Politologija ISSN 1392-1681 eISSN 2424-6034
2020/3, vol. 99, pp. 93–128 DOI: https://doi.org/10.15388/Polit.2020.99.4
Konstitucijų keitimo poveikis demokratijos kokybei Lotynų Amerikoje*
Orestas Strauka
Vilniaus universiteto Tarptautinių santykių ir politikos mokslų instituto
bakalauro programos absolventas
El. paštas: strauka.orestas@gmail.com
Santrauka. Straipsnyje siekiama įvertinti, ar konstitucijų keitimas turi poveikį demokratijos kokybei Lotynų Amerikoje, o jei taip – kokį. Tyrimas atliekamas taikant kokybinės lyginamosios neraiškių aibių analizės metodą, o kokybiškos demokratijos priežastys yra analizuojamos 18-oje Lotynų Amerikos valstybių. Atlikus kokybinę lyginamąją neraiškių aibių analizę gauti rezultatai atskleidžia, kad konstitucijų keitimas nėra nei būtina, nei pakankama kokybiškos demokratijos sąlyga. Priešingai – vienas iš teoriškai paprasčiausių kokybiškos demokratijos sprendinių susideda iš aukšto visuomenės išsilavinimo lygio ir konstitucijos nekeitimo sąlygų. Atlikus nekokybiškos demokratijos priežasčių analizę paaiškėjo, kad konstitucijos keitimo sąlyga yra konjunktūrinė nekokybiškos demokratijos priežastis. Institucinės sąrangos perkūrimas, sąveikaudamas su didele pajamų nelygybe, žemu visuomenės išsilavinimo lygiu, neinstitucionalizuota partine sistema arba heterogeniška visuomene, paaiškina prastos kokybės demokratinius režimus regione.
Reikšminiai žodžiai: konstitucijų keitimas, Lotynų Amerika, demokratijos kokybė, kokybinė lyginamoji neraiškių aibių analizė, naujasis konstitucionalizmas.
The Impact of Constitutional Replacements on the Quality of Democracy in Latin America
Abstract. This article evaluates whether and how constitutional replacements influence the quality of democracy in Latin America. The fuzzy-set qualitative comparative analysis method is applied while analysing 18 countries. The results reveal that constitutional replacements are neither sufficient nor necessary condition for improving the quality of democracy in the region. On the contrary, the parsimonious solution shows that quality of democracy can be explained either by high levels of education and inversion of constitutional replacements or institutionalised party system, non-homogeneous society and inversion of constitutional replacements. Analysis of poor quality democratic regimes showed that constitutional replacements, together with high-income inequality, deinstitutionalised party system and non-homogenous society or high-income inequality, low educational attainment level and non-homogenous society, form sufficient conditions for the poor quality of democracy in Latin America.
Keywords: constitutional replacements, Latin America, quality of democracy, fuzzy-set qualitative comparative analysis, new constitutionalism.
Received: 29/07/2020. Accepted: 05/10/2020
Copyright © 2020 Orestas Strauka. Published by Vilnius University Press.
This is an Open Access article distributed under the terms of the Creative Commons Attribution License, which permits unrestricted use, distribution, and reproduction in any medium, provided the original author and source are credited.
Įvadas
XX a. pabaigoje didžioji dalis Lotynų Amerikos valstybių tapo demokratijomis. Visgi šių šalių politiniai režimai atitiko tik minimalius procedūrinės demokratijos kriterijus. Institucinės bei struktūrinės sąlygos regione ribojo sėkmingą kokybiškos demokratijos įsitvirtinimą. Devynios Lotynų Amerikos valstybės, siekdamos atliepti šiuos sunkumus, priėmė naujas konstitucijas. Šis konstitucinės inžinerijos laikotarpis yra laikomas naujuoju konstitucionalizmu1.
Vis dėlto demokratijos kokybės ir konstitucijos keitimo tarpusavio priklausomybė vertinama nevienareikšmiškai. Nesutarimo dėl konstitucijos keitimo poveikio režimo kokybei ištakas galima aptikti Jungtinių Amerikos Valstijų įkūrėjų, vadinamųjų Tėvų steigėjų – J. Madisono ir T. Jeffersono – diskusijose klausimu, ar ir kiek dažnai turėtų būti keičiama konstitucija. J. Madisono teigimu, sudarius sąlygas dažnai keisti pagrindinį šalies įstatymą, susiduriama su manipuliavimo įstatymu ir demagogų iškilimo galimybe2. Atitinkamai konstitucijos nekintamumas turėtų būti gerbiamas. Priešingai, T. Jeffersonas argumentuoja, kad teisė ir įstatymas turi vystytis lygia greta su žmogaus protu, o pagrindinis šalies įstatymas turėtų keistis kas du dešimtmečius3.
Galima skirti dvi akademikų, diskutuojančių ta pačia kaip ir JAV įkūrėjai tema, stovyklas – institucionalistus ir pliuralistus. Nors jų atstovai sutaria dėl konstitucijos svarbos, skirtingai vertina konstitucijos keitimo poveikį režimo kokybei. Institucionalistų teigimu, konstitucija ir jos nekintamumas lemia politinio režimo gerovę. Remiantis D. C. Northu, konstitucija yra vienas iš esminių politinio gyvenimo eigą apibrėžiančių taisyklių rinkinių, kuris nustato politinio žaidimo taisykles ir riboja destruktyvų veikėjų tarpusavio elgesį4. W. H. Rikkeris taip pat rašo, kad tinkamai suręstos konstitucijos užkerta kelią populizmui ir užtikrina demokratijos stabilumą5. Autorius remiasi socialinio pasirinkimo teorija6 ir teigia, jog siekiant, kad rinkimų taisyklės bei rezultatai būtų gerbiami, konstitucijose turi būti įtvirtinti nekintami apribojimai, užkertantys kelią populistinėms jėgoms perkurti rinkimų taisykles7. Institucionalistų įžvalgas papildo ir C. Offe’ė, kurio teigimu, institucijos atlieka koordinacinę funkciją visuomenėje – jų stabilumas padeda išspręsti kolektyvinio veiksmo dilemą8. Priešingai – nestabili konstitucija sukuria informacijos asimetriją9 ir didina transakcinius kaštus10. Institucionalistų poziciją geriausiai perteikia C. Offe’ės siūlomas institucijų apibrėžimas oksimoronu – nors jos egzistuoja, savo funkcijos atlikti negali.
Alternatyvų požiūrį pateikia pliuralistai. R. Dahlis, šios stovyklos klasikas, knygoje A preface to democratic theory teigia, jog konstitucijos nekintamumas, nors formaliai ir sukuria politinių organizacijų formą bei determinuoja, kurios politinės grupės turės pranašumą politinėje arenoje, nėra būtina demokratijos stabilumo sąlyga11. Piliečių galimybė dalyvauti politikoje ir dalyvavimą įgalinančios formos yra esminis demokratijos kokybę užtikrinantis veiksnys12. Todėl R. Dahliui konstitucija turi užtikrinti pamatinių laisvių ir teisių nekintamumą, tačiau visa, kas slypi už šių pamatinių normų, gali kisti. Galima išskirti ir kitus akademikus, savo darbuose teigiančius, kad konstitucijos keitimas prisideda prie demokratijos kokybės.
Pavyzdžiui, M. Zürnas13 ir J. Habermasas14 konstitucijos stabilumą analizuoja globalizacijos ir postnacionalinės valstybės formavimosi kontekste. Jų teigimu, siekiant atliepti XX a. pabaigoje prasidėjusius globalaus masto politinius, socialinius, kultūrinius ir ekonominius pokyčius, galima pakeisti šalies pagrindinį įstatymą, taip užtikrinant politinio režimo gerovę. Remiantis N. Walkeriu, pagrindinis šalies įstatymas nėra vertybiškai neutralus, todėl konstitucijos tekstas – tai tam tikros grupės išpažįstamos ideologijos arba subjektyvaus požiūrio į pasaulį rezultatas15. Tokia konstitucija ne visada atsižvelgia į visuomenės heterogeniškumą ir įtraukia visas grupes į politinį šalies gyvenimą. Todėl siekis keičiant konstituciją atliepti šias problemas prisidėtų prie demokratijos kokybės gerinimo16. Šios tradicinio konstitucionalizmo alternatyvos svarsto apie galimybę keičiant pagrindinį šalies įstatymą atliepti besikeičiantį socialinį, ekonominį bei politinį kontekstą.
Išsiskiriančios pozicijos pastebimos ir tarp autorių, analizuojančių Lotynų Amerikos regioną. Vieni pabrėžia, kad naujojo konstitucionalizmo bruožus atitinkančios konstitucijos atveria galimybes piliečiams aktyviau įsitraukti į politikos formavimo procesus, suteikia plačias socialines teises ir į politinį gyvenimą įtraukia anksčiau išskirtas visuomenės grupes17. Kiti naujų konstitucijų turinį apibūdina kaip populistinį18 ir orientuotą į asmeninių prezidento tikslų įgyvendinimą19. O tai galiausiai prisideda prie prezidento galių plėtimosi20. Apibendrinant – akademinėje literatūroje nėra sutariama dėl pagrindinio šalies įstatymo keitimo poveikio demokratijos kokybei. Tai atskleidžia ir empirinių tyrimų, analizuojančių konstitucijų keitimo poveikį demokratijos kokybei Lotynų Amerikoje, trūkumas21. Dažniausiai tokie tyrimai yra orientuoti į vieno arba kelių atvejų apžvalgą.
Minėtos diskusijos kontekste šio straipsnio tikslas yra atsakyti į klausimą, ar konstitucijų keitimas Lotynų Amerikoje sąlygoja kokybiškesnį demokratinį režimą. Kitaip tariant, nors ir yra sutariama, kad demokratijos kokybę apibrėžia tam tikra pradinių sąlygų kombinacija, visgi nėra ištirta, ar konstitucijos keitimas yra šios kombinacijos dalis. Siekiant įgyvendinti šį tikslą, išsikeliami du uždaviniai:
1) ištirti, ar pavienė konstitucijos keitimo sąlyga arba sąlygų konfigūracija, kurios dalis yra konstitucijos keitimas, yra būtina ir (arba) pakankama kokybiškos demokratijos sąlyga;
2) ištirti, ar konstitucijų keitimas gali būti nekokybiško politinio režimo priežastis.
Uždaviniai sprendžiami pasitelkus kokybinės lyginamosios neraiškių aibių analizės (angl. Fuzzy-set qualitative comparative analysis) metodą. Ši prieiga atveria galimybę įvertinti kokybiškos ir nekokybiškos demokratijos priežastines sąlygas ir (arba) jų kombinacijas. Straipsnį sudaro keturios dalys. Pirmoje yra pateikiamas kokybiškos demokratijos priežastinių sąlygų modelis, konceptualizuojami kintamieji ir formuluojamos tyrimo hipotezės. Antroje dalyje operacionalizuojami kintamieji ir pateikiamos kiekybinių duomenų priklausymo neraiškioms aibėms reikšmės (dėl ribotos straipsnio apimties detalus kintamųjų transformavimas yra pateikiamas 1 priede). Trečiojoje dalyje pateikiami kokybiškos bei nekokybiškos demokratijos priežasčių analizės rezultatai ir tikrinamos hipotezės. Paskutinė tyrimo dalis yra skirta išvadoms, jų ribotumams ir tolimesnėms tyrimų rekomendacijoms apžvelgti.
1. Kokybiškos demokratijos priežastinių sąlygų teorinis modelis
Šiuolaikinių demokratizacijos tyrimų atspirties taškas yra demokratijos konsolidacijos kritika. Pabrėžiama, kad konsoliduota demokratija neįvertina kokybinių skirtumų tarp politinių režimų22. Todėl, atsižvelgiant į šiuolaikines demokratizacijos tyrimų tendencijas, šiame tyrime yra taikomas platesnis ir kompleksiškesnis priklausomas kintamasis – demokratijos kokybė23.
Akademinėje literatūroje yra skiriama keletas demokratijos įsitvirtinimo aiškinimų. Šiame straipsnyje kokybiškos demokratijos priežastinių sąlygų modelis yra sudaromas remiantis J. Högströmo pateikta kokybiškos demokratijos priežasčių struktūra. Šis modelis pirmiausia apima dvi lygiavertes24 kokybišką demokratiją aiškinančias prieigas – institucinę ir struktūrinę25. Modelis remiasi politinio režimo veikmės principu (angl. political performance), nurodančiu patį bendriausią kokybiškos demokratijos apibrėžimą – veikiančio režimo efektyvumą. J. Högströmo modelį sudaro: 1) socioekonominių; 2) plotinių ir institucinių; 3) sociokultūrinių kintamųjų grupės26. Šių kintamųjų lygiavertiškumas ir sąveika sudaro sąlygas įvertinti demokratijos kokybės priežastis neišskiriant vienos priežasčių grupės27. Atsižvelgiant į šio darbo tikslą J. Högströmo modelis yra papildomas konstitucijų keitimo sąlyga.
Šiame straipsnyje yra analizuojamas laikotarpis nuo 1988 m. (naujojo konstitucionalizmo laikotarpio pradžia) iki 2018 m. (remiantis duomenų prieinamumu). Iš viso ištirti 18 atvejų, iš jų devynios Lotynų Amerikos valstybės, kurios analizuojamu laikotarpiu pakeitė konstitucijas, ir devyni kontroliniai atvejai (Lotynų Amerikos šalys, kurios analizuojamu laikotarpiu konstitucijos nekeitė). Toliau yra apibrėžiami ir operacionalizuojami tyrime taikyti kintamieji.
Konstitucijų keitimas, atitinkantis naujojo konstitucionalizmo laikotarpio bruožus ir lūkesčius patobulinti demokratiją, yra dichotominis kintamasis, kuris konceptualizuojamas kaip naujas dokumentas. Yra išskiriami keturi pagrindiniai naujų konstitucijų bruožai: 1) užtikrinamos ir išplečiamos žmogaus teisės bei laisvės28. Sustiprinama teisminė valdžia, tikintis, kad ji užtikrins konstitucijoje įtvirtintų teisių įgyvendinimą29; 2) diegiamos dalyvavimą politikoje skatinančios iniciatyvos30; 3) užtikrinama efektyvesnė tarpinstitucinė bei rinkiminė atskaitomybė31; 4) į politinį gyvenimą įtraukiami anksčiau išskirti visuomenės sluoksniai32.
Konstitucinės teisės teoretikai klasifikuoja konstitucijų kaitą pagal jų keitimo būdą – skiriamos reguliari ir nereguliari kaita33. Pirmoji apima konstitucijos pataisas ir Konstitucinio Teismo jurisprudenciją34. Taigi konstitucijos keitimas yra atliekamas remiantis joje įtvirtintomis dokumento keitimo nuostatomis. Nereguliari konstitucijų kaita įvyksta, kai politinių jėgų pastangomis pagrindinis šalies įstatymo galiojimas yra suspenduojamas ir yra priimamas naujas dokumentas35. Ši skirtis tarp reguliaraus ir nereguliaraus konstitucijų keitimo yra aktuali ir Lotynų Amerikos regionui. Nuo XX a. aštunto dešimtmečio visos regiono valstybės pakeitė savo konstitucijas – arba priėmė naują dokumentą, arba patvirtino esmines konstitucines pataisas36. Konstitucijų kaitą Lotynų Amerikoje plačiau apžvelgia G. L. Negreto37. Anot jo, nereguliari konstitucijų kaita yra išskirtinis regiono bruožas: dažniau yra priimama nauja konstitucija, nei patvirtinamos konstitucinės pataisos. Pavyzdžiui, vidutinė konstitucijos gyvavimo trukmė Lotynų Amerikoje yra 27 metai, o Europoje pagrindiniai šalies įstatymai gyvuoja daugiau nei 76 metus38.
Atitinkamai konstitucijos keitimo sąlyga yra operacionalizuojama į 1, o valstybėms, kuriose minėtu laikotarpiu konstitucijos kaita neįvyko, priskiriama reikšmė 0. Dokumentų keitimo duomenys surinkti iš Comparative Constitutions project39 ir Georgetowno universiteto Political database of Latin America40 duomenų bazių. Svarbu atkreipti dėmesį į tai, kad analizuojamu laikotarpiu Ekvadoras (1998 m. ir 2008 m.) ir Dominikos Respublika (1994 m., 2002 m., 2010 m. ir 2015 m.) kelis kartus visiškai pakeitė savo konstitucijas. Visgi analizuojamos bus tik Ekvadoro 2008 m. ir Dominikos Respublikos 2010 m. konstitucijos. Toks pasirinkimas yra paremtas tarp akademikų vyraujančiu sutarimu, kad būtent šios konstitucijos atitinka naujojo konstitucionalizmo laikotarpio bruožus41, 42, ir papildomai įgytomis žiniomis apie atvejus43.
Pajamų nelygybė neigiamai veikia demokratijos kokybiškėjimą44. Dalis akademikų, analizuojančių demokratijos kokybę, išskiria nelygybę šalies viduje kaip tikslesnę sąlygą, paaiškinančią demokratijos kokybę45. Pavyzdžiui, C. Houle’o teigimu, esant didelei pajamų nelygybei demokratija yra mažiau kokybiška46. Šį autorių papildo D. Acemoglu ir J. A. Robinsonas, anot kurių, esant didelei pajamų nelygybei, pagrindinė grėsmė demokratijai kyla dėl griežtos perskirstymo politikos47.
Pajamų nelygybės sąlyga yra operacionalizuojama į Pasaulio banko sudarytą Gini matą48. Šis indeksas atskleidžia gyventojų pajamų pasiskirstymą ir pateikia reikšmes nuo 0 iki 100, kur 0 reiškia visiškai lygų pajamų pasiskirstymą, o 100 absoliučią nelygybę.
Visuomenės išsilavinimo lygis arba didesnis metų, praleistų mokantis, vidurkis teigiamai tiesiogiai ir netiesiogiai49 veikia demokratijos kokybę50. Netiesioginis didesnio išsilavinimo poveikis demokratijos kokybei apima bendrą švietimo poveikį valstybės ekonominiam išsivystymui, kuris prisideda prie demokratijos stabilumo51. Tiesioginis švietimo poveikis leidžia išryškėti sąveikai tarp išsilavinimo ir tolerancijos. Manoma, kad labiau išsilavinę žmonės tampa tolerantiškesni opozicijai bei mažumoms, o tai sukuria didesnį politinį stabilumą52.
Visuomenės išsilavinimo lygis yra operacionalizuojamas į suaugusio asmens metų, praleistų švietimo sistemoje, vidurkį ir tikėtiną metų, kuriuos vaikas praleis švietimo sistemoje, vidurkį. Šiuos rodiklius pateikia Jungtinių Tautų organizacijos sudarytas išsilavinimo indeksas53 (angl. education index)54.
Partinės sistemos institucionalizacija lemia sėkmingą demokratijos įsitvirtinimą55. S. Mainwaringas ir T. Scully partinės sistemos institucionalizaciją apibūdino kaip procesą, kurio metu įsitvirtina ir tampa plačiai priimtos politinio žaidimo praktikos, formuojančios veikėjų lūkesčius ir elgesį kitų veikėjų atžvilgiu56. S. Mainwarringas nurodo, kad institucionalizuota partinė sistema pasižymi stabilia: 1) partine naryste; 2) konkurencija tarp partijų; 3) jungtimi tarp partijos ir visuomenės; 4) partijų organizacine struktūra57. Taigi institucionalizuotoje partinėje sistemoje partijų tarpusavio sąveika yra nuspėjama ir reguliari.
Analizuojant demokratijos kokybę Lotynų Amerikoje svarbu atkreipti dėmesį ir į valstybės valdymo formą. Kaip pažymėjo S. Linzas ir A. Valenzuela, prezidentinių valstybių, kurių partinė sistema nėra visiškai susiformavusi ir stabili, demokratija susiduria su iššūkiais58. S. Mainwarringas papildo S. Linzo ir A. Valenzuelos išvadas ir nurodo, kad neinstitucionalizuota partinė sistema ir prezidentinė valdymo forma (pastarąja pasižymi visos Lotynų Amerikos valstybės) neigiamai veikia demokratijos kokybę (daugiausia dėl prezidento konflikto su įstatymų leidžiamąja valdžia)59.
Institucionalizuotos partinės sistemos sąlyga yra operacionalizuojama į partinės sistemos institucionalizacijos indeksą (PSI), kurį sudarė S. Mainwarringas. PSI indekso reikšmės – tai stabilios partinės narystės, reguliarios tarppartinės konkurencijos ir stabilios partinės ideologijos reikšmių Z įvertis60.
Visuomenės homogeniškumas yra apibrėžiamas kaip etninės, lingvistinės, religinės bei rasinės frakcionalizacijos nebuvimas. Didėjant visuomenės fragmentiškumui etniniu, rasiniu bei lingvistiniu pagrindu, demokratijos kokybė prastėja61.
Visuomenės homogeniškumo sąlyga yra operacionalizuojama į A. Alesino ir jo kolegų sudarytą etninės fragmentacijos indeksą, kuris didesnį svorį suteikia rasinei bei etninei įvairovei valstybėje62. Indekso reikšmės svyruoja nuo 0 – visiškas homogeniškumas, iki 1 – visiškas heterogeniškumas. Indeksas nurodo, kokia yra tikimybė, kad atsitiktinai atrinkti du valstybės gyventojai priklausys skirtingoms etninėms grupėms.
Demokratijos kokybė. Demokratija (minimalia prasme) yra suprantama kaip politinis režimas, pasižymintis stabilia institucine struktūra, kuri sukuria prielaidas piliečių laisvei ir lygybei realizuotis per legitimias ir funkcionuojančias institucijas63. Platesnį nei minimalios arba procedūrinės demokratijos apibrėžimą pateikia Leonardo Morlino. Jam rinkiminė, arba minimali, demokratija yra būtina, tačiau nepakankama kokybiškos demokratijos sąlyga64. Demokratijos kokybė priklauso nuo politinio režimo atitikties procedūrų (ar ir kiek gerai galioja įstatymo viršenybės principas), turinio (ar piliečiams yra užtikrinamos esminės laisvės ir teisės) bei rezultatų (piliečių pasitenkinimo režimu lygis) kriterijams65. Šie trys kokybės kriterijai yra tarpusavyje susiję, o jų tenkinimas apibrėžia demokratijos kokybę. Autorius pabrėžia, kad esminis kokybiškos demokratijos kriterijus yra veiksmingos institucijos ir funkcionuojantys atstovavimo mechanizmai66. O sėkmingą politinio režimo funkcionavimą užtikrina efektyvi horizontali atskaitomybė.
Demokratijos kokybė yra operacionalizuojama į „Demokratijų įvairovės“ (Varieties of Democracy (toliau V-dem)) išskirtą liberalios demokratijos indeksą67. Liberaliosios demokratijos kriterijai apima įstatymų viršenybės bei horizontalios atskaitomybės (procedūrų kriterijus) dalis. Šios dalys yra kokybiškos demokratijos pagrindas, o jų įsitvirtinimas, be kita ko, užtikrina piliečių laisvių bei teisių apsaugą, galimybę dalyvauti politikoje bei valdžios atliepumą.
Analizei paruošti duomenys pateikiami 1 lentelėje.
1 lentelė. Duomenų lentelė
|
Šalis |
K_K |
PAJAM_LYG |
ISSILAV |
PSI |
VISUOM_HOMG |
DEM_KOK |
|
Argentina |
1 |
46,93 |
0,70 |
–0,81 |
0,29 |
0,63 |
|
Bolivija |
1 |
46,94 |
0,61 |
–0,85 |
0,74 |
0,40 |
|
Brazilija |
1 |
56,78 |
0,58 |
0,48 |
0,58 |
0,57 |
|
Čilė |
0 |
49,95 |
0,68 |
0,90 |
0,51 |
0,79 |
|
Dominikos Respublika |
1 |
45,68 |
0,54 |
0,72 |
0,48 |
0,25 |
|
Ekvadoras |
1 |
46,86 |
0,57 |
–0,78 |
0,66 |
0,36 |
|
Salvadoras |
0 |
49,24 |
0,48 |
0,42 |
0,16 |
0,46 |
|
Gvatemala |
0 |
55,00 |
0,39 |
–1,20 |
0,76 |
0,51 |
|
Hondūras |
0 |
54,83 |
0,44 |
0,55 |
0,12 |
0,27 |
|
Kolumbija |
1 |
54,42 |
0,54 |
–0,69 |
0,60 |
0,49 |
|
Kosta Rika |
0 |
47,49 |
0,59 |
0,09 |
0,45 |
0,83 |
|
Meksika |
0 |
47,61 |
0,57 |
1,09 |
0,22 |
0,47 |
|
Nikaragva |
0 |
50,60 |
0,43 |
0,08 |
0,39 |
0,12 |
|
Panama |
0 |
54,25 |
0,62 |
–0,13 |
0,48 |
0,61 |
|
Paragvajus |
1 |
52,05 |
0,53 |
–0,19 |
0,18 |
0,47 |
|
Peru |
1 |
49,08 |
0,61 |
–1,16 |
0,51 |
0,60 |
|
Urugvajus |
0 |
42,70 |
0,66 |
1,16 |
0,38 |
0,77 |
|
Venesuela |
1 |
49,51 |
0,59 |
–1,15 |
0,52 |
0,12 |
Šaltinis: sudaryta autoriaus. Konstitucijų keitimo sąlyga žymima „K_K“, pajamų lygybės sąlyga – „PAJAM_LYG“, išsilavinimo sąlyga – „ISSILAV“, partinės sistemos institucionalizacijos kintamasis žymimas „PSI“, visuomenės homogeniškumo sąlyga žymima „VISUOM_HOMG“, o demokratijos kokybės sąlyga – „DEM_KOK“. Duomenys apie devynias valstybes, kurios pakeitė savo konstituciją, yra pateikiami suskaičiuojant sąlygų ir baigmės reikšmių vidurkius nuo tų metų, kai buvo priimta konstitucija, iki 2018 m. O kontrolinių atvejų sąlygų ir baigmės reikšmės yra pateikiamos nuo konkrečių metų, kai valstybė tapo demokratija (įvyko pirmi laisvi ir konkurencingi rinkimai). Atsižvelgiant į tai, kad demokratijos kokybė yra tęstinis procesas, skaičiuojami kasmetiniai demokratijos kokybės rodiklio reikšmių vidurkiai. Demokratijos kokybės sąlygų reikšmės yra skaičiuojamos tokiu pačiu būdu.
Kokybiškos demokratijos teorinis priežasčių mechanizmas susideda iš konstitucijų keitimo, pajamų lygybės, visuomenės išsilavinimo lygio, partinės sistemos institucionalizacijos laipsnio bei visuomenės homogeniškumo lygio sąlygų. Remiantis nustatytu teoriniu kokybiškos demokratijos priežasčių mechanizmu ir atsižvelgiant į tyrime taikomą metodologinę prieigą, bus tikrinamos aštuonios hipotezės. Keturios iš jų yra skirtos ištirti, ar pavienė konstitucijos keitimo arba nekeitimo sąlyga yra būtina ir (arba) pakankama kokybiškos ar nekokybiškos demokratijos sąlyga. Kitos keturios hipotezės yra skirtos nustatyti, ar konstitucijų keitimas arba nekeitimas yra pakankamos kokybiškos arba nekokybiškos demokratijos sąlygų konfigūracijos dalis. Hipotezių apibendrinimas pateikiamas 2 lentelėje.
2 lentelė. Hipotezių lentelė
|
Pavienė konstitucijos keitimo sąlyga |
Konstitucijos |
Konstitucijos |
|
Kokybiška demokratija |
H1a: būtina ir (arba) pakankama sąlyga |
H1b: būtina ir (arba) pakankama sąlyga |
|
Nekokybiška demokratija |
H2a: būtina ir (arba) pakankama sąlyga |
H2b: būtina ir (arba) pakankama sąlyga |
|
Sąlygų konfigūracija |
Konstitucijos keitimas |
Konstitucijos nekeitimas |
|
Kokybiška demokratija |
H3a: pakankama sąlygų konfigūracija |
H3b: pakankama sąlygų konfigūracija |
|
Nekokybiška demokratija |
H4a: pakankama sąlygų konfigūracija |
H4b: pakankama sąlygų konfigūracija |
Šaltinis: sudaryta autoriaus.
2. Analizės metodas
Siekiant patikrinti hipotezes, šiame tyrime yra taikoma kokybinė lyginamoji neraiškių aibių analizė68 (trumpinys – naKLA). NaKLA pasirinkta taikyti, nes: 1) metodas atveria galimybę apibendrinti kokybinę informaciją apie 18 atvejų; 2) leidžia patikrinti priežastinius ryšius, turint vidutinę (8–20) analizuojamų atvejų imtį69. Tad naKLA leidžia ištirti, ar konstitucijos keitimo sąlyga yra konjunktūrinio demokratijos kokybės priežastinio mechanizmo sudedamoji dalis. Taikant naKLA taip pat galima nustatyti, ar konstitucijų keitimo pavienė sąlyga yra būtina ir (arba) pakankama kokybiškos demokratijos sąlyga. Pagaliau, atsižvelgiant į tai, kad su naKLA galima atlikti ne tik baigmės (kokybiškos demokratijos) priežasčių analizę, bet ir baigmės inversijos (nekokybiškos demokratijos) analizę, yra tikrinama, ar konstitucijų keitimo sąlyga arba sąlygų konfigūracija, kurios dalis yra konstitucijos keitimo sąlyga, yra pakankamai nuosekli, kad paaiškintų nekokybišką demokratiją.
3 lentelėje yra apibendrinamos visoms sąlygoms taikytos kokybinės slenkstinės reikšmės. Šių reikšmių pasirinkimo pagrindimas yra pateiktas 1 priede. O 4 lentelėje pateikiami į priklausomybės neraiškioms aibėms reikšmes transformuoti kiekybiniai duomenys.
3 lentelė. Kokybiniai duomenų „slenksčiai“ atliekant duomenų kalibravimą
|
Sąlyga |
fs > 0,95 |
fs = 0,5 |
fs < 0,05 |
|
Pajamų lygybė |
Gini < 35 |
Gini = 45 |
Gini < 50 |
|
Išsilavinimas |
Išsilavinimo indeksas > 0,8 |
Išsilavinimo indeksas = 0,6 |
Išsilavinimo indeksas < 0,4 |
|
Partinės sistemos institucionalizacija |
PSI > 1 |
PSI = 0,5 |
PSI < 0 |
|
Visuomenės homogeniškumas |
ELF < 0,19 |
ELF = 0,27 |
ELF > 0,47 |
|
Kokybiška liberali demokratija |
LD > 0,8 |
LD = 0,6 |
LD < 0,4 |
Šaltinis: sudaryta autoriaus.
4 lentelė. Duomenų lentelė atlikus kiekybinių duomenų transformavimą į priklausymo neraiškioms aibėms reikšmes
|
Šalis |
f_KK |
f_PAJAM_LYG |
f_ISSILAV |
f_PSI |
f_VISUOM_HOMOG |
f_DEM_KOK |
|
Argentina |
1 |
0,24 |
0,8 |
0 |
0,39 |
0,59 |
|
Bolivija |
1 |
0,24 |
0,45 |
0 |
0 |
0,05 |
|
Brazilija |
1 |
0 |
0,36 |
0,47 |
0 |
0,45 |
|
Čilė |
0 |
0,05 |
0,72 |
0,92 |
0,4 |
0,91 |
|
Dominikos Respublika |
1 |
0,4 |
0,25 |
0,79 |
0,3 |
0,01 |
|
Ekvadoras |
1 |
0,25 |
0,32 |
0 |
0 |
0,03 |
|
Salvadoras |
0 |
0,07 |
0,13 |
0,38 |
0,87 |
0,18 |
|
Gvatemala |
0 |
0 |
0,04 |
0 |
0 |
0,15 |
|
Hondūras |
0 |
0 |
0,08 |
0,57 |
0,93 |
0,08 |
|
Kolumbija |
1 |
0 |
0,25 |
0 |
0 |
0,16 |
|
Kosta Rika |
0 |
0,18 |
0,36 |
0,08 |
0,5 |
0,94 |
|
Meksika |
0 |
0,17 |
0,32 |
0,97 |
0,71 |
0,14 |
|
Nikaragva |
0 |
0,03 |
0,07 |
0,07 |
0,2 |
0 |
|
Panama |
0 |
0 |
0,47 |
0,02 |
0,3 |
0,53 |
|
Paragvajus |
1 |
0,01 |
0,22 |
0,02 |
0,83 |
0,09 |
|
Peru |
1 |
0,08 |
0,45 |
0,4 |
0 |
0,57 |
|
Urugvajus |
0 |
0,6 |
0,65 |
0,98 |
0,46 |
0,88 |
|
Venesuela |
1 |
0,06 |
0,38 |
0 |
0 |
0 |
Šaltinis: sudaryta autoriaus. Duomenų kalibravimas atliktas naudojant fsQCA 3.0 programą.
Kokybiškos ir nekokybiškos demokratijos priežasčių analizė atlikta naudojant fsQCA 3.0 programą ir: 1) sudarius neraiškių aibių mažai prieštaringą tiesos lentelę. Nustačius griežtesnius nuoseklumo slenksčius buvo įvertintas sprendinių validumas; 2) analizuojant būtinas baigmės sąlygas; 3) minimizuojant priežastinių sąlygų konfigūracijas; 4) aptariant gautus sprendinius susiejus su teorinėmis žiniomis bei turima informacija apie atvejus.
3. Rezultatų analizė
Šioje tyrimo dalyje yra tikrinamos hipotezės apie pavienės konstitucijų keitimo sąlygos arba konstitucijos keitimo kartu su kitomis sąlygomis poveikį demokratijos kokybei Lotynų Amerikoje. Pirmiausia pateikiama kokybiškos demokratijos sąlygų analizė.
3.1. Kokybiškos demokratijos analizė
Būtinų sąlygų ir jų inversijų analizė atskleidė, kad nė viena sąlyga nesiekia 0,9 nuoseklumo ribos ir nėra būtina kokybiškos demokratijos sąlyga (žr. 2 priedą, 1 lentelę). Toliau ieškant, ar tam tikrų sąlygų ir jų inversijų konfigūracija yra pakankama baigmei paaiškinti, yra sudaroma tiesos lentelė. Remiantis nuoseklumo reikšmių „properšomis“ yra nustatomas nuoseklumo slenkstis 0,88. Tiesos ir analizei paruošta tiesos lentelės yra pateikiamos 1 priede (atitinkamai 2 ir 3 lentelės).
|
Kompleksinis sprendinys |
|||
|
Sąlygos konfigūracija |
Bendroji |
Unikali |
Nuosek- |
|
~f_KK*f_ISSILAV*f_PSI*~f_VISUOM_HOMOG |
0,312 |
0,312 |
0,891 |
Gautas kompleksinis sprendinys susideda iš vienos sąlygų konfigūracijos. Sprendinys nurodo, kad konstitucijos nekeitimas, didelis visuomenės išsilavinimo laipsnis, institucionalizuota partinė sistema ir homogeniškos visuomenės sąlygos inversija paaiškina kokybišką demokratiją. Šios kintamųjų konfigūracijos nuoseklumas yra didesnis nei nustatytas minimalus nuoseklumo reikalavimas (0,88). Tad kompleksinis sprendinys yra pakankama kokybiškos demokratijos sąlyga. Visgi šio sprendinio unikali ir bendroji danga yra maža. Todėl šis sprendinys tik ribotai gali paaiškinti demokratijos kokybę Lotynų Amerikoje. Jį reprezentuoja Čilės ir Urugvajaus atvejai.
|
Glaustasis sprendinys |
|||
|
Sąlygos konfigūracija |
Bendroji |
Unikali |
Nuoseklumas |
|
~f_KK*f_ISSILAV |
0,543 |
0,189 |
0,891 |
|
f_ISSILAV*f_PSI |
0,418 |
0,064 |
0,831 |
|
~f_KK*f_PSI*~f_VISUOM_HOMOG |
0,312 |
0 |
0,891 |
Glaustasis sprendinys atskleidžia, kad pakankama kokybiškos demokratijos sąlyga galima laikyti du junginius, susidedančius iš: 1) konstitucijos keitimo sąlygos inversijos (~f_KK) ir aukšto išsilavinimo lygio sąlygos (f_ISSILAV); 2) konstitucijos keitimo sąlygos inversijos (~f_KK), partinės sistemos institutionalizacijos (f_PSI) ir visuomenės homogeniškumo sąlygos inversijos. Šių sąlygų konjunkcijų nuoseklumas yra didesnis nei nustatyta slenkstinė reikšmė. Kitaip tariant, valstybėse, kuriose nebuvo keista konstitucija ir kurios yra priskiriamos prie šalių, kurių visuomenė pasižymi aukštu išsilavinimo lygiu, arba šalių, kuriose nebuvo keista konstitucija, partinė sistema yra institucionalizuota ir visuomenė pasižymi etnine, rasine bei lingvistine įvairove, demokratija yra kokybiška.
Visgi gautas kompleksinis sprendinys nurodo paprasčiausią logiškai galimą, bet empiriškai neaptinkamą sąlygų kombinaciją. Tad glaustąjį sprendinį reikėtų interpretuoti teoriniu lygmeniu. Kitaip tariant, sprendinys galėtų būti priimamas laikantis prielaidos, kad jeigu būtų valstybė, kuri nekeitė savo konstitucijos ir jos visuomenės išsilavinimo lygis yra aukštas, arba šalis, kuri nekeitė savo konstitucijos, o jos partinė sistema yra institucionalizuota ir visuomenė nehomogeniška, demokratija galėtų būti kokybiška.
Remiantis atlikta kokybiškos demokratijos analize, gaunama išvada, jog konstitucijos keitimo sąlygos inversija yra viena iš kokybiškos demokratijos sudedamųjų dalių. Kitaip tariant, Lotynų Amerikoje konstitucijos nekeitimas kartu su kitomis sąlygomis paaiškina demokratijos kokybę.
3.2. Kokybiškos demokratijos inversijos analizė
Toliau atliekama baigmės inversijos arba nekokybiškos demokratijos analizė. Rezultatai atskleidžia, kad pajamų lygybės inversija yra būtina kokybiškos demokratijos inversijos sąlyga (žr. 2 priedą, 4 lentelę). Tiesos lentelė ir suredaguota tiesos lentelė yra pateikiamos 2 priede (5 ir 6 lentelės).
|
Kompleksinis sprendinys |
|||
|
Sąlygų konfigūracijos |
Bendroji danga |
Unikali danga |
Nuoseklumas |
|
f_KK*~f_PAJAM_LYG*~f_PSI*~f_VISUOM_HOMOG |
0,376 |
0,073 |
0,925 |
|
f_KK*~f_PAJAM_LYG*~f_ISSILAV*~f_VISUOM_HOMOG |
0,336 |
0,033 |
0,977 |
|
f_KK*~f_PAJAM_LYG*~f_ISSILAV*~f_PSI |
0,352 |
0,049 |
1 |
Nustačius nuoseklumo slenkstinę reikšmę 0,88, programa pateikia, kad yra trys nuoseklios kompleksinės sąlygų konfigūracijos, kurias galima laikyti pakankamais baigmės inversijos kompleksiniais sprendiniais. Glaustasis sprendinys nesiekia nuoseklumo ribos 0,88, todėl jo negalima laikyti pakankama kokybiškos demokratijos inversijos sąlyga.
|
Glaustasis sprendinys |
|||
|
Sąlygos |
Bendroji danga |
Unikali danga |
Nuoseklumas |
|
f_KK |
0,540 |
0,540 |
0,827 |
Kompleksinius sprendinius galima užrašyti disjunkcijos formule:
f_KK*~f_PAJAM_LYG*~f_PSI*~f_VISUOM_HOMOG + f_KK*~f_PAJAM_LYG*~f_ISSILAV*~f_VISUOM_HOMOG + f_KK*~f_PAJAM_LYG*~f_ISSILAV*~f_PSI
~f_DEM_KOK
Norint patikrinti gautų rezultatų validumą, analizė atlikta nustačius aukštesnį nuoseklumo slenkstį (0,92). Į naują kompleksinį sprendinį sprendinys f_KK*~f_PAJAM_LYG*~f_ISSILAV*~f_PSI nebepatenka, o kiti du sprendiniai išlieka nuoseklūs ir yra pakankamos baigmės inversijos sąlygų konfigūracijos. Toliau pateikiamoje lentelėje nurodyti sprendinių nuoseklumo bei dangos rodikliai, nustačius aukštesnį nuoseklumo slenkstį.
|
Kompleksinis sprendinys |
|||
|
Sąlygų konfigūracijos |
Bendroji danga |
Unikali danga |
Nuoseklumas |
|
f_KK*~f_PAJAM_LYG*~f_PSI*~f_VISUOM_HOMOG |
0,376 |
0,073 |
0,927 |
|
f_KK*~f_PAJAM_LYG*~f_ISSILAV*~f_VISUOM_HOMOG |
0,336 |
0,033 |
0,978 |
Programa pateikia, kad egzistuoja dvi kompleksinių sąlygų konfigūracijos, kurios paaiškina nekokybišką demokratiją. Šių konfigūracijų disjunkcijos formulė:
f_KK*~f_PAJAM_LYG*~f_PSI*~f_VISUOM_HOMOG +
f_KK*~f_PAJAM_LYG*~f_ISSILAV*~f_VISUOM_HOMOG ~f_DEM_KOK
Pirmajam sprendiniui (f_KK*~f_PAJAM_LYG*~f_PSI*~f_VISUOM_HOMOG) priklausantys atvejai, kurių narystės laipsnis yra didesnis nei 0,5, yra Kolumbija, Venesuela, Bolivija, Argentina, Brazilija ir Ekvadoras. O antrajam sprendiniui (KK*~f_PAJAM_LYG*~f_ISSILAV*~f_VISUOM_HOMOG) priklausantys atvejai, kurių narystės laipsnis yra didesnis nei 0,5, apima Kolumbiją, Venesuelą, Ekvadorą, Braziliją, Dominikos Respubliką ir Boliviją.
Kompleksinio sprendinio formulės atskleidžia, kad yra du Lotynų Amerikos valstybių, kurių demokratijos yra nekokybiškos, tipai. Pirmasis tipas nurodo, kad konstitucijos keitimo sąlyga ir pajamų lygybės, partinės sistemos institucionalizacijos bei visuomenės homogeniškumo sąlygų inversijos yra nekokybiškos demokratijos priežastys. Šiam sprendiniui išskirtinai priklauso Argentina. O antrajam sprendiniui (demokratija yra nekokybiška, nes buvo keista konstitucija ir šalis pasižymi pajamų lygybės, išsilavinimo bei visuomenės homogeniškumo sąlygų inversijomis) priklauso Dominikos Respublika. Kolumbija, Venesuela, Ekvadoras, Brazilija ir Bolivija priklauso abiem šalių tipams (pirmajam priklauso, nes šalių partinės sistemos nėra pakankamai institucionalizuotos, o antrajam, nes jų visuomenės išsilavinimo lygis nėra aukštas).
Gauti rezultatai leidžia patvirtinti ir atmesti šias hipotezes:
a) H1a: hipotezė atmesta.
b) H1b: hipotezė atmesta.
c) H2a: hipotezė atmesta.
d) H2b: hipotezė atmesta. Būtinų ir pakankamų sąlygų analizė atskleidė, kad pavienė konstitucijos nekeitimo sąlyga nėra nei būtina, nei pakankama kokybiškos demokratijos inversijos sąlyga.
e) H3a: hipotezė atmesta. Konstitucijos keitimo sąlyga nėra pakankamo demokratijos kokybės sprendinio dalis.
f) H3b: hipotezė patvirtinta. Gautas kompleksinis sprendinys atskleidžia, kad konstitucijos nekeitimas kartu su išsilavinimo, partinės sistemos institucionalizacijos sąlygomis ir visuomenės homogeniškumo sąlygos inversija sudaro pakankamą kokybiškos demokratijos sąlygų konfigūraciją.
g) H4a: hipotezė patvirtinta. Gautas kokybiškos demokratijos inversijos kompleksinis sprendinys atskleidžia, kad konstitucijos keitimas kartu su kitomis sąlygomis paaiškina baigmės inversiją. Šie rezultatai buvo patikrinti atliekant naKLA nustačius aukštesnius nuoseklumo slenksčius.
h) H4b: hipotezė atmesta.
3.3. Ekvadoro atvejo studijos analizė
Remiantis gerąja kokybinės lyginamosios analizės atlikimo patirtimi, gauti rezultatai yra papildomi atvejo studijomis70. Šitaip patikrinama gautų sprendinių atitiktis realybei. Nors 18 atvejų studijos pareikalautų platesnės apimties, siekiant įvertinti gautų sprendinių atitiktį empirinei tikrovei, trumpai pristatoma Ekvadoro 2008 m. Konstitucijos keitimo poveikio demokratijos kokybei apžvalga. Šioje valstybėje bus analizuojamas f_KK*~f_PAJAM_LYG*~f_PSI*~f_VISUOM_HOMOG ~f_DEM_KOK sprendinys.
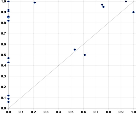
Ši sąlygų konfigūracija yra pasirenkama, nes apima tiek struktūrinius (pajamų lygybės bei visuomenės homogeniškumo sąlygų inversijas), tiek institucinius veiksnius (konstitucijos keitimas bei partinės sistemos institucionalizacijos inversija). O atsižvelgiant į demokratizacijos tyrimus, laikomasi prielaidos, kad teoriškai tikslesnė demokratijos kokybės analizė turėtų įtraukti tiek institucinius, tiek struktūrinius veiksnius. Toks pasirinkimas yra grindžiamas ir tuo, kad jau buvo bandymų sujungti šias prieigas ir paaiškinti demokratijos konsolidacijos priežastis71. Pav. yra pateikiamas sąlygos konfigūracijai priskiriamų atvejų grafikas.
Grafike taškai atspindi atvejus, o jų susitelkimas viršutinėje grafiko dalyje atskleidžia, kad sąlygų konfigūracija yra pakankama baigmės sąlyga. Grafikas taip pat atskleidžia, kad Ekvadoras pasižymi dideliu priklausymu priežastinių sąlygų (0,84) ir baigmės (0,97) aibėms reikšmėmis. Taip pat Ekvadoro Konstitucija yra laikoma pavyzdiniu, naujojo konstitucionalizmo bruožus atitinkančiu dokumentu.
Ekvadoro visuomenė pasižymi didele pajamų nelygybe bei aukštu etninės ir rasinės fragmentacijos lygiu (30–40 proc. Ekvadoro populiacijos susideda iš čiabuvių)72. Taip pat Ekvadoro partinė sistema nuo 2000 m. susiduria su deinstitucionalizacijos procesu. Rinkiminis lakumas šalyje yra didelis, o tradicinių partijų vaidmuo silpnėja73. Šiame kontekste 2008 m. buvo patvirtinta nauja Konstitucija, kurios tikslas buvo atliepti vykstančią demokratijos eroziją ir įveikti vyraujančią socialinę bei ekonominę nelygybę74. Pastarasis aspektas yra ypač svarbus, nes vienas iš pagrindinių naujojo dokumento autoriaus R. Correa’os politinės darbotvarkės uždavinių, kuris, be kita ko, užtikrino buvusiam Ekvadoro prezidentui platų visuomenės palaikymą, buvo griežta perskirstymo politika ir didesnis valstybės vaidmuo reguliuojant ekonomiką. Šie politiko tikslai buvo įtvirtinti Ekvadoro Konstitucijoje.

Pav. Sąlygų konfigūracijos grafikas
Šaltinis: sudaryta autoriaus remiantis fsQCA 3.0 programos pateiktais rezultatais.
2008 m. pagrindinis šalies įstatymas ne tik užtikrino anksčiau galiojusių politinių bei pilietinių teisių apsaugą, bet ir suteikė piliečiams naujas socialines bei kultūrines teises. Pavyzdžiui, teisę į švarų geriamąjį vandenį, nemokamą mokslą bei autonomiją čiabuviams spręsti vietos savivaldos klausimus75. Nauja Konstitucija taip pat buvo sustiprinta horizontalioji bei vertikalioji atskaitomybė. Pirmoji buvo patobulinta suteikiant platesnes kompetencijas įstatymo leidžiamajai bei teisminei valdžiai prižiūrėti vykdomąją valdžią76. Tai teoriškai turėjo prisidėti prie efektyvesnės stabdžių ir atsvarų sistemos sukūrimo. O vertikali atskaitomybė Ekvadore buvo stiprinama diegiant dalyvavimą politikoje skatinančius mechanizmus (pavyzdžiui, sukurtas dalyvaujamasis biudžetas Cotocachi ir Otavalo regionuose) ir sukuriant institucijas, kurios įgalina piliečius tiesiogiai atlikti vykdomosios valdžios priežiūrą (pavyzdžiui, Dalyvavimo bei socialinės kontrolės tarybos)77. Taigi teoriniu lygmeniu naujas pagrindinis šalies įstatymas turėjo pastūmėti šalį kokybiškesnės, įtraukios bei skaidresnės demokratijos link.
Visgi potencialiai demokratijos kokybę stiprinančios inovacijos buvo kooptuotos vykdomosios valdžios78. O čiabuvių autonomija apribota – politinės organizacijos nebuvo pripažintos legitimiomis, jų laisvė dalyvauti priimant sprendimus – suvaržyta79. Viso to priežastis – išplėstos prezidento galios ir horizontalios atskaitomybės trūkumas. Pastarasis reiškinys, greta vyraujančios pajamų nelygybės bei visuomenės etninės fragmentacijos, išryškėjo dėl neinstitucionalizuotos Ekvadoro partinės sistemos.
Pirmiausia politinės sistemos nestabilumas Ekvadore vyrauja jau nuo XX a. pabaigos. Pavyzdžiui, 1997–2005 m. laikotarpiu trys Ekvadoro prezidentai buvo pašalinti iš valdžios perversmo arba apkaltos būdu80. Taip pat R. Correa pirmuosius savo prezidento rinkimus laimėjo kaip politinis autsaideris – jis nepriklausė nei vienai iš tradicinių partijų. Pirmosios ir antrosios prezidento kadencijos metu Ekvadoro partinė sistema nesugebėjo institucionalizuotis, o tai lėmė, kad įstatymų leidžiamoji valdžia nepajėgė kontroliuoti prezidento institucijos81. R. Correa’ą kompetencijų ribas peržengti taip pat paskatino didelis visuomenės palaikymas. Dėl vyraujančios pajamų nelygybės ir etninės įvairovės šalyje R. Correa’os pajamų perskirstymo politika ir siekis suteikti platesnes teises čiabuviams užtikrino didelį prezidento populiarumą82.
Pagaliau, prieš priimant dokumentą, R. Correa perstruktūravo Ekvadoro Aukščiausiąjį Teismą ir kitas prezidento priežiūrą atliekančias institucijas – pakeitė aukšto rango pareigūnus sau lojaliais asmenimis. Pavyzdžiui, generaliniu prokuroru buvo paskirtas G. Chiriboga, artimas R. Correa’os draugas, o teisminės valdžios tarybos vadovu – G. Jalkahas, kuris anksčiau buvo atsakingas už R. Correa’os saugumą83. Taigi horizontalios atskaitomybės trūkumas, daugiausia susidaręs dėl Ekvadoro partinės sistemos erozijos bei didelės pajamų nelygybės ir etniniu pagrindu susiskaldžiusios visuomenės, nulėmė, kad 2008 m. Konstitucijoje siekis užtikrinti kokybiškesnę demokratiją liko neįgyvendintas. Priešingai – procesai, kurie vyko 2008 m. priėmus Konstituciją, paskatino Ekvadoro demokratijos eroziją.
Išvados
Šiuo tyrimu buvo siekiama išsiaiškinti, ar konstitucijų keitimas sąlygoja demokratijos kokybę ir ar naujo pagrindinio įstatymo priėmimas, kartu su kitomis sąlygomis, yra pakankama kintamųjų konfigūracija, galinti paaiškinti kokybišką demokratiją. Gauti rezultatai atskleidė, kad pavienė konstitucijos keitimo sąlyga nėra nei pakankama, nei būtina kokybiškos demokratijos sąlyga. Priešingai – paaiškėjo, kad Lotynų Amerikoje kokybiškos demokratijos yra tos, kurios nekeitė savo konstitucijos, jų partinės sistemos yra institucionalizuotos, o visuomenė išsilavinusi ir pasižymi etnine, rasine bei lingvistine įvairove.
Demokratijos kokybės inversijos analizė parodė, kad konstitucijų keitimo sąlyga yra kokybiškos demokratijos inversiją paaiškinančių sprendinių dalis. Gauti du kompleksiniai neigiamos baigmės sprendiniai susideda iš: 1) konstitucijos keitimo sąlygos bei pajamų lygybės, partinės sistemos institucionalizacijos ir visuomenės homogeniškumo sąlygų inversijų; 2) konstitucijos keitimo sąlygos bei pajamų lygybės, visuomenės išsilavinimo ir visuomenės homogeniškumo sąlygų inversijų. Tai atskleidžia, kad naujų konstitucijų turinys yra prieštaringas, nors dokumente įtvirtintos nuostatos ir sudaro prielaidas tikėtis politinio režimo kokybės gerėjimo. Šių nuostatų sėkmingą įsitvirtinimą riboja šalies institucinė sąranga bei struktūrinės sąlygos. Tai iliustruoja Ekvadoro pavyzdys. Esant prezidentui palankiam struktūriniam bei instituciniam kontekstui, Konstitucijoje nurodytas siekis įdiegti kokybiškesnę demokratiją užtikrinančias nuostatas nebuvo įgyvendinamas.
Visgi, prieš priimant šias išvadas, svarbu atsižvelgti į kelis šių rezultatų ribotumus. Pirmiausia konstitucijų keitimas buvo apibrėžiamas kaip naujo dokumento sukūrimas. Tačiau konstitucijos Lotynų Amerikoje lygia greta su naujų priėmimu buvo ir keičiamos reguliariu būdu. Šis ribotumas nurodo galimybę tolesniuose tyrimuose į analizę įtraukti ir konstitucijų pataisas. Taip būtų galima palyginti skirtingo konstitucijos keitimo pobūdžio poveikį demokratijos kokybei. Antrasis rezultatų ribotumas yra susijęs su priklausomojo kintamojo konceptualizavimu bei operacionalizavimu. Kokybiška demokratija gali būti suprantama ir kaip kitokias dimensijas pabrėžianti demokratijos forma. Pavyzdžiui, galima svarstyti apie kokybišką dalyvaujamąją, svarstomąją bei egalitarinę demokratiją. Tad alternatyvių kokybiškos demokratijos formų priežasčių analizė taip pat yra potenciali tolesnių tyrimų tema.
Nors tyrime ir buvo analizuota vidutinė atvejų imtis, o apibendrinimai gali būti taikomi tik labai panašioms šalims, rezultatai leidžia kritiškai įvertinti vykstančius valstybių institucinės sąrangos perkūrimo procesus. Lotynų Amerikos valstybių patirtis atskleidžia, kad siekis sukurti kokybiškesnę demokratiją ir progresyvus naujų konstitucijų turinys lemia priešingus rezultatus. Lotynų Amerikoje už geresnio režimo sukūrimo pažado slypi konstitucijos kūrėjų asmeniniai tikslai. O palankus institucinis bei struktūrinis kontekstas prisideda prie jų realizavimo. Visgi naujojo konstitucionalizmo laikotarpis Lotynų Amerikoje tęsiasi iki šiol. Skirtingose regiono valstybėse siekiama perkurti institucinę sąrangą ir atliepti demokratijos deficitą bei socioekonomines problemas. Pavyzdžiui, 2020 m. Čilėje planuojama įgyvendinti plebiscitą dėl naujos Konstitucijos priėmimo. Plebiscito šalininkai siekia, kad nauju dokumentu būtų išplėstos socialinės bei kultūrinės teisės, suteikta daugiau autonomijos mapučių bendruomenei. Tiek Čilės piliečiai, tiek akademinė bendruomenė nesutaria dėl Čilės Konstitucijos keitimo poveikio šalies gerovei. Remiantis šio tyrimo rezultatais galima teigti, kad nauja Čilės Konstitucija neturėtų prisidėti prie kokybiškesnės demokratijos. Visgi šalis išsiskiria aukštu partinės sistemos institucionalizacijos bei visuomenės išsilavinimo lygiu ir yra viena iš aukščiausia demokratijos kokybe pasižyminčių šalių regione. Čilės atvejis yra puiki galimybė išplėsti konstitucijos keitimo poveikio demokratijos kokybei modelį įvertinant partinės sistemos institucionalizacijos ir demokratijos brandos poveikį įgyvendinant naujų konstitucijų tikslus. Tad šiuo metu į Lotynų Ameriką galima žvelgti kaip į konstitucinės inžinerijos laboratoriją.
Literatūra
Acemoglu D. et al., „From Education to Democracy?“, American Economic Review 95 (2), 2005, p. 44–49.
Acemoglu D., Robinson A. J., Economic Origins of Dictatorship and Democracy, Cambridge University Press, 2005, <https://doi.org/10.1017/CBO9780511510809>.
Akerlof A. G., „The Market for “lemons”: Quality Uncertainty and the Market Mechanism“, Uncertainty in Economics, Academic Press, 1978, p. 235–251, <https://doi.org/10.2307/1879431>.
Alemán E., Kim Y., „The democratizing Effect of Education“, Research & Politics 2 (4), 2015, p. 1–7. <https://doi.org/10.1177/2053168015613360>.
Alesina A. et al., „Fractionalization“, Journal of Economic Growth 8 (2), 2003, p. 155–194, <https://doi.org/10.1023/A:1024471506938>.
Arrow Kenneth, Social Choice and Individual Values, New Haven: Yale University Press, 1963.
Bretón V., Cortez D., „En busca del sumak kawsay. Presentación del Dossier“, En Íconos. Revista de ciencias sociales 48 (9), 2014, p. 9–24, <https://doi.org/10.17141/iconos.48.2014.1206>.
Castelló-Climent A., „On the Distribution of Education and Democracy“, Journal of Development Economics 87 (2), 2008, p. 179–190 <https://doi.org/10.1016/j.jdeveco.2007.10.006>.
Dahl A. R., A Preface to Democratic Theory, Chicago: University of Chicago Press, 1956, <https://doi.org/10.1177/106591295701000328>.
Dahl A. R., Dilemmas of Pluralist Democracy: Autonomy vs. Control, Yale: Yale University Press, 1982, <https://doi.org/10.2307/1957369>.
De la Torre C., Lemos A. O., „Populist Polarization and the Slow Death of Democracy in Ecuador“, Democratization 23 (2), 2016, p. 221–241.
Diamond L., Morlino L., sud., Assessing the Quality of Democracy, Baltimore: Johns Hopkins University, 2005.
Dix R., „Democratization and the Institutionalization of Latin American Political Parties“, Comparative Political Studies 24, 1992, p. 481–511, <https://doi.org/10.1177/0010414092024004004>.
Gargarella R., Latin American Constitutionalism, 1810–2010: The Engine Room of the Constitution, Oxford University Press, 2013, <https://doi.org/10.1093/icon/mou009>.
Gigler B., Poverty, Inequality and Human Development of Indigenous Peoples in Bolivia, Georgetown University, Centre for Latin American Studies, 2009.
Glaeser E. L. et al., „Why does Democracy need Education?“, Journal of Economic Growth 12 (2), 2007, p. 77–99.
Habermas J., The Postnational Constellation: Political Essays, Cambridge: Polity, 2001.
Högström J., „Quality of Democracy: A Comparative Study“. Konferencijos pranešimas „The first IPSA – ECPR Joint Conference; Whatever Happened to North-South?“, Sao Paulo, 2011.
Houle C., „Inequality and Democracy: Why Inequality Harms Consolidation but does not Affect Democratization“, World Politics 61 (4), 2009, p. 589–622, <https://doi.org/10.1017/S0043887109990074>.
Jefferson T., „Letter to Samuel Kercheval, Monticello, July 12, 1816“, Jefferson Thomas, On Democracy, New York: New American Library, 1953.
Lalander R., „Neo-Constitutionalism in Twenty-First Century Venezuela: Participatory Democracy, Deconcentrated Decentralization or Centralized Populism?“, Nolte Detlef, Schilling-Vacaflor A. (sud.), New Constitutionalism in Latin America: Promises and Practices, 2016.
Lindberg I. S., „Ordinal Versions of V-Dem’s Indices: For Classification, Description, Sequencing Analysis and Other Purposes“, V-Dem Working Paper 20, 2015.
Linz J. J., Valenzuela A., sud., The Failure of Presidential Democracy, JHU Press, 1994.
Lutz S. D., „Toward a Theory of Constitutional Amendment“, Levinson S. (sud.), Responding to Imperfection. The Theory and Practice of Constitutional Amendment, New Jersey: Princeton University Press, 1995.
Madison J., „Federalist No. 49“, Rossiter Clinton (sud.), The Federalist Papers, New York: New American Library, 1961.
Mainwaring S., sud., Party Systems in Latin America: Institutionalization, Decay, and Collapse, Cambridge University Press, 2018, <https://doi.org/10.1080/13510347.2018.1536123>.
Mainwaring S., Scully T., sud., Building Democratic Institutions: Party Systems in Latin America, Stanford: Stanford University Press, 1995.
Merkel W., Weiffen B., „Does Heterogeneity hinder Democracy?“, Comparative Sociology 11 (3), 2012, p. 387–421, <https://dx.doi.org/10.1163/156913312X638606>.
Mirow M., Latin American Constitutions: The Constitution of Cádiz and its Legacy in Spanish America, Cambridge University Press, 2015.
Morlino L., „Good’ and ‘Bad’ Democracies: How to Conduct Research into the Quality of Democracy“, Journal of Communist Studies and Transition Politics 20 (1), 2004, p. 5–27, <https://dx.doi.org/10.1080/13523270410001687082>.
Negretto G., „Political Parties and Institutional Design: Explaining Constitutional Choice in Latin America“, British Journal of Political Science 39.1, 2009.
Negretto L. G., „Replacing and Amending Constitutions: The Logic of Constitutional Change in Latin America“, Law & Society Review 46 (4), 2012, p. 749–779, <https://doi.org/10.1111/j.1540-5893.2012.00516.x>.
Noguera F., „What do We mean when We talk about ‘Critical Constitutionalism’? Some Reflections on the New Latin American Constitutions“, Nolte Detlef, Schilling-Vacaflor Almut (sud.), New Constitutionalism in Latin America: Promises and Practices, 2016.
Nolte D., „Constitutional Change in Latin America: Power Politics or Symbolic Politics?“ Pranešimas konferencijoje „ECPR Joint Sessions“, Rennes, 2008.
Nolte D., Schilling-Vacaflor A., New Constitutionalism in Latin America. Promises and Practices, 2012, <https://doi.org/10.1017/S1537592713001321>.
Norkus Z., Kokia demokratija, koks kapitalizmas. Pokomunistinė transformacija Lietuvoje lyginamosios istorinės sociologijos požiūriu, Vilnius, 2008.
Norkus Z., Morkevičius V., Kokybinė lyginamoji analizė. Vadovėlis aukštųjų mokyklų studentams [Qualitative Comparative Analysis. A Textbook for Higher School Students], Lietuvos HSM duomenu archyvas (LiDA), Kaunas, 2011.
North C. D., „Institutions“, Journal of Economic Perspectives 5 (1), 1991, p. 97–112, <https://doi.org/10.1257/jep.5.1.97>.
Offe C., „Political Institutions and Social Power: Some Conceptual Explorations“, Stykow Petra, Beyer J. (sud.), Gesellschaft mit beschränkter Hoffnung, VS Verlag für Sozialwissenschafte, 2004.
Pérez-Liñán A., Presidential Impeachment and the New Political Instability in Latin America, Cambridge University Press, 2007, <https://doi.org/10.1017/CBO9780511510335>.
Plott C., „A Notion of Equilibrium and its Possibility Under Majority Rule“, American Economic Review 57 (2), 1967, p. 787–806.
Przeworski A. et al., Democracy and Development: Political Institutions and Well-being in the World, 1950–1990, Cambridge University Press, 2000.
Rihoux B., Ragin C. C., Configurational Comparative Methods: Qualitative Comparative Analysis (QCA) and Related Techniques, Sage Publications, 2008, <https://dx.doi.org/10.4135/9781452226569.n1>.
Riker H. W., Liberalism against Populism, San Francisco: WH Freeman, 1982, <https://EconPapers.repec.org/RePEc:cup:apsrev:v:77:y:1983:i:03:p:844-845_25>.
Roller E., The Performance of Democracies: Political Institutions and Public Policy, Oxford University Press, 2005, <https://dx.doi.org/10.1093/0199286426.001.0001>.
Sanchez-Sibony O., „Classifying Ecuador’s Regime under Correa: A Procedural Approach“, Journal of Politics in Latin America 9 (3), p.121–140.
Schneider Q. C., Claudius W., „Standards of Good Practice in Qualitative Comparative Analysis (QCA) and Fuzzy-sets“, Comparative Sociology 9.3, 2010, p. 1–35.
Schneider Q. C., The Consolidation of Democracy: Comparing Europe and Latin America, Routledge, 2008, <https://doi.org/10.7910/DVN/FUCNIM>.
UNDP, „Human Development Indices and Indicators: 2018 Statistical Update HDI“, 2018.
Uprimny R., „Recent Transformations in Constitutional Law in Latin America“, Texas Law Review 89, 2014, p. 1587–1609.
Walker N., „The Idea of Constitutional Pluralism“, The Modern Law Review 65 (3), 2002, p. 317–359.
Zürn M., „Democratic Governance Beyond the Nation-State: The EU and Other International Institutions“, European Journal International Relations 6, 2000, p. 183-221, <https://doi.org/10.1177/1354066100006002002>.
1 priedas. „Kokybinių slenksčių“ nustatymas transformuojant sąlygų ir baigmės reikšmes
Statistiniai duomenys tiesioginio kalibravimo būdu yra transformuoti į priklausymo tolydžioms neraiškioms aibėms reikšmes nustačius tris slenkstines reikšmes:
1) 0,95 (visiškas atvejo priklausymas neraiškiai aibei);
2) 0,5 (visiškas neapibrėžtumas dėl atvejo priklausymo neraiškiai aibei);
3) 0,05 (visiškas atvejo nepriklausymas neraiškiai aibei).
Toliau pateikiamas pasirinktų kokybinių slenksčių pagrindimas.
Konstitucijų keitimo sąlyga buvo dichotomizuota. Reikšmė 1 priskiriama tada, kai buvo keista konstitucija, atitinkanti naujojo konstitucionalizmo bruožus, o reikšmė 0 priskiriama, kai nebuvo priimta nauja konstitucija.
Pajamų lygybė. Siekiant nustatyti reikšmes, kurios nurodo, kada valstybėje pajamų lygybė yra didelė arba maža, yra remiamasi Pasaulio banko (toliau – PB) nurodytomis Gini indekso kategorijomis. Tačiau atsižvelgus į regiono specifiškumą, PB duomenys buvo papildyti A. Przeworskio ir kolegų tyrimo apie pajamų pasiskirstymo poveikį demokratijos stabilumui rezultatais. Anot autorių, šalis visiškai nepriklauso valstybių, kuriose pajamos pasiskirsčiusios tolygiai neraiškiai aibei, kai Gini indeksas yra didesnis nei 55, didžiausias neapibrėžtumas dėl atvejo priklausymo šalių, kuriose pajamų pasiskirstymas yra tolygus, aibei yra tada, kai Gini indekso reikšmė yra 40. Šalis priklauso valstybių, kuriose pajamos yra pasiskirsčiusios tolygiai, aibei, kai Gini reikšmė yra mažesnė nei 3584.
Išsilavinimas. Norint nustatyti, kokia turi būti pasiekta išsilavinimo indekso reikšmė, kad galėtume suskirstyti valstybes į grupes pagal išsilavinimo lygį, yra remiamasi Jungtinių Tautų (JT) organizacijos pateiktomis išsilavinimo indekso kategorijomis. Šalis visiškai priklauso išsilavinusių valstybių aibei, kai išsilavinimo indekso reikšmės yra didesnė nei 0,85, o valstybė visiškai nepriklauso išsilavinusių valstybių aibei, kai indeksas yra mažesnis nei 0,35. Remiantis JT organizacijos išvadomis, sunku įvertinti, ar valstybės išsilavinimo lygis yra aukštas, kai indekso reikšmė yra 0,6585.
Partinės sistemos institucionalizacija. S. Mainwarringas, sudarydamas indekso reikšmes, nurodo, kad valstybės partinę sistemą galima laikyti institucionalizuota, kai šios sistemos institucionalizacijos indekso reikšmė yra didesnė nei 1, o neinstitucionalizuota – kai mažesnė nei 0. Didžiausias neapibrėžtumas dėl partinės sistemos priklausymo institucionalizuotai sistemai yra, kai PSI indekso reikšmė lygi 0,586.
Visuomenės homogeniškumas. Kai visuomenės frakcionalizacijos indekso reikšmė yra didesnė nei 0,49, tada valstybės visuomenę galima laikyti nehomogeniška (visiškai nepriklauso homogeniškų visuomenių aibei). Indekso reikšmė, mažesnė nei 0,2 nurodo sąlyginai homogenišką visuomenę. Pasiekus 0,27 matą, valstybės socio-demografinės kompozicijos negalima laikyti nei homogeniška, nei heterogeniška87.
Demokratijos kokybė. Kokybiškos demokratijos rodiklių kokybiniai slenksčiai šiame darbe yra nustatyti remiantis V-Dem pateiktomis 0,8 (visiškas priklausymas kokybiškų liberalios demokratijos šalių aibei), 0,6 (didžiausias neapibrėžtumas dėl priklausymo aibei) ir 0,4 (visiškas nepriklausymas kokybiškų liberalios demokratijos šalių aibei) reikšmėmis88.
2 priedas. Tiesos lentelės
Kokybiškos demokratijos sąlygų analizė
1 lentelė. Būtinų demokratijos kokybės sąlygų analizė
|
Sąlygos |
Nuoseklumas |
Danga |
|
f_KK |
0,223958 |
0,184286 |
|
f_PAJAM_LYG |
0,253472 |
0,613445 |
|
f_ISSILAV |
0,751736 |
0,685127 |
|
f_PSI |
0,515625 |
0,542962 |
|
f_VISUOM_HOMOG |
0,442708 |
0,432937 |
|
Sąlygos |
Nuoseklumas |
Danga |
|
~f_KK |
0,776042 |
0,406364 |
|
~f_PAJAM_LYG |
0,895833 |
0,330346 |
|
~f_ISSILAV |
0,675347 |
0,333048 |
|
~f_PSI |
0,684028 |
0,314445 |
|
~f_VISUOM_HOMOG |
0,800347 |
0,380677 |
2 lentelė. Baigmės tiesos lentelė
|
f_KK |
f_PAJAM_LYG |
f_ISSILAV |
f_PSI |
f_VISUOM_HOMOG |
Atvejų skaičius |
Atvejai |
Nuoseklumas |
|
0 |
1 |
1 |
1 |
0 |
1 |
Urugvajus |
0,93617 |
|
0 |
0 |
1 |
1 |
0 |
1 |
Čilė |
0,86747 |
|
0 |
0 |
0 |
0 |
1 |
1 |
El Salvadoras |
0,545871 |
|
1 |
0 |
1 |
0 |
0 |
1 |
Argentina |
0,54375 |
|
1 |
0 |
0 |
1 |
0 |
1 |
Dominikos Respublika |
0,527132 |
|
0 |
0 |
0 |
0 |
0 |
3 |
Nikaragva, Gvatemala, Panama |
0,483974 |
|
0 |
0 |
0 |
1 |
1 |
2 |
Hondūras, Meksika |
0,465021 |
|
1 |
0 |
0 |
0 |
0 |
6 |
Bolivija, Brazilija, Ekvadoras, Kolumbija, Venesuela, Peru |
0,361502 |
|
1 |
0 |
0 |
0 |
1 |
1 |
Paragvajus |
0,252101 |
3 lentelė. Suredaguota tiesos lentelė
|
f_KK |
f_PAJAM_LYG |
f_ISSILAV |
f_PSI |
f_VISUOM_HOMOG |
Atvejų skaičius |
Atvejai |
Nuoseklumas |
|
0 |
1 |
1 |
1 |
0 |
1 |
Urugvajus |
0,93617 |
|
0 |
0 |
1 |
1 |
0 |
1 |
Čilė |
0,86747 |
|
0 |
0 |
0 |
0 |
1 |
1 |
El Salvadoras |
0,545871 |
|
1 |
0 |
1 |
0 |
0 |
1 |
Argentina |
0,54375 |
|
1 |
0 |
0 |
1 |
0 |
1 |
Dominikos Respublika |
0,527132 |
|
0 |
0 |
0 |
0 |
0 |
3 |
Nikaragva, Gvatemala, Panama |
0,483974 |
|
0 |
0 |
0 |
1 |
1 |
2 |
Hondūras, Meksika |
0,465021 |
|
1 |
0 |
0 |
0 |
0 |
6 |
Bolivija, Brazilija, Ekvadoras, Kolumbija, Venesuela, Peru |
0,361502 |
|
1 |
0 |
0 |
0 |
1 |
1 |
Paragvajus |
0,252101 |
Kokybiškos demokratijos inversijos sąlygų analizė
4 lentelė. Būtinų demokratijos kokybės inversijos sąlygų analizė
|
Sąlygos |
Nuoseklumas |
Danga |
|
f_KK |
0,54085 |
0,8275 |
|
f_PAJAM_LYG |
0,145425 |
0,747899 |
|
f_ISSILAV |
0,363562 |
0,704114 |
|
f_PSI |
0,298203 |
0,667276 |
|
f_VISUOM_HOMOG |
0,387255 |
0,804754 |
|
Sąlygos |
Nuoseklumas |
Danga |
|
~f_KK |
0,45915 |
0,562 |
|
~f_PAJAM_LYG |
0,92484 |
0,72471 |
|
~f_ISSILAV |
0,83742 |
0,87757 |
|
~f_PSI |
0,79575 |
0,77733 |
|
~f_VISUOM_HOMOG |
0,72712 |
0,73493 |
5 lentelė. Baigmės inversijos tiesos lentelė
|
f_KK |
f_PAJAM_LYG |
f_ISSILAV |
f_PSI |
f_VISUOM_HOMOG |
Atvejų skaičius |
Atvejai |
Nuoseklumas |
|
1 |
0 |
0 |
0 |
0 |
5 |
Bolivija, Brazilija, Ekvadoras, Kolumbija, Venesuela |
1 |
|
1 |
0 |
0 |
1 |
0 |
1 |
Dominikos Respublika |
1 |
|
1 |
0 |
1 |
0 |
0 |
1 |
Paragvajus |
0,922481 |
|
0 |
0 |
0 |
0 |
1 |
1 |
Argentina |
0,851351 |
|
0 |
0 |
0 |
1 |
1 |
2 |
Hondūras, Meksika |
0,820408 |
|
0 |
0 |
0 |
0 |
0 |
4 |
Gvatemala, Nikaragva, Panama, Peru |
0,809896 |
|
0 |
1 |
1 |
1 |
0 |
1 |
Salvadoras |
0,572816 |
|
0 |
0 |
1 |
1 |
0 |
1 |
Čilė |
0,569149 |
6 lentelė. Suredaguota tiesos lentelė
|
f_KK |
f_PAJAM_LYG |
f_ISSILAV |
f_PSI |
f_VISUOM_HOMOG |
Atvejų skaičius |
~f_DEM_KOK |
Atvejai |
Nuoseklumas |
|
1 |
0 |
0 |
0 |
0 |
5 |
1 |
Bolivija, Brazilija, Ekvadoras, Kolumbija, Venesuela |
1 |
|
1 |
0 |
0 |
1 |
0 |
1 |
1 |
Dominikos Respublika |
1 |
|
1 |
0 |
1 |
0 |
0 |
1 |
1 |
Paragvajus |
0,922481 |
|
0 |
0 |
0 |
0 |
1 |
1 |
0 |
Argentina |
0,851351 |
|
0 |
0 |
0 |
1 |
1 |
2 |
0 |
Hondūras, Meksika |
0,820408 |
|
0 |
0 |
0 |
0 |
0 |
4 |
0 |
Gvatemala, Nikaragva, Panama, Peru |
0,809896 |
|
0 |
1 |
1 |
1 |
0 |
1 |
0 |
Salvadoras |
0,572816 |
|
0 |
0 |
1 |
1 |
0 |
1 |
0 |
Čilė |
0,569149 |
1
2
3
4
5
6
7
8
9
10
11
12
13
14
15
16
17
18
19
20
21
22
23
24
25
26
27
28
29
30
31
32
33
34
35
36
37
38
39
40
41
42
43
44
45
46
47
48
49
50
51
52
53
54
55
56
57
58
59
60
61
62
63
64
65
66
67
68
69
70
71
72
73
74
75
76
77
78
79
80
81
82
83
84
85
86
87
88