidentinis kandidatas Čen Šuibianas (Chen Shui-bian) laimėjo rinkimus ir užbaigė KMT dominavimą Taivane15.
Panašios istorinės ir geopolitinės aplinkybės Baltijos šalyse ir Taivane suformavo ir panašią partinės konkurencijos logiką: tiek Baltijos šalyse, tiek Taivane pagrindinis politinis konfliktas sukasi aplink santykius su didžiosiomis kaimynėmis ir su tuo susijusiomis etninėmis-tapatybinėmis skirtimis. Latvijos politikoje ypač didelę reikšmę turi skirtis tarp etninių latvių ir rusakalbių16, Lietuvoje partinę konkurenciją vis dar stipriai veikia vadinamoji sovietinė–antisovietinė skirtis, iš dalies susijusi su geopolitinėmis nuostatomis17.
Taivano politikoje dominuoja dvi politinės partijos, aplink save subūrusios platesnes koalicijas: Kuomintangas, kuris sudaro vadinamosios „Mėlynosios koalicijos“ (angl. Pan-Blue coalition) pagrindą, ir Demokratinė progresyvioji partija – Žaliosios koalicijos (angl. Pan-Green coalition) lyderė. Šios dvi koalicijos turi skirtingą požiūrį į santykį su Kinijos Liaudies Respublika: Žalioji koalicija pasisako už Taivano nepriklausomybę nuo Kinijos, o Mėlynoji koalicija laikosi „vieningos Kinijos politikos“, tik ją interpretuoja kitaip nei Kinijos Liaudies Respublika – laiko, kad Kinijos Respublika, o ne Kinijos Liaudies Respublika yra legitimi Kinijos valdžia. Kuomintangas palaiko dvigubą (Taivano ir Kinijos) taivaniečių tapatybę ir pasisako už draugiškesnius santykius su Kinijos Liaudies Respublika. Be to, skiriasi šių dviejų Taivano politinių jėgų ir jų rinkėjų požiūris į gynybą: Žalioji koalicija siekia stiprinti gynybinius pajėgumus ir laiko, kad tai yra pagrindinis būdas atgrasyti Kiniją nuo invazijos, o Mėlynoji koalicija kritikuoja Demokratinę progresyviąją partiją, kad šios politika Kinijos Liaudies Respublikos atžvilgiu eskaluoja įtampą ir didina karo grėsmę. Tiesa, pastaruoju metu augant įtampai tarp Taivano ir Kinijos, pastebimas Žaliosios koalicijos atstovų retorikos Kinijos atžvilgiu švelnėjimas18.
Verta pažymėti, kad tiek Lietuva ir Latvija, tiek Taivanas patyrė autoritarinės ekonomikos transformacijas. Šaltojo karo metu Baltijos valstybės veikė pagal sovietinį planinės ekonomikos modelį, kai įmonės buvo valstybės visiškai kontroliuojamos. Tuo metu Taivanas išlaikė unikalią hibridinę sistemą – rinkos ekonomiką, stipriai vadovaujamą valstybės, – kuri XX a. septintajame–devintajame dešimtmetyje leido pasiekti veržlų ekonomikos augimą, žinomą kaip „Taivano stebuklas“. Žlugus Sovietų Sąjungai, dešimto dešimtmečio pradžioje Baltijos valstybės įgyvendino „šoko terapijos“ ekonomines reformas, kurios lėmė nemažą ekonomikos nuosmukį pirmąjį nepriklausomybės dešimtmetį ir paskatino sovietinės nostalgijos nuotaikas19. Taivanas pasirinko laipsniškesnį metodą, atidžiai valdydamas savo perėjimą kelis dešimtmečius ir išlaikydamas pirminį savo pramonės pajėgumą. Visgi „Taivano stebuklo“ laikotarpio atmintis, tikėtina, prisideda prie dalies visuomenės išlaikomos nostalgijos autoritariniam Kuomintango režimui20.
Būdamos mažosios valstybės, Lietuva, Latvija ir Taivanas savo gynybos strategiją visų pirma grindžia glaudžia sąveika su sąjungininkais: Baltijos šalys – su NATO šalimis, Taivanas – su JAV. Pastaruoju metu visos trys šalys deda pastangas šias partnerystes dar labiau stiprinti. 2023 m. Vilniuje vykusiame NATO viršūnių susitikime patvirtinti regioniniai gynybos planai, Lietuvos susitarimas su Vokietija dėl pastarosios kovinės brigados nuolatinio dislokavimo nuo 2027 m. yra konkretūs žingsniai ir pasiekimai šia kryptimi21. Savo ruožtu Taivanas, kiek leidžia galimybės, stiprina savo strateginę partnerystę su JAV – teikia didelius amerikietiškos ginkluotės ir technikos užsakymus, intensyvina bendradarbiavimą prekybos ir aukštųjų technologijų plėtojimo srityse22.
Greta to visos trys šalys stengiasi stiprinti savo pačių gynybinius pajėgumus. Per pastarąjį dešimtmetį jos gerokai padidino išlaidas gynybos reikmėms. Lietuva ir Latvija pradėjo didinti gynybos biudžetus nuo 2014 m., Rusijai aneksavus Krymą ir pradėjus karinius veiksmus Rytų Ukrainoje. Jų biudžetas tuo metu nesiekė net 1 proc. BVP, tačiau jau 2018–2019 m. laikotarpiu pakilo iki 2 proc., o Rusijai 2022 m. vasarį užpuolus Ukrainą, lėšos, skirtos gynybai, 2024 m. perkopė 3 proc. – Lietuvoje gynybos biudžetas siekė 3,2 proc. (2,4 mlrd. Eur), o Latvijoje – 3,2 proc. (1,3 mlrd. Eur)23. Tuo metu Taivanas nuo praeito amžiaus dešimtojo dešimtmečio pradžios palaipsniui mažino gynybos biudžetą, bet nuo 2019 m. pradėjo sparčiai jį didinti ir planuojama, kad 2025 m. jis sieks 2,45 proc. BVP (20,25 mlrd. dol.)24.
Išaugęs finansavimas leido valstybėms inicijuoti ambicingus projektus, siekiant sustiprinti karinius pajėgumus. Lietuva ir Latvija įsigijo modernių ginkluotės sistemų, karinės technikos: pėstininkų kovos mašinų, artilerijos, oro gynybos, aviacijos ir kt.25 Lietuva, greta jau minėtos vokiečių brigados projekto, inicijavo ambicingą divizijos vystymo programą, kuri pareikalaus rimtų pokyčių karinio personalo rengimo, karinės technikos (pvz., tankų pirkimas), karybos meno srityse26. Savo ruožtu Taivanas pastaraisiais metais vykdo labai ambicingą JAV ginkluotės pirkimo programą27. Greta to visos trys šalys per pastarąjį dešimtmetį skyrė daug dėmesio visuotinės gynybos sistemos kūrimui, siekdamos viena ar kita forma aktyvuoti platų visuomenės įsitraukimą į gynybos reikalus.
Istoriškai viena iš formų, įtraukianti platų visuomenės ratą į pasirengimą krašto gynybai, yra privalomoji karo tarnyba. Pasibaigus Šaltajam karui daugelis Vakarų valstybių atsisakė arba gerokai sumažino privalomosios karo tarnybos mastą. Lietuvoje privalomosios tarnybos buvo atsisakyta 2008 m., tačiau 2015 m., po Krymo okupacijos, ji vėl grąžinta, tik tarnybos laikas sutrumpintas nuo 12 iki 9 mėn., o šauktiniai kviečiami atsitiktinės atrankos būdu (per metus pakviečiama apie 3–3,5 tūkst. jaunuolių)28. Po Rusijos invazijos į Ukrainą šalyje suintensyvėjo diskusijos ir svarstymai apie tai, kad Lietuvai reikėtų pereiti prie visuotinės privalomosios karo tarnybos29. 2024 m. Seimas nubalsavo už tai, kad šaukimo sistema būtų esmingai pakoreguota – mažinama išimčių, į karo tarnybą įtraukiami studentai30.
Kaimyninė Latvija, kaip ir Lietuva, įstojusi į NATO, sustabdė šaukimą į privalomąją karo tarnybą ir iš naujo ją aktyvavo tik 202331. Svarbu pabrėžti, kad, priešingai nei Lietuvoje, 2014 m. įvykiai Ukrainoje nebuvo pakankamas veiksnys, paskatinęs Latviją sugrąžinti privalomąją tarnybą. Latvijos politikai ir kariškiai tuo metu argumentavo, jog finansiniai, logistiniai faktoriai ir nepalankus visuomenės požiūris atsvėrė visus pranašumus32. Tačiau Rusijos karinė agresija 2022 m. pakeitė latvių nuomonę ir po intensyvių diskusijų visuomenėje ir parlamente 2023 m. buvo priimtas sprendimas sugrąžinti privalomąją karo tarnybą (trukmė – 11 mėnesių). Kita vertus, skirtingai nei Lietuvoje, kviečiamųjų tarnauti skaičiai Latvijoje gana maži. Pirmu šaukimu tarnauti buvo pakviesti tik 254 kariai, o 2024 – beveik 500 karių33.
Taivanas, skirtingai nei Baltijos valstybės, visą laiką turėjo privalomąją karo tarnybą. Įvairiais laikotarpiais kito tarnybos trukmė, karių skaičiai. Ilgą laiką tarnybos trukmė buvo tik 4 mėn. ir ji buvo nelabai populiari tarp jaunuolių34. Tačiau didėjantis Kinijos agresyvumas, vidinė politinė dinamika pačiame Taivane ir Rusijos invazija į Ukrainą stumtelėjo Taipėjų link radikalių pokyčių. 2022 m. pabaigoje šalies prezidentė paskelbė, jog karo tarnybos trukmė nuo 2024 m. sausio bus ilginama nuo 4 iki 12 mėn.35 Svarbu akcentuoti, kad Taivano gynybos strategija esmingai priklauso nuo JAV įsipareigojimų ginti salą. O pastaruosius geriausiai galima apibūdinti kaip strateginį neapibrėžtumą, kai skirtingų prezidentų administracijos viešai teikia prieštaringus komentarus dėl Vašingtono pozicijos36. Tai verčia Taivano valdžią vis daugiau dėmesio skirti savo nacionalinių gynybinių pajėgumų stiprinimui.
Taip pat būtina pabrėžti, kad šis Taipėjaus sprendimas yra kur kas didesnio strateginio karinių pajėgų peržiūros plano dalis. 2022 m. gruodį tuometinė Taivano prezidentė Tsai Ing-wen paskelbė, kad ne tik ilginamas privalomosios karo tarnybos laikas, bet ir didinamas reguliariųjų pajėgų, rezervo skaičius bei stiprinama civilinės gynybos sistema. Kitais žodžiais tariant, Taivanas oficialiai inicijavo visuotinės gynybos programą. Kaip teigia taivaniečių tyrėjai, Rusijos invazija į Ukrainą paskatino ne vieną visuomeninę organizaciją suintensyvinti įvairias savigynos, gynybos, civilinės saugos ir pilietiškumo programas37, o vyriausybės paskelbtas pajėgų peržiūros planas suteikė visoms šioms pilietinėms iniciatyvoms institucinius ir teisinius rėmus.
Latvijoje apie visuotinę gynybą buvo kalbama ir pirmieji teisiniai dokumentai buvo parengti XX a. dešimto dešimtmečio viduryje, tačiau narystė NATO, įvairios tarptautinės misijos bei vidaus politikos dinamika nustūmė sprendimus į politines paraštes. Bet, kaip pažymi latvių tyrėjai, situacija pradėjo keistis 2017–2018 m. Tuo metu politikai pradėjo dažniau kalbėti apie visuotinę gynybą, akcentuoti visuomenės įsitraukimo į gynybos reikalus, ypač atsparumo informacinėms grėsmėms, svarbą38. Greitai ši idėja buvo įtvirtinta įvairiuose politiniuose dokumentuose ir, kiek leido finansinės galimybės, pradėta įgyvendinti, ypač švietimo srityje. 2023 m. atnaujintoje Valstybės gynybos koncepcijoje labai aiškiai teigiama, jog valstybingumas ir nepriklausomybė yra kolektyvinė visuomenės atsakomybė, įgyvendinama pasitelkiant visuotinės gynybos modelį39. Teigiama, kad norint įgyvendinti šį modelį būtinas valstybinio, nevyriausybinio sektorių, verslo ir pavienių aktyvių piliečių bendradarbiavimas. Jau minėtas privalomosios nuolatinės karo tarnybos sugrąžinimas yra vienas iš konkrečių naujos politikos įgyvendinimo rezultatų.
Lietuvoje, panašiai kaip Latvijoje, visuotinės gynybos idėja buvo įtvirtinta nuo 1990-ųjų, bet vėliau primiršta40. Tačiau 2014 m. įvykiai Ukrainoje paskatino rimčiau pažvelgti į šią gynybos idėją. Buvo ne tik sugrąžinta privalomoji karo tarnyba, bet ir sustiprinta Lietuvos šaulių sąjunga, 2022 m. patvirtinta Pilietinio pasipriešinimo strategija ir veiksmų planas, 2023 m. – valstybės gynybos planas41, buvo įkurtas Krizių valdymo centras, Nacionalinė visuotinės gynybos koordinavimo taryba, suformuota karinių komendantūrų sistema42. COVID-19 pandemija ir pasienio pabėgėlių krizė 2021 m. paskatino susikurti ar atsinaujinti nevyriausybines organizacijas, kurios 2022 m. aktyviai įsitraukė į pagalbos Ukrainai organizavimą ir, keldamos įvairias pilietines iniciatyvas, imasi stiprinti šalies gynybą43.
Karo teorijoje valia kovoti nuo seno laikoma vienu iš esminių išteklių, kartais net svarbesniu nei kariniai ar ekonominiai šalies pajėgumai44. Ukrainos gebėjimas atlaikyti Rusijos invaziją 2022 m. tik patvirtino šią teorinę įžvalgą. Tačiau problema yra ta, kad valią kovoti – ar tai būtų visos visuomenės, ar šalies politinio elito valia, ar karių moralė – sudėtinga išmatuoti45. Be to, tai dinamiškas išteklius, galintis greitai keistis priklausomai tiek nuo aplinkybių (pvz., patiriamų nuostolių, parterių paramos ir kt.46), tiek nuo įvairių psichologinių veiksnių, apie kuriuos iki šiol labai mažai žinoma.
Bene didžiausią įdirbį matuojant piliečių valią ginti šalį turi Šiaurės šalys – Švedija, Suomija, Norvegija47, nemažai su tuo dirba ir Taivano tyrėjai48, įvairių bandymų eksperimentuoti su tyrimo priemonėmis yra ir Baltijos šalyse49. Pasitelkę turimą metodologinę patirtį, trijų šalių tyrimui sukonstravome originalų metodologinį visuomenės valios ginti šalį matavimo įrankį50, kuris leidžia išmatuoti tiek bendrą visuomenės paramą besąlygiškam ginkluotam valstybės gynimui (šį lygmenį pavadinome bendrąja valia), tiek asmeninį pasiryžimą (jį pavadinome asmenine valia) prisidėti prie valstybės gynybos – arba nekonkretinant gynybos būdo, arba konkrečiai klausiant apie prisidėjimą ginklu ir prisidėjimą neginkluotais būdais.
Iš viso trijų šalių gyventojų apklausoje naudojome keturis valios kovoti už savo šalį rodiklius. Bendrajai valiai matuoti buvo naudotas klausimas: „Jeigu [Lietuvą / Latviją / Taivaną] užpultų kita šalis, ar mes turėtume priešintis ginklu nepriklausomai nuo to, kas užpuolė?“; asmeninei valiai matuoti buvo naudojamas kiek modifikuotas Pasaulio vertybių tyrimo klausimas: „Be abejo, mes visi tikimės, kad dar vieno karo nebus, bet, jei jis kiltų, ar jūs būtumėte pasiryžęs (-usi) ginti [Lietuvą / Latviją / Taivaną]?“; pasiryžimą ginti šalį ginklu matavome klausimu: „Jei [Lietuva / Latvija / Taivanas] būtų užpulta, kiek tikėtina, kad eitumėte ginti [Lietuvos / Latvijos / Taivano] ginklu?“, pasiryžimą prisidėti prie gynybos nekariniais būdais – „O kiek tikėtina, kad prisidėtumėte prie [Lietuvos / Latvijos / Taivano] gynybos kitais būdais, pavyzdžiui, dalyvaudami neginkluotame pilietiniame pasipriešinime?“ Atsakymai į visus keturis klausimus buvo matuojami pagal ranginę 4 balų skalę.
Šiuos ir kitus papildomus klausimus įtraukiančios reprezentatyvios visuomenės apklausos buvo atliktos visose trijose šalyse 2023 m. Latvijoje apklausa buvo atlikta birželio mėn. (N = 1035), Lietuvoje – spalį (N = 1001), Taivane – birželio mėn. (N = 1386). Lietuvoje ir Latvijoje buvo naudotos tiesioginės (angl. face-to-face) apklausos, o Taivane – internetinė apklausa, taikant kvotinę atranką51. Dėl kitokios atrankos ir pačios apklausos būdo Taivane jos rezultatus su apklausų Lietuvoje ir Latvijoje rezultatais reikia lyginti atsargiai.
Iš 1 pav. galime matyti visų keturių valios ginti šalį rodiklių rezultatus (procentais) trijose šalyse. Kadangi Taivano apklausoje respondentams nebuvo leidžiama rinktis atsakymo „nežinau“ arba praleisti klausimą (Lietuvoje ir Latvijoje tai buvo leidžiama), dėl geresnio palyginamumo visi procentai perskaičiuoti nuo atsakiusiųjų ir turinčiųjų nuomonę (Lietuvoje neatsakiusiųjų į šiuos klausimus buvo apie 1–2 proc., nežinančiųjų – 10–16 proc., priklausomai nuo klausimo, Latvijoje neatsakiusiųjų buvo apie 5 proc., nežinančiųjų – 6–10 proc.).

Duomenys rodo, kad visose trijose šalyse stipriausia yra bendroji valia, t. y. bendras pritarimas, kad šalį reikia ginti ginklu, nesvarbu, kas užpuolė – tam pritaria 83 proc. Lietuvos ir Latvijos gyventojų ir 88 proc. Taivano gyventojų. Asmeninis pasiryžimas prisidėti prie šalies gynybos visose trijose šalyse yra mažesnis nei bendroji valia. Tačiau verta pažymėti, kad asmeninės valios struktūra Baltijos šalyse ir Taivane skiriasi: Lietuvoje ir Latvijoje stipriausias yra gyventojų nusiteikimas prisidėti prie šalies gynybos neginkluoto pasipriešinimo priemonėmis (68 proc. Lietuvoje ir 71 proc. Latvijoje), o ginklu ginti šalį nusiteikusių gyventojų yra mažiau – apie 34 proc. Lietuvoje ir 37 proc. Latvijoje). O Taivane skirtis tarp ginkluoto ir neginkluoto kovos būdo neišryškėja: nusiteikusių ginti šalį ginklu Taivano piliečių yra beveik tiek pat (61 proc.), kiek ir žadančių prisidėti nekarinėmis priemonėmis (64 proc.). Tai gali būti susiję su kiek skirtinga karinės minties raida – panašu, jog Taivane taikaus pilietinio pasipriešinimo idėja mažiau išplėtota nei Baltijos šalyse. Bendrai imant Taivano rodikliai yra kiek geresni nei Latvijoje ir Lietuvoje, tačiau šiuos skirtumus reikėtų vertinti atsargiai – tiek dėl skirtingo apklausos būdo, tiek dėl galimų kultūrinių skirtumų, pavyzdžiui, galimo didesnio socialinio geidžiamumo šališkumo (angl. social desirability bias) kitose kultūrose.
Siekiant nustatyti ir palyginti valią ginti šalį veikiančius veiksnius trijose šalyse, iš prieš tai minėtų keturių valios ginti rodiklių buvo sukonstruotas bendras valios ginti indeksas, nes visi keturi rodikliai visose šalyse gana gerai koreliavo tarpusavyje52. Indeksas sudarytas išvedant vidurkį iš keturių ankstesniame poskyryje minėtų rodiklių ir apvertus skalę taip, kad didesnės indekso reikšmės reikštų stipresnę valią ginti šalį. Indeksas įgyja reikšmes nuo 1 iki 4.
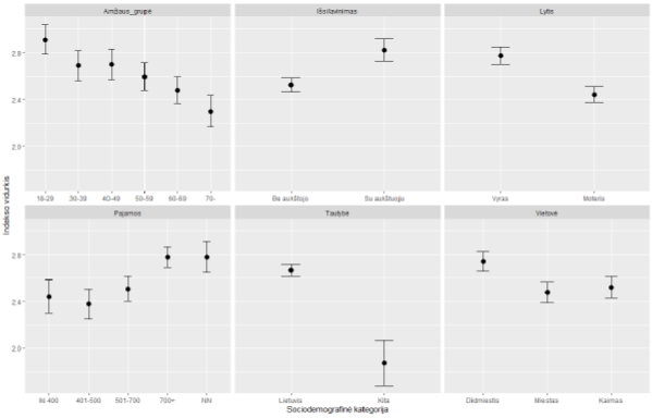
Pirmiausia apžvelgsime, kokios sociodemografinės kategorijos labiausiai diferencijuoja valios ginti šalį lygį trijose šalyse. Kaip matyti iš 2 pav., Lietuvoje statistiškai reikšmingi skirtumai matomi imant visus šešis pasirinktus sociodemografinius kintamuosius: amžių, išsilavinimą, lytį, pajamas, gyvenamąją vietą ir tautybę. Kaip ir ankstesnėse apklausose53, Lietuvoje labiau nusiteikę ginti šalį jauni žmonės, ypač savo potencialiu aktyvumu išsiskiria jauniausioji grupė, 18–29 m. Moterys mažiau likusios ginti šalį nei vyrai – tai taip pat įprastas rezultatas tiek Lietuvoje, tiek kitose šalyse54. Itin ryškus atotrūkis matomas pagal tautybę – lietuvių tautybės žmonės turi gerokai stipresnę valią ginti šalį nei kitų tautybių žmonės. Nedideli, tačiau statistiškai reikšmingi skirtumai matomi pagal pajamas ir gyvenamąją vietovę: ginti šalį labiau nusiteikę didesnes pajamas gaunantys žmonės, kurių pajamos vienam šeimos nariui viršija 700 eurų, ir tie, kurie negalėjo ar nenorėjo atsakyti į klausimą apie pajamas (grafike pažymėtai kaip NN kategorija), ir didmiesčių gyventojai.

Analizuojant Latvijos duomenis pasirinkti panašūs sociodemografiniai kintamieji, tačiau vietoj kaimo ir miesto skirties įdėtas konkretus Latvijos regionas, nes matyti, kad Latvijos regionai labai skiriasi pagal valios ginti lygį (ypač išsiskiria Latgala, kurioje gyvena daugiau rusakalbių gyventojų ir kuri istoriškai gerokai skiriasi nuo likusios Latvijos)55. Mūsų duomenys patvirtina tą pačią tendenciją – Latgaloje valios ginti lygis yra gerokai žemesnis nei kituose regionuose, o tvirčiausiu nusiteikimu ginti šalį pasižymi Žiemgalos regionas (žr. 3 pav.).

Kitų sociodemografinių kintamųjų poveikis iš esmės panašus kaip Lietuvoje, išskyrus amžių: nors vyriausieji žmonės mažiau linkę ginti šalį panašiai kaip Lietuvoje, tačiau Latvijoje ryšys su amžiumi nėra toks tiesinis kaip mūsų šalyje – Latvijoje, skirtingai nei Lietuvoje, jauniausioji karta nepasižymi tvirtesniu nusiteikimu ginti šalį. Tačiau Latvijoje matomas aiškesnis ryšys su pajamomis – didėjant pajamoms nusiteikimas ginti šalį laipsniškai didėja, o Lietuvoje statistiškai reikšmingai skiriasi tik didžiausių pajamų grupė. Verta atkreipti dėmesį į dar vieną skirtumą tarp Lietuvos ir Latvijos: nors tautybė abiejose šalyse yra reikšmingas veiksnys, Lietuvoje skirtumai tarp lietuvių ir nelietuvių gerokai didesni negu Latvijoje tarp latvių ir kitų tautybių žmonių.
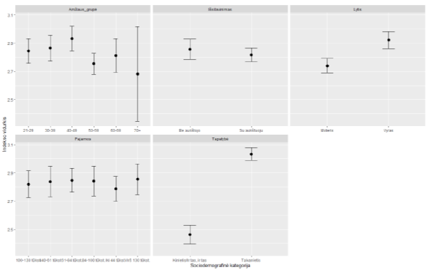
Analizuodami Taivano gyventojų apklausos duomenis, stengėmės parinkti panašias sociodemografines charakteristikas kaip Baltijos šalyse, tačiau dėl šalies specifikos yra kai kurių skirtumų. Visų pirma, Taivane neįprasta skirstyti gyventojų pagal gyvenamąją vietą nei teritoriniu principu, nei pagal gyvenvietės dydį (šalis užima beveik dvigubai mažesnį plotą nei Lietuva – apie 36 tūkst. kvadratinių km). Antra, tautybės kintamasis pakeistas tapatybės kintamuoju. Kaip buvo minėta pirmoje straipsnio dalyje, Taivane yra svarbi tapatybinė skirtis tarp tų, kurie save identifikuoja kaip taivaniečius, ir tų, kurie laiko save kinais arba turi dvigubą tapatybę (jaučiasi ir kinais, ir taivaniečiais). Ši skirtis tam tikra prasme atitinka etninės tapatybės Baltijos šalyse charakteristiką, ypač turint omenyje, kad didelė dalis save laikančiųjų kinais yra atvykę iš žemyninės Kinijos dalies 1949 m. (arba yra jų palikuonys), dažnai turi giminių Kinijos Liaudies Respublikoje, žiūri Kinijos televiziją ir pan. Kadangi apklausoje save identifikuojančių grynai kaip kinus buvo labai nedaug, ši kategorija buvo sujungta su dviguba tapatybe (ir tas, ir tas).
Kaip matyti iš 4 pav., būtent šis tapatybinis elementas ir yra svarbiausias veiksnys, paaiškinantis valios gintį šalį skirtumus Taivane – save identifikuojančių kaip taivaniečius valios ginti šalį indeksas yra daugiau nei puse balo (pagal 1–4 balų skalę) didesnis nei tų, kurie turi kinų ar dvigubą tapatybę. Statistiškai reikšmingą skirtumą galima matyti ir pagal lytį: vyrai labiau linkę ginti šalį nei moterys. Kiti sociodemografiniai kintamieji – amžius, išsilavinimas, pajamos – neturi statistiškai reikšmingos įtakos (kaip matyti iš 4 pav., jų pasikliautinieji intervalai iš dalies sutampa).

Apibendrindami pirminę analizę galime matyti, kad tarp visų trijų šalių egzistuoja istorinių ir geopolitinių aplinkybių nulemtas bendrumas – valią ginti šalį labiausiai veikia tautinė tapatybė. Antrasis visas šalis vienijantis veiksnys yra lytis. Šis veiksnys panašiai veikia daugumoje šalių (tačiau verta pasakyti, kad mūsų atveju visose trijose šalyse privalomoji karo tarnyba galioja tik vyrams; tai gali būti viena iš priežasčių, kodėl moterys mažiau linkusios ginti šalį nei vyrai). Įdomu, kad amžius veikia skirtingai: analizuojant vien Lietuvos duomenis buvo galima manyti, kad amžius, panašiai ir lytis, veikia žmonių supratimą apie savo galimybes ginti šalį (vyresnio amžiaus žmonės dėl sveikatos objektyviai turi mažiau galimybių stoti į realią kovą), tačiau trijų šalių analizė parodė, kad toks samprotavimas nėra teisingas, nes Latvijoje ir Taivane amžius nedaro statistiškai reikšmingos įtakos). Galiausiai, Taivano įtraukimas į analizę rodo, kad pajamos ir išsilavinimas taip pat nėra universalūs veiksniai – nors Baltijos šalyse didesnės pajamos ir aukštesnis išsilavinimas teigiamai veikia valią ginti šalį, Taivane šis dėsningumas negalioja. Tai skatina eiti giliau ir žiūrėti, kokios nuostatos gali paaiškinti Lietuvoje ir Latvijoje matomus skirtumus – galbūt aukštesnio išsilavinimo ir didesnių pajamų žmonės turi mažiau nostalgijos sovietinei praeičiai ir (ar) labiau pasitiki valdžia. Tolesnėje dalyje į analizę įtrauksime nuostatų kintamuosius ir pasitelksime regresinius modelius.
Šioje dalyje analizę papildysime trimis nuostatų kintamaisiais, kurie gali turėti įtakos valiai ginti šalį Baltijos šalyse ir Taivane: pasitikėjimas parlamentu, pasitenkinimas demokratija ir nostalgija autoritarinei praeičiai. Politinis pasitikėjimas (kurį šiuo atveju matavome kaip pasitikėjimą parlamentu) seniai žinomas kaip poveikį nusiteikimui ginti šalį turintis veiksnys įvairiose šalyse56. Pasitenkinimas demokratija ir autoritarinė nostalgija yra mūsų regionui būdingi veiksniai: 2017 m. Lietuvos gyventojų tyrime buvo nustatyta, kad jie turi gana didelę įtaką valiai ginti šalį Lietuvoje57, tad šiuo atveju galima patikrinti ne tik tai, ar šie veiksniai išlaiko įtaką Lietuvoje 2023 m., bet ir pažiūrėti, ar jie turi poveikio kitose šalyse, kurių panaši istorija ir geopolitinė padėtis.
Autoritarinę nostalgiją Lietuvoje ir Latvijoje matavome klausimu, kuris jau daug metų taikomas Lietuvoje politinių nuostatų ir rinkiminės elgsenos tyrimuose58: kiek respondentas sutinka ar nesutinka (pagal 5 balų Likerto skalę) su teiginiu, kad „Sovietmečiu buvo geriau gyventi negu dabar Lietuvoje / Latvijoje“. Taivano gyventojų apklausoje gyventojų analogiškai buvo klausiama apie gyvenimą autoritarinio Kuomintango režimo laiku. Pasitenkinimas demokratija buvo matuojamas pagal 0–10 balų skalę, kur 0 reiškia, kad respondentas yra labai nepatenkintas demokratijos veikimu, o 10 – labai patenkintas. Pasitikėjimas parlamentu buvo matuojamas pagal keturių rangų skalę, kuri naudojama Europos vertybių tyrime59: labai pasitikiu, pakankamai pasitikiu, ne itin pasitikiu, nė kiek nepasitikiu. Vėliau pirmosios dvi kategorijos buvo sujungtos į vieną, nes labai pasitikinčių parlamentu visose trijose šalyse buvo itin mažai.
Pirmoje lentelėje galime matyti tris įdėtinius (angl. nested) regresijos modelius, aiškinančius valios ginti lygį (kaip priklausomas kintamasis čia naudojamas valios ginti indeksas, pristatytas ankstesnėje dalyje): į pirmą modelį įdėti tik kontroliniai (sociodemografiniai) kintamieji, antrame modelyje prijungtas autoritarinės nostalgijos kintamasis, o trečiame modelyje sudėti visi kintamieji. Toks modeliavimas leidžia stebėti, kaip vienų kintamųjų įdėjimas veikia kitų iš dalies sutampančių kintamųjų koeficientus. Nuostatų kintamieji, išskyrus pasitenkinimą demokratija, įdėti kaip kategoriniai kintamieji, siekiant neprarasti trūkstamų reikšmių (t. y. respondentų, kurie nežinojo arba neatsakė į kurį nors klausimą).
|
|
1 modelis |
2 modelis |
3 modelis |
|---|---|---|---|
|
Konstanta |
3,05*** |
2,75*** |
2,76*** |
|
Amžius: 30–39 (ref. 18–29) |
–0,25** |
–0,24** |
–0,19* |
|
Amžius: 40–49 |
–0,12 |
–0,13 |
–0,06 |
|
Amžius: 50–59 |
–0,26** |
–0,24** |
–0,15 |
|
Amžius: 60–69 |
–0,32*** |
–0,27** |
–0,21* |
|
Amžius: 70+ |
–0,41*** |
–0,37*** |
–0,33*** |
|
Lytis: Moteris (ref. Vyras) |
–0,31*** |
–0,32*** |
–0,32*** |
|
Išsilavinimas: Su aukštuoju |
0,21*** |
0,05 |
0,03 |
|
Vietovė: Miestas (ref. Didmiestis) |
–0,27*** |
–0,23*** |
–0,19** |
|
Vietovė: Kaimas |
–0,17** |
–0,09 |
–0,08 |
|
Tautybė: Kita |
–0,85*** |
–0,72*** |
–0,63*** |
|
Pajamos: 401–500 |
–0,03 |
–0,06 |
–0,07 |
|
Pajamos: 501–700 |
0,04 |
–0,00 |
–0,04 |
|
Pajamos: 700+ |
0,16 |
0,10 |
0,06 |
|
Pajamos: Nežino, neatsakė |
0,18 |
0,16 |
0,14 |
|
Teigiamas sovietmečio vertinimas: Sutinku (ref. Visiškai sutinku) |
0,01 |
–0,05 |
|
|
Teigiamas sovietmečio vertinimas: |
0,14 |
0,05 |
|
|
Teigiamas sovietmečio vertinimas: Nesutinku |
0,47*** |
0,35** |
|
|
Teigiamas sovietmečio vertinimas: Visiškai nesutinku |
0,71*** |
0,52*** |
|
|
Teigiamas sovietmečio vertinimas: Nežino, neatsakė |
0,17 |
0,06 |
|
|
Pasitenkinimas demokratija |
0,05*** |
||
|
Pasitikėjimas parlamentu: |
–0,13 |
||
|
Pasitikėjimas parlamentu: |
–0,29*** |
||
|
Pasitikėjimas parlamentu: |
–0,35 |
||
|
N |
943 |
943 |
943 |
|
R2 / Koreguotasis R2 |
0,192 / 0,180 |
0,272 / 0,257 |
0,304 / 0,286 |
|
* p < 0,05; ** p < 0,01, *** p < 0,001. |
|||
Iš 1 lentelės matyti, kad beveik visi sociodemografiniai kintamieji išlaiko savo poveikį: tiek lytis, tiek amžius, tiek išsilavinimas, tiek gyvenamoji vieta turi panašų poveikį kaip ir 2 pav. pristatytoje analizėje, kur šie kintamieji buvo analizuojami atskirai (šiuo atveju matomas jų unikalus poveikis, kontroliuojant kitus kintamuosius), išskyrus pajamas, kurių poveikis nebėra statistiškai reikšmingas. Bendras modelis paaiškina 18 proc. valios ginti indekso sklaidos (koreguotasis R2 – 0,18).
Į antrą modelį papildomai įtraukus sovietinės nostalgijos kintamąjį, modelio aiškinamoji galia šokteli iki 26 proc. Tačiau galime matyti, kad tik dvi kategorijos – „nesutinku“ ir „visiškai nesutinku“ – turi statistiškai reikšmingą poveikį, palyginti su referentine kategorija „visiškai sutinku“. Verta atkreipti dėmesį į tai, kaip, įtraukus sovietinės nostalgijos kintamąjį, pakinta kiti koeficientai. Visų pirma matome, kad išnyksta aukštojo išsilavinimo poveikis. Tai reiškia, kad išsilavinę žmonės labiau linkę ginti šalį būtent dėl to, kad jie jaučia mažiau nostalgijos sovietinei praeičiai. Taip pat sumažėja kaimo kategorijos neigiamas poveikis (koeficientas tampa statistiškai nebereikšmingas) valiai ginti šalį: vadinasi, kaimo žmonės kiek mažiau linkę ginti šalį būtent dėl geresnio sovietmečio vertinimo (tai gali būti susiję su ne itin sėkminga kolūkių privatizacija). Tautybės poveikis šiek tiek sumažėja, tačiau lieka gana didelis ir statistiškai reikšmingas. Amžiaus grupių kintamasis išlaiko poveikį, nors galima matyti šiokį tokį dviejų vyriausių amžiaus grupių poveikio sumažėjimą (tai vėlgi leidžia spręsti, kad vyriausiems žmonėms būdinga kiek didesnė sovietinė nostalgija).
Į trečiąjį modelį įtraukus pasitenkinimą demokratija ir pasitikėjimą Seimu, modelio aiškinamoji galia šiek tiek pakyla – iki 29 proc. Abu kintamieji turi statistiškai reikšmingą įtaką. Tiesa, pasitikėjimo atveju valią ginti šalį neigiamai veikia tik trečioji kategorija – „visiškai nepasitikiu“ (palyginti su „pasitikiu“), o tarp „pasitikiu“ ir „ne itin pasitikiu“ statistiškai reikšmingo skirtumo nėra. Galime matyti, jog šių dviejų kintamųjų įtraukimas sumažino sovietmečio nostalgijos įtaką – to galima buvo tikėtis, nes autoritarinė nostalgija, kaip teigia ją analizuojantys teoretikai, yra nepasitenkinimo dabartimi atspindys – savotiška dabartinei politikai skirtos kritikos išraiškos forma60. Visgi abi prieš tai minėtos sovietmečio nostalgijos kategorijos išlaiko reikšmingą unikalų poveikį. Verta pažymėti, kad šių kintamųjų įtraukimas sumažina unikalų tautybės ir visų amžiaus grupių poveikį. Tai leidžia manyti, kad nelietuvių tautybės ir vyresnio amžiaus žmonės yra labiau nepatenkinti demokratija ir (arba) mažiau pasitiki parlamentu. Nepaisant to, tautybės ir amžiaus kintamieji vis dar lieka reikšmingi.
Analogiško modeliavimo su Latvijos gyventojų apklausos duomenimis rezultatus galime matyti 2 lentelėje. Pirmame modelyje, kuriame yra tik kontroliniai kintamieji, galime matyti panašų vaizdą į tą, kurį matėme 3 pav., kai sociodemografinius kintamuosius analizavome po vieną: didžiausią įtaką valiai ginti šalį turi lytis, tautybė ir regionas, nedidelę, bet statistiškai reikšmingą įtaką išlaiko išsilavinimas ir pajamos, o amžiaus grupės, kontroliuojant kitus veiksnius, tarpusavyje nesiskiria pagal valios ginti šalį lygį. Modelis paaiškina apie 19 proc. priklausomo kintamojo skaidos.
|
|
1 modelis |
2 modelis |
3 modelis |
|---|---|---|---|
|
Konstanta |
3,04*** |
2,63*** |
2,71*** |
|
Amžius: 30–39 (ref. 18–29) |
–0,03 |
0,00 |
0,04 |
|
Amžius: 40–49 |
0,08 |
0,14 |
0,19* |
|
Amžius: 50–59 |
0,10 |
0,19* |
0,23** |
|
Amžius: 60–69 |
–0,06 |
0,05 |
0,09 |
|
Amžius: 70+ |
–0,13 |
0,02 |
0,05 |
|
Lytis: Moteris (ref. Vyras) |
–0,33*** |
–0,32*** |
–0,33*** |
|
Išsilavinimas: Su aukštuoju |
0,14 * |
0,06 |
0,04 |
|
Tautybė: ne latvis |
–0,40*** |
–0,32*** |
–0,30*** |
|
Pajamos: 350–459 eur. |
–0,04 |
–0,06 |
–0,09 |
|
Pajamos: 460–599 eur. |
0,22* |
0,18 |
0,13 |
|
Pajamos: 600–799 eur. |
0,19* |
0,15 |
0,11 |
|
Pajamos: 800+ |
0,20* |
0,13 |
0,07 |
|
Pajamos: Nežino, neatsakė |
–0,02 |
–0,05 |
–0,05 |
|
Regionas: Pierīga (ref. Ryga) |
–0,26*** |
–0,26*** |
–0,24*** |
|
Regionas: Vidzeme |
–0,09 |
–0,06 |
–0,07 |
|
Regionas: Kurzeme |
–0,24** |
–0,22** |
–0,17* |
|
Regionas: Zemgale |
0,08 |
0,04 |
0,12 |
|
Regionas: Latgale |
–0,52*** |
–0,46*** |
–0,41*** |
|
Teigiamas sovietmečio vertinimas: Sutinku (ref. Visiškai sutinku) |
0,17 |
0,16 |
|
|
Teigiamas sovietmečio vertinimas: |
0,27** |
0,21* |
|
|
Teigiamas sovietmečio vertinimas: Nesutinku |
0,41*** |
0,31** |
|
|
Teigiamas sovietmečio vertinimas: Visiškai nesutinku |
0,61*** |
0,46*** |
|
|
Teigiamas sovietmečio vertinimas: Nežino, neatsakė |
0,44*** |
0,37*** |
|
|
Pasitenkinimas |
0,03* |
||
|
Pasitikėjimas parlamentu: |
–0,17** |
||
|
Pasitikėjimas parlamentu: |
–0,36*** |
||
|
Pasitikėjimas parlamentu: |
0,04 |
||
|
N |
891 |
891 |
891 |
|
R2 / Koreguotasis R2 |
0,207 / 0,191 |
0,247 / 0,227 |
0,287 / 0,264 |
|
* p < 0,05; ** p < 0,01 *** p<0,001. |
|||
Į antrą modelį įtraukus sovietmečio vertinimo kintamąjį, modelio aiškinamoji galia taip pat gerokai ūgteli (tiesa, ne tiek daug, kiek Lietuvos atveju) – iki 23 proc. Tačiau Latvijoje šis kintamasis veikia labai tiesiškai: kiekviena kategorija (išskyrus nežinančiuosius ir neatsakiusiuosius) nuosekliai keičia valios ginti šalį lygį maždaug per 0,2 balo, o bendras skirtumas tarp referentinės kategorijos („visiškai sutinku“) ir penktosios kategorijos – „visiškai nesutinku“ – sudaro 0,61 balo pagal 1–4 balų valios ginti šalį indekso skalę. Panašiai kaip ir Lietuvoje, įtraukus į modelį sovietinę nostalgiją, dingsta (tampa statistiškai nebereikšmingas) aukštojo išsilavinimo poveikis ir sumažėja tautybės įtaka. Statistiškai reikšmingą įtaką taip pat praranda pajamos. Tai vėlgi rodo šių kintamųjų dalinį sutapimą su sovietmečio nostalgija.
Galiausiai, įtraukus pasitenkinimą demokratija ir pasitikėjimą parlamentu, modelio aiškinamoji galia paauga iki 26 proc., abu kintamieji daro statistiškai reikšmingą poveikį valiai ginti šalį. Įtraukus šiuos kintamuosius, sovietmečio vertinimo įtaka vėlgi kiek sumažėja, bet neišnyksta. Taip pat šiek tiek sumažėja Latgalos ir Kuržemės poveikis – tai leidžia manyti, kad šiuose regionuose yra žemesnis pasitenkinimo demokratija ir (ar) pasitikėjimo parlamentu lygis. Verta pažymėti, kad kontroliuojant nuostatų kintamuosius, išryškėja teigiamas 50–59 m. amžiaus grupės poveikis valiai ginti šalį, palyginti su jauniausia – 18–29 m. amžiaus grupe. Tai reiškia, kad nors ši grupė vidutiniškai turi kiek daugiau nostalgijos praeičiai ir mažiau pasitikėjimo valdžia ar pasitenkinimo demokratija, kontroliuojant šiuos veiksnius, jų nusiteikimas ginti šalį yra didesnis negu jaunimo.
Galiausiai 3 lentelėje galime matyti analogiškus regresijos modelius, kokie buvo analizuojant Taivano gyventojų apklausos duomenis. Kaip ir Baltijos šalių atveju, pirmasis modelis, kuriame yra vien sociodemografiniai kintamieji, rodo panašias tendencijas kaip 4 pav.: įtakos valiai ginti šalį turi lytis ir tapatybė. Tiesa, čia dar galime matyti ir kai kurių amžiaus grupių (ypač 60–69 m. amžiaus) teigiamą įtaką, palyginti su jauniausia – 18–29 m. grupe. Bendras modelis paaiškina kiek mažiau valios ginti indekso sklaidos negu Lietuvos ir Latvijos atveju – apie 16 proc.
|
|
1 modelis |
2 modelis |
3 modelis |
|
Konstanta |
2,15*** |
2,01*** |
1,96*** |
|
Amžius: 30–39 (ref. 18–29) |
0,05 |
0,04 |
0,08 |
|
Amžius: 40–49 |
0,17* |
0,17** |
0,20*** |
|
Amžius: 50–-59 |
0,12 |
0,14* |
0,18** |
|
Amžius: 60–-69 |
0,20** |
0,24** |
0,25*** |
|
Amžius: 70+ |
0,09 |
0,09 |
0,20 |
|
Lytis: Moteris (ref. Vyras) |
0,23*** |
0,21*** |
0,25*** |
|
Išsilavinimas: Su aukštuoju |
0,00 |
–0,03 |
–0,02 |
|
Tapatybė: Taivanietis (ref: kita) |
0,63*** |
0,51*** |
0,32*** |
|
Pajamos: 44–61 tūkst. (ref. iki 44 tūkst). |
0,06 |
0,04 |
0,01 |
|
Pajamos: 61–84 tūkst. |
0,06 |
0,03 |
0,03 |
|
Pajamos: 84–100 tūkst. |
0,06 |
0,04 |
0,03 |
|
Pajamos: 100–130 tūkst. |
0,07 |
0,04 |
–0,02 |
|
Pajamos: daugiau kaip 130 tūkst. |
0,09 |
0,03 |
0,03 |
|
Teigiamas KMT vertinimas: Sutinku (ref. Visiškai sutinku) |
0,20** |
0,05 |
|
|
Teigiamas KMT vertinimas: |
0,24*** |
0,05 |
|
|
Teigiamas KMT vertinimas: Nesutinku |
0,29*** |
0,01 |
|
|
Teigiamas KMT vertinimas: |
0,56*** |
0,22*** |
|
|
Pasitenkinimas |
0,09*** |
||
|
Pasitikėjimas parlamentu: |
–0,18*** |
||
|
Pasitikėjimas parlamentu: |
–0,39*** |
||
|
N |
1368 |
1368 |
1368 |
|
R2 / Koreguotasis R2 |
0,163 / 0,155 |
0,206 / 0,196 |
0,338 / 0,328 |
|
* p < 0,05; ** p < 0,01; *** p < 0,001. |
|||
Į antrąjį modelį įtraukus nostalgiją Kuomintango autoritariniam režimui, modelio aiškinamoji galia padidėja iki 20 proc. Visos KMT vertinimo kategorijos statistiškai reikšmingai skiriasi nuo referentinės kategorijos (visiško sutikimo su teigiamu KMT vertinimu). Tiesa, vidurinės kategorijos tarpusavyje nelabai skiriasi, bet valios ginti šalį indekso skirtumas tarp kraštinių kategorijų – „visiškai sutinku“ ir „visiškai nesutinku“ – yra maždaug per 0,56 balo (pagal 1–4 balų skalę). Autoritarinės nostalgijos įtraukimas į modelį šiek tiek sumažina tapatybės veiksnio įtaką (vadinasi, šie veiksniai tarpusavyje susiję), o 50–59 ir 60–69 m. amžiaus grupių įtaką dar šiek tiek paryškina.
Į trečiąjį modelį įtraukus pasitenkinimo demokratija ir pasitikėjimo parlamentu kintamuosius, modelio aiškinamoji galia reikšmingai šokteli – iki 33 proc. Matyti, kad Taivane ypač stipriai veikia (gerokai stipriau nei Lietuvoje ir Latvijoje) pasitenkinimo demokratija veiksnys: pasitenkinimui padidėjus per 1 balą (pagal 0–10 balų skalę), valia ginti šalį sustiprėja per 0,09 balo, o tai reiškia, kad einant per visą skalę nuo žemiausios iki aukščiausios kategorijos, šis veiksnys vienas pats (t. y. kontroliuojant kitų veiksnių įtaką) padidina valią ginti šalį beveik per visą balą (pagal 1–4 balų skalę). Verta pažymėti, kad šių dviejų kintamųjų įtraukimas stipriai pakeičia autoritarinės nostalgijos kintamojo poveikį: jis tampa nereikšmingas visose kategorijose, išskyrus paskutinę – „visiškai nesutinku“ (lyginant su referentine kategorija – „visiškai sutinku“). Tai leidžia manyti, kad Taivane autoritarinė nostalgija yra geriausiai paaiškinama nepasitenkinimu dabartinės demokratinės sistemos veikimu. Taip pat galima matyti, kad pasitenkinimo demokratija ir pasitikėjimo parlamentu įtraukimas dar labiau sumažina tapatybės kintamojo koeficientą (vadinasi, taivanietišką tapatybę turintieji yra labiau patenkinti demokratija ir (arba) pasitiki parlamentu). O amžiaus įtaka (40–69 m. kategorijose, palyginti su jauniausia kategorija) dar labiau sustiprėja, panašiai kaip Latvijoje.
Apibendrinant šią dalį galima teigti, kad nuostatų kintamieji – autoritarinė nostalgija, pasitenkinimas demokratija ir pasitikėjimas parlamentu – visose trijose šalyse turi panašų poveikį: nostalgija mažina valią ginti šalį, o pasitenkinimas demokratija ir pasitikėjimas parlamentu ją didina, tačiau Taivane svarbiausias yra pasitenkinimo demokratija veiksnys, o Baltijos šalyse stiprią unikalią įtaką išlaiko sovietmečio nostalgija, net ir kontroliuojant kitus susijusius veiksnius.
Šiame straipsnyje buvo lyginamas trijų šalių – Lietuvos, Latvijos ir Taivano – gyventojų nusiteikimas ginti savo šalį. Tiek Lietuva ir Latvija, tiek Taivanas susiduria su panašiomis nacionalinio saugumo problemomis – visos trys šalys gyvena šalia už save gerokai didesnės autoritarinės kaimynės, keliančios rimtą grėsmę šių šalių nacionaliniam saugumui. Negana to, šios trys šalys turi reikšmingų istorinių ir sociopolitinių panašumų: visos jos demokratizavosi XX a. pabaigoje, turi nemažą gyventojų, tapatybiškai susijusių su didžiąja kaimyne, procentą, jų partinė konkurencija daugiausia sukasi aplink santykių su didžiąja kaimyne temą. Santykinai panašios ir šių šalių gynybos politikos tendencijos: visos trys šalys visų pirma kliaujasi sąjungininkais (atitinkamai NATO ir JAV), tačiau stiprina ir savo pačių gynybinius pajėgumus, įskaitant visos visuomenės įtraukimą į gynybą. Šios ir kitos straipsnyje aptartos paralelės suteikia pagrindą prasmingam šių trijų geografiškai nutolusių šalių lyginimui.
Visose trijose šalyse atliktos apklausos parodė, kad yra prasminga skirti bent jau du valios ginti šalį lygmenis – bendrąją valią, t. y. gyventojų nusiteikimą, kad šalį reikia ginti ginklu, ir asmeninę valią – asmeninį pasiryžimą prisidėti prie gynybos. Duomenys parodė, kad Lietuvoje ir Latvijoje valios ginti šalį lygmenų struktūra yra labai panaši: bendroji valia yra stipriausia, o asmeninė valia priklauso nuo to konkretaus prisidėjimo būdo – daugiau žmonių įsivaizduoja prisidėsiantys neginkluotais būdais negu ginklu. Taivane, skirtingai nuo Baltijos šalių, skirtis tarp ginkluotos ir neginkluotos gynybos neišryškėja.
Išanalizavę valiai ginti šalį įtaką darančius veiksnius, viena vertus, matome nemažai panašumų: greta lyties, kuri daugumoje pasaulio šalių yra svarbus valios ginti šalį veiksnys, visose mūsų nagrinėtose šalyse ypač didelę reikšmę turi tautinė tapatybė. Nors Taivane daugumą sudaro kinų kilmės gyventojai (čiabuvių ar kitų tautybių gyventojų procentas yra labai mažas), egzistuoja ryški skirtis tarp tų, kurie save laiko taivaniečiais, ir tų, kurie laiko save kinais arba ir taivaniečiais, ir kinais tuo pat metu. Ši tapatybė stipriai susijusi tiek su partinėmis preferencijomis, tiek su požiūriu į Kiniją, tiek su valios ginti šalį lygiu. Latvijoje ir Lietuvoje panašiai veikia etninė tapatybė, nes nemaža dalis ne titulinių tautų (atitinkamai lietuvių ir latvių) gyventojų yra imigrantai iš Sovietų Sąjungos laikų.
Visose trijose šalyse reikšmingas veiksnys yra nostalgija autoritarinei praeičiai, nepaisant to, kad Taivano atveju autoritarinis KMT režimas buvo Kinijos Liaudies Respublikos politinis priešininkas ir konkurentas. Reikėtų tolesnių tyrimų, kad galėtume tiksliau įvertinti, kodėl nostalgija vietiniam autoritariniam režimui daro įtaką valiai ginti šalį Taivane (pvz., ar tai susiję su palankumu autoritariniam režimui iš principo), tačiau turimi duomenys leidžia manyti, kad ši nostalgija Taivane yra nepasitenkinimo dabartiniu režimu išraiška, nes kontroliuojant pasitenkinimą demokratijos veikimu ir pasitikėjimą parlamentu, autoritarinės nostalgijos poveikio nebelieka. Panašiai nostalgija sovietmečiui veikia Lietuvoje ir Latvijoje (ji taip pat susijusi su pasitenkinimu demokratija ir pasitikėjimu parlamentu), tačiau Baltijos šalyse ji visgi išlaiko ir savo poveikį, atskirai nuo šių dviejų kintamųjų.
Bene įdomiausias skirtumas tarp nagrinėtų šalių yra nevienodas amžiaus poveikis. Šiuo atveju Lietuvos ir Latvijos trajektorijos išsiskiria – Latvija yra greičiau panašesnė į Taivaną nei į Lietuvą, nes tik Lietuvoje matome tvirtesnį negu kitų amžiaus grupių jauniausios amžiaus grupės nusiteikimą ginti šalį. O Latvijoje ir Taivane stipresnę valią gintis turi vidutinio ir vyresnio amžiaus gyventojai, ypač kontroliuojant nostalgiją ir požiūrį į dabartinį režimą. Galima sakyti, kad Taivano ir Latvijos duomenys labiau atitinka Ingleharto teoriją, kuri tikėtųsi didesnio būtent vyresnių kartų pasiryžimo ginti šalį. Taigi Lietuvos išskirtinumas dar labiau intriguoja. Galbūt šį išskirtinumą paaiškina pasauliniu mastu ypač aukštas Lietuvos jaunimo laimės lygis?61 O galbūt tai yra viešojoje erdvėje aktyviai veikiančių tarp jaunimo populiarių nuomonės formuotojų įtaka? Norint rasti atsakymus į šiuos klausimus, reikia tolesnių tyrimų.
Literatūra
Anderson, Christopher J., Anna Getmansky ir Sivan Hirsch-Hoefler. „Burden sharing: Income, Inequality and Willingness to Fight“. British Journal of Political Science 50, no. 1 (2020): 363–379. https://doi.org/10.1017/S0007123417000679.
Andžāns, M., I. Gajauskaite, I. Juurvee, A. Palkova, Y.-Y. Yeh ir M. Vargulis. Willingness to defend Own Country in the Baltic States: Implications for National Security and NATO’s Collective Defence. Rīga: Rīga Stradiņš University, 2021.
Andžāns, M. ir A. Sprūds. „Willingness to defend One’s Own Country and to resist in the Baltic States“. Security and Defence Quarterly 30(3) (2020): 15–30.
Andžāns, M. „Societal Perceptions in Transition from a Borderland to a Frontline: Latvia’s Latgale during the War in Ukraine“. European Foreign Affairs Review 29 (Spec. issue) (2024): 53–70. https://doi.org/10.54648/eerr2024021
Andžāns, Māris. „Multi-Ethnic Societies and Willingness to defend One’s Own Country: Russian-Speakers in the Baltic States“. Lithuanian Annual Strategic Review 19, no. 1 (2021).
Andžāns, Māris. The First Year of Conscription in Latvia, 2024 m. gegužės 20 d. Žiūrėta 2024 m. gruodžio 18 d. https://daviscenter.fas.harvard.edu/insights/first-year-conscription-latvia
Andžāns, Māris. „Latvia Poised to Summon Conscripts as Russian Menace Grows“. Center for European Policy Analysis (CEPA), 2023 m. vasario 8 d. Žiūrėta 2024 m. gruodžio 18 d. https://cepa.org/article/latvia-poised-to-return-to-conscription-as-russian-menace-grows/
Andžāns, Māris. „Latvia Applauds the Return to Conscription“. Center for European Policy Analysis (CEPA), 2023 m. liepos 13 d. Žiūrėta 2024 m. gruodžio 18 d. https://cepa.org/article/latvia-applauds-the-return-to-conscription/
Associated Press. „US approves $2 Billion in Arms Sales to Taiwan Including Advanced Missile Defense System“. CNN.com, 2024 m. spalio 28 d. Žiūrėta 2024 m. gruodžio 12 d. https://edition.cnn.com/2024/10/28/asia/us-arms-sales-taiwan-intl-hnk/index.html
Atmante, Kristine. „Comprehensive Defence in Latvia – rebranding State Defence and call for Society’s Involvement“. Journal on Baltic Security 6, no. 2 (2020): 31–45.
Bankauskaitė, Dalia ir Deividas Šlekys. „Lithuania’s Total Defense Review“. PRISM. Washington: Institute for National Strategic Security, National Defense University, 10, no. 2 (2003): 54–77.
Beniušis, Vaidotas. „Didžiausias pokytis nuo Šaltojo karo laikų: NATO patvirtino naujus gynybos nuo Rusijos planus“. 15min.lt, 2023 m. liepos 10 d. Žiūrėta 2024 m. gruodžio 12 d. https://www.15min.lt/naujiena/aktualu/lietuva/saltiniai-nato-patvirtino-naujus-planus-kaip-gintis-nuo-rusijos-56-2081250
Bērzin̦š, Janis. „Latvia: From Total Defense to Comprehensive Defense“. PRISM, Washington: Institute for National Strategic Security, National Defense University 10, no. 2 (2003): 39–53.
Bortkevičiūtė, Rasa. „‘Simply by collaborating’? The Impact of Public and Nongovernmental Sectors Collaboration Experience on Its Institutionalization in the Lithuanian Crisis Management System“. Journal of Contingencies and Crisis Management 32, no. 1 (2023): 1–13. https://doi.org/10.1111/1468-5973.12511
Bukkvoll, Tor ir Frank Brundtland Steder. „War and the Willingness to Resist and Fight in Ukraine“. Problems of Post-Communism 71, no. 3 (2024): 245–258. https://doi.org/10.1080/10758216.2023.2277767.
Bulvičius, V. Karinis valstybės rengimas. Vilnius: Lietuvių sąjunga „Tauta ir Tėvynė“, 2018 [1939].
Conscript lottery to take place next week at Latvian Defense Ministry, 2024 m. lapkričio 22 d. Žiūrėta 2024 m. gruodžio 18 d. https://eng.lsm.lv/article/society/defense/22.11.2024-conscript-lottery-to-take-place-next-week-at-latvian-defense-ministry.a577424/
Davison, Gary Marvin. A Short History of Taiwan: The Case for Independence. Westport, Conn: Praeger, 2003.
Dotson, John. Taiwan’s “Military Force Restructuring Plan” and the Extension of Conscripted Military Service, 2023 m. vasario 8 d. Žiūrėta 2024 m. gruodžio 18 d. https://globaltaiwan.org/2023/02/taiwan-military-force-restructuring-plan-and-the-extension-of-conscripted-military-service/
Eihmanis, Edgars. „11 Latvia–An Ever-Wider Gap: The Ethnic Divide in Latvian Party Politics“. European Party Politics in Times of Crisis (2019): 236–258.
ELTA. „Lietuva iš Vokietijos įsigis 44 „Leopard“ tankus“. delfi.lt, 2024 m. gruodžio 16 d., žiūrėta 2024 m. gruodžio 17 d. https://www.delfi.lt/news/daily/medijos-karas-propaganda/lietuva-is-vokietijos-isigis-44-leopard-tankus-120072663
Fu, Ronan, Nick Lin, Wei-Hao Huang ir Yao-Yuan Yeh. „Fight or Flight: Gauging Taiwanese Citizens’ Willingness to Defend through a Conjoint Experiment“. Manuscript submitted for publication, 2024.
Ghodsee, K. R. ir M. A. Orenstein, Taking Stock of Shock: Social Consequences of the 1989 Revolutions. Oxford University Press, 2021.
Häkkinen, Teemu ir Miina Kaarkoski. „Willingness to defend and Foreign Policy in Sweden and Finland from the Early Cold War Period to the 2010s“. Scandinavian Journal of History 49, no. 2 (2024): 266–285.
„Happiness of the Younger, the Older, and Those in Between“. World Happiness Report, March 20, 2024. https://doi.org/10.18724/whr-f1p2-qj33
Harris, Peter. „Deterring a Chinese Invasion of Taiwan: Upholding the status quo“. Defencepriorities.org, 2022 m. gegužės 16 d. Žiūrėta 2024 m. gruodžio 12 d. https://www.defensepriorities.org/explainers/deterring-a-chinese-invasion-of-taiwan-upholding-the-status-quo/
Hsiau, A-chin. Contemporary Taiwanese Cultural Nationalism. London: Routledge, 2006.
Inglehart, Ronald F., Bi Puranen ir Christian Welzel. „Declining Willingness to Fight for One’s Country: The Individual-Level Basis of the Long Peace“. Journal of Peace Research 52, no. 4 (2015): 418–434.
Jakobsen, Jo, Tor G. Jakobsen ir Eirin Rande Ekevold. „Democratic Peace and the Norms of the Public: A Multilevel Analysis of the Relationship between Regime Type and Citizens’ Bellicosity, 1981–2008“. Review of International Studies 42, no. 5 (2016): 968–991. https://doi.org/10.1017/S0260210516000097
Jastramskis, Mažvydas (red.). Ar galime prognozuoti Seimo rinkimus? Trijų kūnų problema Lietuvos politikoje. Vilniaus universiteto leidykla, 2018.
Jermalavičius, Tomas. „Reinstating Conscription in Lithuania: Bringing Society Back into Defence?“, Andris Sprūds, Māris Andžāns (sud.), kn. Security in the Baltic Sea Region: Realities and Prospects, 330–53. Riga: Latvian Institute of International Affairs, 2017.
Jokubauskas, V., J. Vaičenonis, V. Vareikis ir H. Vitkus. Valia priešintis: paramilitarizmas ir Lietuvos karinio saugumo problemos: mokslo monografija. Klaipėda: Druka, 2015.
Karo komendantūros. Žiūrėta 2024 m. gruodžio 18 d. https://kam.lt/duk_kategorijos/komendaturos-duk/
Latvėnaitė, Greta. Lietuvos valstybės ir nevyriausybinių organizacijų santykių kaita karo Ukrainoje kontekste. Bakalauro darbas, Vilniaus universitetas, 2024 m. Žiūrėta 2024 m. gruodžio 18 d. https://talpykla.elaba.lt/elaba-fedora/objects/elaba:210581610/datastreams/MAIN/content
Latvian Public Broadcasting. „Latvia gets Its First ‘Black Hawk’ Helicopters“. lsm.lt, 2022 m. gruodžio 12 d. Žiūrėta 2024 m. gruodžio 12 d. https://eng.lsm.lv/article/society/defense/latvia-gets-its-first-black-hawk-helicopters.a486551/
Lee, Yimou ir Ben Blanchard. „Taiwan Defence spend to Outpace GDP Growth as China Threat rises“. Reuters.com, 2024 m. rugpjūčio 22 d. Žiūrėta 2024 m. gruodžio 12 d. https://www.reuters.com/world/asia-pacific/taiwan-defence-spend-outpace-gdp-growth-china-threat-rises-2024-08-22/
Lietuvos Respublikos krašto apsaugos ministerija. „Į Lietuvą atvyko pirmieji Vokietijos brigados kariai“. kam.lt, 2024 m. balandžio 8 d. Žiūrėta 2024 m. gruodžio 12 d. https://kam.lt/i-lietuva-atvyko-pirmieji-vokietijos-brigados-kariai/;
Lietuvos Respublikos krašto apsaugos ministerija. Gynybos biudžetas. Žiūrėta 2024 m. gruodžio 12 d. https://kam.lt/faktai-ir-skaiciai/gynybos-biudzetas/
Lietuvos Respublikos krašto apsaugos ministerija. „Baigtą „Vilkų“ įsigijimą apžvelgęs A. Anušauskas: mūsų pėstininkų kovos mašinos – vienos geriausių NATO šalyse“. kam.lt, 2024 m. sausio 12 d. Žiūrėta 2024 m. gruodžio 12 d. https://kam.lt/baigta-vilku-isigijima-apzvelges-a-anusauskas-musu-pestininku-kovos-masinos-vienos-geriausiu-nato-salyse/
Lietuvos Respublikos krašto apsaugos ministerija. „Divizijos vystymas: struktūra ir svarbiausi įsigijimai, kuriems bus skiriama ne mažiau kaip 70 proc. modernizacijos biudžeto“. kam.lt, 2024 m. lapkričio 22 d. Žiūrėta 2024 m. gruodžio 12 d. https://kam.lt/divizijos-vystymas-struktura-ir-svarbiausi-isigijimai-kuriems-bus-skiriama-ne-maziau-kaip-70-proc-modernizacijos-biudzeto/
Lietuvos Respublikos Prezidentas. „Prezidentas: stipri NATO atgrasymo politika ir nacionaliniai gynybos pajėgumai – būtinybė“. prezidentas.lt, 2024 m. gruodžio 16 d. Žiūrėta 2024 m. gruodžio 17 d. https://lrp.lt/lt/naujienos/prezidentas-stipri-nato-atgrasymo-politika-ir-nacionaliniai-gynybos-pajegumai-butinybe/44101
Lietuvos Respublikos Vyriausybė. „Lietuvos Respublikos Vyriausybės ir Vokietijos Federacinės Respublikos Vyriausybės susitarimas dėl bendradarbiavimo gynybos srityje“, projektas Nr. 06, 2024 m. balandžio 20 d. Žiūrėta 2024 m. gruodžio 12 d. https://lrv.lt/media/viesa/saugykla/2024/5/nYZI_06-f58.pdf
Liu, Wen. „The Mundane Politics of War in Taiwan: Psychological Preparedness, Civil Defense, and Permanent War“. Security Dialogue 55, no.1 (2004): 103–122.
Li, Xiaobing. The History of Taiwan. Santa Barbara, CA: Greenwood Publishing Group, 2019.
McNerney, Michael J., Ben Connable, S. Rebecca Zimmerman, Natasha Lander, Marek N. Posard, Jasen J. Castillo, Dan Madden ir kt. „National Will to Fight: Why Some States keep Fighting and Others don’t“. RAND Corporation, 2018.
Ministry of Defence Republic of Latvia. Defence budget. Žiūrėta 2024 m. gruodžio 12 d. https://www.mod.gov.lv/sites/mod/files/document/Bud%C5%BEeta%20infografika%20(2025.%20gadam)%20ENG.jpg
Narkūnas, Vilius, LRT trumpai. Seimas priėmė šaukimo reformą – kas keičiasi ir ką žinoti?, 2024 m. birželio 26 d. Žiūrėta 2024 m. gruodžio 18 d. https://www.lrt.lt/naujienos/lietuvoje/2/2296561/lrt-trumpai-seimas-prieme-saukimo-reforma-kas-keiciasi-ir-ka-zinoti?srsltid=AfmBOorPDy1pzFx6pgz-Hw94Tg_QDl-PHo4zbbu2SVTYXsiKierafV1M
NKVC Situacijų valdymo centras užtikrins nuolatinę grėsmių šalies saugumui stebėseną, 2023 m. vasario 7 d. Žiūrėta 2024 m. gruodžio 18 d. https://lrv.lt/lt/naujienos/nkvc-situaciju-valdymo-centras-uztikrins-nuolatine-gresmiu-salies-saugumui-stebesena/
Nutarimas „Dėl Nacionalinės darbotvarkės „Lietuvos Respublikos piliečių rengimo pilietiniam pasipriešinimui strategija“ patvirtinimo“. Lietuvos Respublikos Seimas, 2022. https://e-seimas.lrs.lt/portal/legalAct/lt/TAD/98b7d3a0db3011ecb1b39d276e924a5d?jfwid=17tbsrqecz.
Office of the United States Trade Representative. „USTR Announces Entry into Force of First Agreement under U.S.-Taiwan Initiative on 21st Century Trade“. ustr.gov, 2024 m. gruodžio 9 d. Žiūrėta 2024 m. gruodžio 12 d. https://ustr.gov/about-us/policy-offices/press-office/press-releases/2024/december/ustr-announces-entry-force-first-agreement-under-us-taiwan-initiative-21st-century-trade
„Pan-Green Softens Tone as Pan-Blue’s Anti-War Narratives Gain Traction“. CommonWealth Magazine, 2025. https://english.cw.com.tw/article/article.action?id=3601
Persson, Thomas ir Sten Widmalm. „Upon Entering NATO: Explaining Defence Willingness among Swedes“. European Security 33, no. 4 (2024): 690–710. https://doi.org/10.1080/09662839.2023.2294078;
Piliečių rengimo pilietiniam pasipriešinimui strategija, 2022 m. gegužės 17 d. Žiūrėta 2024 m. gruožio 18 d. https://www.e-tar.lt/portal/ru/legalActPrint?documentId=12723dc0db3111ec8d9390588bf2de65
President Tsai announces military force realignment plan, 2022 m. gruodžio 27 d. Žiūrėta 2024 m. gruodžio 18 d. https://english.president.gov.tw/NEWS/6417
Prezidentas suformavo Nacionalinę visuotinės gynybos koordinavimo tarybą, 2023 m. lapkričio 24 d. Žiūrėta 2024 m. gruodžio 18 d. https://www.lrt.lt/naujienos/lietuvoje/2/2133981/prezidentas-suformavo-nacionaline-visuotines-gynybos-koordinavimo-taryba?srsltid=AfmBOorG5TwzdsZD0j5XS5fuxAA1TumTYK0Rmw7QiH9na2pcZKydNO6S
Ramonaitė, A., I. Petronytė-Urbonavičienė, P. Skirkevičius ir E. Vosylius. Kas eitų ginti Lietuvos? Pilietinio pasipriešinimo prielaidos ir galimybės. Vilnius: Aukso žuvys, 2018.
Ramonaitė, Ainė (red.). Kaip renkasi Lietuvos rinkėjai? Idėjos, interesai ir įvaizdžiai politikoje. Vilniaus universiteto leidykla, 2014.
Ramonaitė, Ainė. „Does Communist Nostalgia lead to COVID-19 Conspiracy Beliefs?“ European Societies 25, no. 3 (2023): 489–508. https://doi.org/10.1080/14616696.2022.2132525.
Ramonaitė, Ainė. „Mapping the Political Space in Lithuania: The Discrepancy between Party Elites and Party Supporters“. Journal of Baltic Studies 51, no. 4 (2020): 477–496. https://doi.org/10.1080/01629778.2020.1792521
Ramonaitė, Ainė. „Kaip matuoti piliečių valią ginti šalį? Metodologinės gairės“. Visuomenės atsparumas ir pilietinis pasipriešinimas: teoriniai ir praktiniai aspektai, 236–258. Vilnius: Lietuvos gyventojų genocido ir rezistencijos tyrimų centras, 2024.
Reznik, Oleksandr. „The Willingness of Ukrainians to Fight for Their Own Country on the Eve of the 2022 Russian Invasion“. Post-Soviet Affairs 39, no. 5 (2023): 329–346. https://doi.org/10.1080/1060586X.2023.2221592
Rich, Timothy. „Is Democracy the Only Game in Town in Taiwan“. The News Lens, 2023 06 21. https://international.thenewslens.com/article/186188
Rigger, Shelley. Why Taiwan Matters: Small Island, Global Powerhouse. Lanham: Rowman & Littlefield, 2014.
Rostoks, Toms ir Inta Mieriņa. „NATO’s Reassurance and the Willingness to defend One’s Country: Survey Evidence from Latvia“. European Security (2025): 1–21. https://doi.org/10.1080/09662839.2024.2434087.
Rutkauskas, Virgilijus. „Factors affecting Willingness to Fight for One’s Own Country: The Case of Baltic States“. Special Operations Journal 4, no. 1 (2018): 48–62. https://doi.org/10.1080/23296151.2018.1456286;
Shattuck, Thomas J. The Return to Strategic Ambiguity: Assessing Trump’s Taiwan’s Stance. Foreign Policy Research Institute, 2025 m. gegužės 7 d. Žiūrėta 2025 m. rugpjūčio 4 d. https://www.fpri.org/article/2025/05/the-return-to-strategic-ambiguity-assessing-trumps-taiwan-stance/
Sevastopulo, Demetri ir Kathrin Hille. „Taiwan considers Big US Defence purchases as Overture to Donald Trump“. The Financial Times, 2024 m. lapkričio 11 d. Žiūrėta 2024 m. gruodžio 12 d. https://www.ft.com/content/7b218d0f-31dc-4b74-b993-797388767b85
Spalio 1-ąją pradeda veikti Gynybos fondas, 2024 m. spalio 1 d. Žiūrėta 2024 m. gruodžio 18 d. https://kam.lt/spalio-1-aja-pradeda-veikti-gynybos-fondas/
Strateginės nuostatos. Lietuvos Respublikos krašto apsaugos ministerija, 2025, https://kam.lt/strategines-nuostatos/
Šemelis, Augustinas. „Lietuva pasirašė sutartį dėl HIMARS sistemų už beveik pusę milijardo JAV dolerių“. lrt.lt, 2022 m. gruodžio 16 d. Žiūrėta 2024 m. gruodžio 12 d. https://www.lrt.lt/naujienos/lietuvoje/2/1846447/lietuva-pasirase-sutarti-del-himars-sistemu-uz-beveik-puse-milijardo-jav-doleriu
Šlekys, Deividas. „Lithuanian Military Transformation and Changing Efficiency of Defence“. Irmina Matonytė, Giedrius Česnakas, Nortautas Statkus (sud.). Lithuania in The Global Context: National Security and Defence Policy Dilemmas, 307–325. Vilnius: Generolo Jono Žemaičio Lietuvos karo akademija, 2020.
Šlekys, Deividas. Mąslaus Vyčio beieškant: lietuviškos karinės minties raida ir būklė po Nepriklausomybės atkūrimo (1990–2014). Vilnius: Generolo Jono Žemaičio Lietuvos karo akademija, 2015.
The State Defence Concept, Riga 2023. Žiūrėta 2024 m. gruodžio 18 d. https://www.mod.gov.lv/sites/mod/files/document/The%20State%20Defence%20Concept%202023-2027.pdf
Strateginės nuostatos. Lietuvos Respublikos krašto apsaugos ministerija, 2025. https://kam.lt/strategines-nuostatos/
Taiwan – minority rights group. Žiūrėta rugpjūčio 5, 2025. https://minorityrights.org/country/taiwan/.
Torgler, Benno. „Why do People go to War?“ Defence and Peace Economics 14, no. 4 (2003): 261–280. https://doi.org/10.1080/10242690302929
Tseng, C. L., D. Y. Lai, W. C. Fu, ir W. C. Wu. „Lost in Words: Framing Effects on Measures of Willingness to Fight“. Paper presented at the WAPOR Conference, 29 July 2024.
TS-LKD pareiškimas dėl visuotinio šaukimo, 2022 m. liepos 15 d. Žiūrėta 2024 m. gruodžio 18 d. https://tsajunga.lt/wp-content/uploads/2022/07/TS-LKD-parei%C5%
A1kimas-d%C4%97l-visuotinio-%C5%A1aukimo_2022-07-15-1.pdf
Tso, Natalie. Taiwan’s Civilian Soldiers, Watching Ukraine, Worry They Aren’t Prepared to Defend Their Island, 2022 m. kovo 18 d. Žiūrėta 2024 m. gruodžio 18 d. https://time.com/6158550/taiwan-military-china-ukraine/
Valstybės gynybos planas, 2023 m. lapkričio 7 d. Žiūrėta 2024 m. gruodžio 18 d. https://lrp.lt/data/public/uploads/2023/11/valstybes_gynybos_planas.pdf
Velikonja, Mitja. „Lost in Transition. Nostalgia for Socialism in Post-Socialist Countries“. East European Politics and Societies 23, no. 04 (2009): 535–551. https://doi.org/10.1177/088832540934514
Visuotinės karo prievolės galimybių vertinimo studija, Krašto apsaugos ministerija, 2021 m. Žiūrėta 2024 m. gruodžio 18 d. https://kam.lt/wp-content/uploads/2022/01/visuotinio-saukimo-studija.pdf
Von Clausewitz, C. On War (Vol. 1). The Floating Press, 2010 [1932].
Wang, Austin Horng-En ir Nadia Eldemerdash. „National Identity, Willingness to Fight, and Collective Action“. Journal of Peace Research 60, no. 5 (2023): 745–759. https://doi.org/10.1177/002234332210990
Wei-han, Chen. „Reporter’s Notebook: Looking for the Cause of Chiang Ching-kuo Nostalgia“. Taipei Times, 2018 02 20. https://www.taipeitimes.com/News/taiwan/archives/2018/01/20/2003686102.
Yeh, Yao-Yuan ir Charles KS Wu. „When War hits Home: Taiwanese Public Support for War of Necessity“. International Relations of the Asia-Pacific 21, no. 2 (2021): 265–293.