Specialusis ugdymas / Special Education ISSN 2424-3299 (Online)
2023, 1(45), pp. 95–115 DOI: https://doi.org/10.15388/se.2023.45.6
Rita Raudeliūnaitė
Mykolo Romerio universitetas, Vilnius, Lietuva
ritara@mruni.eu
https://orcid.org/0000-0003-0430-2025,
Vida Gudžinskienė
Mykolo Romerio universitetas, Vilnius, Lietuva
vida.gudzinskiene@mruni.eu
https://orcid.org/0000-0003-0232-9099
Anotacija. Straipsnyje pateikiami kokybinio tyrimo rezultatai, atskleidžiantys asmenų, turinčių intelekto negalią, įgalinimo veiksnius dienos centruose. Įgalinant asmenis, turinčius intelekto negalią, svarbu pozityvus požiūris, pagarba šių asmenų nuomonei, priimant su jais susijusius sprendimus, individualių asmens poreikių atliepimas rengiant, įgyvendinant ir vertinant individualius planus. Svarbu sukurti fizinę, informacinę ir komunikacinę aplinką, didinančią asmens aktyvumą, jo savarankiškumą, taip pat palankią psichosocialinę aplinką dienos centro bendruomenėje ir įtraukti asmenis, turinčius intelekto negalią, į įvairių lygių dienos centro sprendimų priėmimą ir veiklas bei palaikyti ir ugdyti šių asmenų kompetencijas, didinančias savarankiškumą.
Reikšminiai žodžiai: asmenys, turintys intelekto negalią; dienos centrai; įgalinimas.
________
Received: 27/04/2023. Accepted: 18/11/2023
Copyright © Rita Raudeliūnaitė, Vida Gudžinskienė, 2023. Published by Vilnius University Press.
This is an Open Access article distributed under the terms of the Creative Commons Attribution License, which permits unrestricted use,
distribution, and reproduction in any medium, provided the original author and source are credited.
Jungtinių Tautų neįgaliųjų teisių konvencijoje (2006) akcentuojama asmenų, turinčių negalią, įsitraukimo į visuomenę galimybių svarba. Žmonių, turinčių negalią, įtraukties į visuomenę kontekste svarbią reikšmę turi įgalinančios socioedukacinės paslaugos. Kamas (2021) pažymi, kad įgalinimo tikslas, teikiant paslaugas, nėra vienmatis, jis apima tris lygmenis. Pirmasis – asmeninis lygmuo, sietinas su asmens įgalinimu, ugdantis kompetencijas ir veiksmingumą, valdyti savo aplinką ir įgyti apsisprendimo teisę ir savarankiškumą. Antrasis – tarpasmeninis įgalinimas, padedantis asmenims ugdytis kompetencijas, didinančias šių asmenų gebėjimus daryti tarpasmeninę įtaką, atlikti vertingus socialinius vaidmenis, mažinti neigiamus stereotipus santykiuose su kitais asmenimis. Trečiasis lygmuo – struktūrinis įgalinimas, leidžiantis paslaugų vartotojams suvokti, kad jie gali veikti kartu, spręsdami struktūrines problemas, ir stengtis įveikti socialinę nelygybę ir neteisybę, daryti įtaką struktūriniams pokyčiams, keisti socialinę politiką. Įgalinimas, Kamo (2021) teigimu, kreipia socialinių darbuotojų dėmesį į paslaugų gavėjų, visuomenės ir politikos santykį, todėl yra ne tik orientuotas į paslaugų gavėjų individualių kompetencijų didinimą, bet ir keičia nelygius galios santykius visuomenėje bei didina paslaugų gavėjų galios jausmą daryti įtaką politinių sprendimų priėmimo procesui. Pažymima, kad socialiniai darbuotojai, padėdami paslaugų gavėjams įgyti galių, taip pat turi atkreipti dėmesį į galios ir priklausomybės santykį. Neįmanoma įgalinti paslaugų gavėjų, jei jie priklausomi nuo socialinių darbuotojų, o paslaugą teikiančios įstaigos ir darbuotojai mano turintys daugiau pranašumų ir išteklių negu paslaugų gavėjai. Nelygios galios santykio tarp socialinių darbuotojų ir paslaugų gavėjų keitimas yra svarbus įgalinimo praktikoje. Įgalinimas – nuolatinis procesas, o socialiniai darbuotojai turi tikėti, kad paslaugų gavėjai turi galimybę ir potencialo į šį procesą įsitraukti (Kam, 2021). Taigi įgalinimas turi būti centrinis, privalomas socialinių paslaugų organizacijų misijos elementas, socialinę gerovę reglamentuojančių įstatymų šerdis (Ruškus et al., 2013).
Teikiant įgalinančias socialines paslaugas asmenims, turintiems intelekto negalią, svarbią reikšmę turi dienos centrai. Šie centrai – viena iš bendruomeninių socialinių paslaugų rūšių, suteikianti galimybę asmeniui, turinčiam negalią, gyventi bendruomenėje ir joje gauti individualią, poreikius atitinkančią ir savarankiškumą skatinančią pagalbą. Pastaruoju metu Lietuvoje akcentuojama bendruomeninių paslaugų plėtra negalią turintiems asmenims. Tai ypač aktualu pereinant nuo institucinės globos prie šeimoje ir bendruomenėje teikiamų paslaugų neįgaliesiems (žr. Lietuvos Respublikos socialinės apsaugos ir darbo ministro 2014 m. vasario 14 d. įsakymą Nr. A1-83 „Dėl perėjimo nuo institucinės globos prie šeimoje ir bendruomenėje teikiamų paslaugų neįgaliesiems ir likusiems be tėvų globos vaikams 2014–2020 metų veiksmų plano“). Globos įstaigų pertvarkos procese numatyta plėtoti ir dienos centrų infrastruktūrą, didinti jose teikiamų paslaugų spektrą.
Dienos centrų paskirtis, teikiant kompleksines paslaugas, atitinkančias asmens, turinčio negalią, individualius poreikius, – šiuos asmenis įgalinti. Centrai atlieka svarbią socioedukacinę funkciją, kuri pasireiškia per socioedukacines veiklas. Socioedukacinė veikla – tai permanentinį pobūdį turinti veikla, orientuota į asmens galių plėtojimą ir ugdymą, užtikrinant pozityvią asmens socializaciją jo aplinkoje, jo įgalinimą ir įtrauktį į visuomenę (Šereivienė & Žydžiūnaitė, 2005). Socioedukacinė veikla yra kompleksinė, apimanti individo ugdymą, rūpinimąsi juo, pagalbą jam socializacijos procese, kad jis taptų savarankiškesnis, galėtų lengviau įsitraukti į visuomenę. Dienos centrai, kaip bendruomeninė paslauga, yra viena iš institucinės globos alternatyvų ir sudaro galimybę žmonėms, turintiems negalią, būti savo namuose, gyventi savarankiškiau, gauti socioedukacines paslaugas arti namų. Kaip teigia Black ir kt. (2018), bendruomenėse veikiantys dienos centrai pripažįstami kaip daug geresnė tradicinių globos namų alternatyva. Dienos centruose teikiamos paslaugos yra palankesnės asmens įgalinimui, jo autonomijai (Adomaitytė-Subačienė, 2019). Dienos centrų lankymas didina asmenų, turinčių negalią, savivertę, savarankiškumą, motyvaciją dalyvauti įvairiose veiklose, gerina emocinę savijautą, sukuria priklausymo bendruomenei jausmą (Anderson et al., 2020). Dienos centruose vykstančios grupinės veiklos padeda žmonėms, turintiems negalią, kurti pasitikėjimu pagrįstus, palaikančius santykius, plėsti savo socialinį tinklą (Webber & Fendt-Newlin, 2017). Dienos centrai sudaro galimybes asmenims, turintiems intelekto negalią, tobulinti asmeninius ir socialinius įgūdžius, plėsti socialinius tinklus, padeda šių asmenų šeimoms ir globėjams išvengti perdegimo ir mažina intelekto negalią turinčių asmenų priklausomybę nuo savo artimųjų (Makharadze et al., 2010). Raudeliūnaitės ir Gudžinskienės (2017) atliktas tyrimas atskleidžia trejopą dienos centruose teikiamų paslaugų naudą: naudą intelekto negalią turintiems asmenims (gerėja jų socialiniai, darbiniai įgūdžiai, įgyjama naujų įgūdžių, įgyti įgūdžiai pritaikomi kitose aplinkose, mažėja emocijų ir elgesio problemų, didėja saugumo jausmas, savivertė, pasitikėjimas savimi), naudą tėvams (mažėja nerimas dėl vaiko, keičiasi požiūris į jį pozityvia linkme, atsiranda laisvo laiko savo poreikiams realizuoti), naudą bendruomenei (keičiasi požiūris į asmenį, turintį negalią, ir į jo šeimą teigiama linkme, didėja tolerancija ir negalią turinčių asmenų įtrauktis į bendruomenę). Vis dėlto, kaip rodo pastarųjų metų tyrimai, dienos centruose svarbu asmenis, turinčius negalią, veiksmingiau įtraukti į sprendimų priėmimą, plėsti teikiamų paslaugų spektrą, suteikti daugiau užimtumo paslaugų (Lietuvos neįgaliųjų draugija, 2018). Siekiant asmenims, turintiems intelekto negalią, suteikti įgalinančias, jų poreikius atitinkančias paslaugas, svarbu atlikti mokslinius tyrimus ir, remiantis tyrimo rezultatais, modeliuoti dienos centruose teikiamas paslaugas. Mokslinių darbų analizė rodo, kad tyrimų, kuriuose analizuojamas intelekto negalią turinčių asmenų įgalinimas teikiant socialines paslaugas dienos centruose, stokojama. Taigi svarbu tirti realias dienos centrų patirtis ir identifikuoti veiksnius, padedančius įgalinti asmenis, turinčius intelekto negalią.
Įgalinimą socialinių paslaugų kontekste Lietuvoje analizavo Gvaldaitė (2009), Ruškus ir kt. (2013), Dvarionas ir kt. (2014), Venclovienė (2015). Negalią turinčių asmenų įgalinimo teorinius ir praktinius aspektus aptarė Ruškus ir Mažeikis (2007). Sociokultūrinių veiklų vaidmenį negalią turintiems asmenims įgalinti, įtraukti į bendruomenę nagrinėjo Šinkūnienė (2012). Vilkelienė ir Kulikauskienė (2014) analizavo intelekto negalią turinčių jaunuolių, lankančių bendruomenės socialinės pagalbos centrus, įgalinimą pasitelkus meninio ugdymo iniciatyvas.
Šio tyrimo tikslas – remiantis socialinių darbuotojų patirtimi, atskleisti asmenų, turinčių intelekto negalią, įgalinimo veiksnius dienos centruose. Socialinių darbuotojų, dirbančių su asmenimis, turinčiais intelekto negalią, patirčių analizė svarbi įgalinimą sąlygojantiems veiksniams dienos centruose išryškinti. Remiantis moksliniais tyrimais pagrįstomis žiniomis, būtų galima gerinti įgalinančių paslaugų kokybę ir plėtrą dienos centruose, nes užimtumo paslaugos padeda formuoti ar atkurti asmenų, turinčių negalią, savarankiškumo kasdienėje veikloje įgūdžius ir didina šių asmenų įtrauktį į bendruomenę.
Tyrimo metodai. Pasirinktas kokybinis tyrimas. Kokybinių tyrimų paskirtis – atskleisti mažai tyrinėtus socialinius reiškinius, žmonių patyrimus ir išgyvenimus, realiose aplinkose vykstančias žmonių tarpusavio sąveikas, elgesio strategijas ir kultūrą, tyrimo dalyvių patirties įprasminimus, kasdienio gyvenimo bruožus ir ypatumus (Žydžiūnaitė & Sabaliauskas, 2017). Asmenų, turinčių intelekto negalią, įgalinimas dienos centruose – mažai tyrinėtas reiškinys. Straipsnyje šį reiškinį, pasirinkus kokybinį tyrimą, siekiama atskleisti per dienos centruose dirbančių socialinių darbuotojų individualias patirtis. Tyrimas buvo atliekamas taikant pusiau struktūruoto interviu metodą. Tyrimo metu pateikti šie klausimai: Kokie veiksniai ir kaip padeda teikti įgalinančias paslaugas asmenims, turintiems intelekto negalią, dienos centruose? Kaip pasiekti, kad asmenys, turintys intelekto negalią, įgytų daugiau galių savo gyvenime?
Tiriamųjų atranka ir tyrimo organizavimas. Taikyta tikslinė tyrimo dalyvių atranka. Tyrimo dalyviai pasirinkti pagal šiuos kriterijus: 1) socialiniai darbuotojai, dirbantys dienos centruose su asmenimis, turinčiais intelekto negalią; 2) socialinio darbo patirtis dienos centruose dirbant su asmenimis, turinčiais intelekto negalią, ne mažesnė negu 3 metai. Tyrimas atliktas 2022 m. balandžio–gegužės mėn. nuotoliniu būdu, darant interviu įrašus. Tyrime dalyvavo aštuoni socialiniai darbuotojai, atitinkantys tyrėjų nustatytus kriterijus. Reflektuodami savo patirtis, tyrimo dalyviai rėmėsi prisiminimais ir apmąstymais.
Tyrimo etika. Tyrėjai kreipėsi į dienos centrų administracijas, pristatė tyrimo tikslą, jo pobūdį ir anonimiškumo bei konfidencialumo užtikrinimo sąlygas. Prašyta rekomenduoti socialinius darbuotojus, atitinkančius tyrėjų nustatytus kriterijus, dalyvauti tyrime. Su socialiniais darbuotojais, sutikusiais dalyvauti tyrime, tyrėjai susisiekė asmeniškai. Tyrimas grįstas pagarbos asmens laisvam apsisprendimui dalyvauti tyrime, informavimo apie tyrimą, supažindinimo su tyrimo tikslu, tyrimo duomenų rinkimo metodu ir tyrimo procedūra, geranoriškumo ir nusiteikimo nekenkti tiriamam asmeniui, konfidencialumo ir anonimiškumo principais (Wiles, 2013). Analizuojant tyrimo rezultatus, tyrimo dalyvių charakteristikos pristatomos apibendrintai, užtikrinant, kad nebūtų pateikiama asmeninė informacija, leidžianti atpažinti konkretų tyrimo dalyvį. Taigi užtikrintas tyrimo dalyvių anonimiškumas ir konfidencialumas, asmenį identifikuojančios informacijos neatskleidžiama. Tyrimo dalyvių vardai koduoti raidėmis (A, B, C ir kt.). Užkoduoti visų tyrimo dalyvių duomenys prieinami tik tyrėjams.
Kokybinio tyrimo duomenų analizė. Gauti duomenys analizuoti taikant kokybinės turinio analizės metodą. Kokybinė turinio analizė atlikta laikantis induktyvios, tyrimo duomenimis grįstos kategorijų ir subkategorijų sudarymo logikos. Atliekant kokybinę turinio analizę, laikytasi šio nuoseklumo: transkribuotų interviu tekstų daugkartinis skaitymas ir permąstymas, duomenų kodavimas, išskiriant tekste prasminius vienetus, kodų grupavimas į kategorijas ir subkategorijas bei jų integravimas į analizuojamo fenomeno kontekstą, tyrimo duomenų analizavimas kitų tyrėjų įžvalgų kontekste (Creswell, 2014).
Tyrimo duomenis, aptarę duomenų analizės eigą, analizavo du tyrėjai. Pirminę duomenų analizę tyrėjai atliko atskirai, koduodami duomenis ir formuodami pirmines kategorijas ir subkategorijas. Tai įgalino tyrėjus suvokti surinktus duomenis ir į juos įsigilinti (Cypress, 2017). Vėliau tyrėjai tarpusavyje lygino pirmines išskirtas kategorijas ir subkategorijas, diskutavo ir galutinai jas suformavo bendru sutarimu.
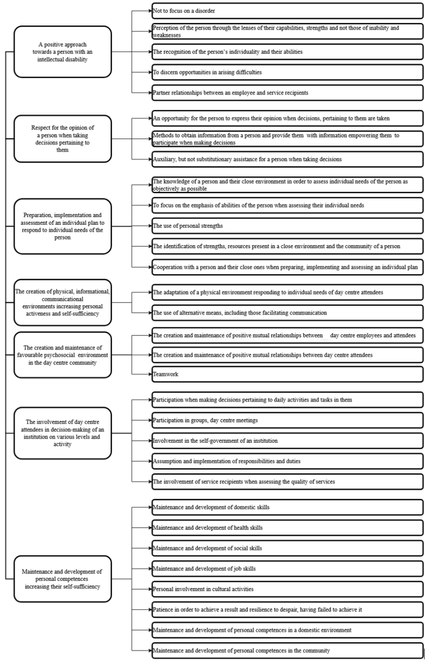
Tyrimas atskleidė veiksnius, padedančius socialiniams darbuotojams įgalinti asmenis, turinčius intelekto negalią, dienos centruose (1 pav.).
Išanalizavus tyrimo duomenis nustatyta, kad socialiniai darbuotojai suvokia įgalinančios praktikos svarbą. Tyrimo dalyviai teigė, kad „nepakanka tik dokumentuose deklaruoti įgalinimą, bet svarbu, kad įgalinimas būtų realizuojamas praktiškai kasdienėje centro veikloje“1 (D), „kas iš to, kad įgalinimas bus įrašytas planuose, vizijose ir misijose, bet svarbu, kad, teikiant kasdienes paslaugas, centro lankytojai būtų įgalinti“ (A). Socialiniai darbuotojai, dalyvavę tyrime, pripažįsta savo vaidmenį asmens įgalinimo procese ir pažymi, kad „sėkmingam asmens įgalinimui svarbu, kaip mes organizuojame veiklas, kaip praktiškai įgyvendinam įgalinimą“ (H). Taigi galima teigti, kad tyrimo dalyviai pripažįsta įgalinimo proceso svarbą ir savo vaidmenį asmens, turinčio negalią, įgalinimo procese.
1 paveikslas
Veiksniai, padedantys socialiniams darbuotojams įgalinti asmenis, turinčius intelekto negalią, dienos centruose

Pozityvus požiūris į asmenį, turintį intelekto negalią. Tyrimas atskleidė, kad asmens įgalinimo procese svarbu pozityvus požiūris į asmenį, turintį intelekto negalią. Pozityvus požiūris į asmenį, tyrimo dalyvių teigimu, turi vyrauti „visoje dienos centro kultūroje, pradedant vadovu, socialiniais darbuotojais, jų padėjėjais“ (B). Svarbu, kad tokį požiūrį turėtų ne tik socialinių paslaugų teikėjai, bet ir pats asmuo, turintis negalią, jo artimieji. Pozityvus požiūris turėtų vyrauti ir visuomenėje. Tyrimo dalyvių manymu, „svarbu socialinio darbuotojo ir visos komandos pozityvus požiūris, tada gali daug ką padaryti, taip pat svarbus ir centro lankytojų, tada ir jų artimųjų pozityvus nusiteikimas, požiūris, kiek jie nusiteikę, kad įgalinimas vyktų. Mano požiūriu, sėkmės raktas – pozityvus požiūris, nes tai įgalinimo raktas“ (G); „Aš manau, kad viskas priklauso nuo teigiamo požiūrio, nusiteikimo. Jei aplinkiniai ir pats žmogus turi tokį nusiteikimą, požiūrį, tai lengviau įgalinti žmogų“ (A); „Manau, kad labai svarbus visos aplinkos teigiamas, nenuvertinantis, nesumenkinantis požiūris į intelekto negalią turintį asmenį, nes dažnu atveju atvirkščiai būna“ (C). Minėtina, kad pozityvus požiūris į asmenį, turintį negalią, įgalina šį asmenį veikti, pasitikėti savimi.
Pozityvus požiūris į asmenį sietinas su žvelgimu į asmenį per jo galių, stiprybių, o ne negalėjimo, silpnybių prizmę. Kaip teigia vienas iš tyrimo dalyvių, svarbu „susikoncentruoti į asmens turimas galias, plėtoti jo gebėjimus tikint, kad jis kažką gali pasiekti“ (G). Tyrimo dalyvio teigimu, „stiprybių akcentavimas sukuria pasitikėjimo jausmą, atvirumą bendradarbiavimui“ (E).
Siekiant pozityvaus požiūrio į asmenį, turintį negalią, svarbu nesusikoncentruoti į sutrikimą: „Norint įgalinti asmenį, labai svarbu fokusuotis į jo galias, o ne į negalias“ (A). Tyrimo dalyviai pažymi, kad „kai kuriems dienos centro darbuotojams ir šeimų nariams reikia keisti požiūrį, atsisakyti „kitokių“ etikečių klijavimo, sumenkinančių intelekto sutrikimą turinčių žmonių galimybes“ (D). Išsakytos mintys liudija, kad koncentravimasis į sutrikimą ir asmens vertinimas per negalios prizmę apsunkina įvairiapusį bendradarbiavimą, įgalinančios aplinkos kūrimą.
Minėtinas dar vienas pozityvų požiūrį į asmenį sąlygojantis veiksnys – asmens individualumo ir jo galimybių pripažinimas. Tyrimo dalyviai akcentavo, kad „požiūris į neįgalųjį turi būti formuojamas žiūrint į jo individualias potencines galimybes, išryškinant jo stipriąsias puses“ (B). Reikia „akcentuoti, ką žmogus gali, o ne ko negali“ (F). Įgalinant asmenį, svarbu kylančiuose sunkumuose įžvelgti galimybes. Tai iliustruoja tyrimo dalyvių teiginiai: „Dirbant su intelekto sutrikimą turinčiais žmonėmis kyla nemažai sunkumų, bet darbuotojui svarbu turėti optimistinę poziciją, nesusikoncentruoti ties kylančiais sunkumais, o juos paversti galimybėmis“ (H); „Man, kaip darbuotojui, svarbu nenuleisti rankų, galvoti, kad aš galiu, tada labiau imu pasitikėti savimi ir dienos centro lankytoju“ (E). Taigi socialinių darbuotojų optimistinė pozicija ir kylančių sunkumų, kaip galimybių šaltinio, vertinimas yra svarbus veiksnys įgalinant intelekto negalią turinčius asmenis.
Į asmenį orientuoto, pozityvaus požiūrio kontekste svarbu ir partneriški darbuotojo bei paslaugų gavėjo santykiai. Tyrimo dalyvių nuomone, „nuo pat pirmos susitikimo su lankytoju minutės svarbu su jais kurti lygiaverčius santykius, parodant, kad man rūpi jo nuomonė, jo norai...“ (C), „centre stengiamės sukurti glaudžius, partneriškus santykius su lankytojais, savo nuomone, žinojimu neužgožti kliento poreikių“ (G). Asmens įgalinimas neįmanomas be jo, kaip lygiaverčio partnerio, pripažinimo: „Jeigu tu žmogų, turintį negalią, priimi kaip lygiavertį, o ne viską nuleidi iš viršaus, tik tokiu atveju gali įgalinti žmogų. Aš manau, kad čia vienas svarbiausių dalykų, kad reikia nenuleisti visko iš viršaus, nedaryti už asmenį, o jį paskatinti, padėti daryti pačiam, neužgožti jo savarankiškumo, nenugalinti ten, kur jis jau gali ir galės padaryti ateityje, padedant jam plėtoti galias“ (A). Partneriškų santykių kūrimas įgalina dienos centro lankytojus būti aktyviems įgalinimo procese, o socialiniams darbuotojams padeda geriau pažinti dienos centro lankytojų individualius poreikius ir juos atliepti.
Pagarba asmens nuomonei, priimant su juo susijusius sprendimus. Išanalizavus tyrimo duomenis, nustatytas dar vienas svarbus veiksnys, padedantis socialiniams darbuotojams teikti įgalinančias paslaugas asmenims, turintiems intelekto negalią, dienos centruose. Tai pagarba asmens nuomonei, kuri pasireiškia per galimybę asmeniui išsakyti savo nuomonę, kai priimami su juo susiję sprendimai. Tyrimo dalyviai nurodė, kad, įgalindami centro lankytojus, jie skatina juos išsakyti savo norus, priimti pasirinkimus: „Klausiu, kokia veikla jie norėtų užsiimti laisvalaikiu, kur norėtų nuvykti, jei gamina maistą, tai ką ir kaip norėtų gaminti“ (D). Akcentuota, kad įgalinimo procese svarbu surinkti kuo daugiau informacijos apie kiekvieną paslaugų gavėją, jog būtų atskleisti jo norai ir svajonės. Atsižvelgimas į asmens nuomonę, jo norų ir svajonių supratimas, įvertinimas, socialinių darbuotojų nuomone, padeda asmeniui tapti aktyvesniam, motyvuotam ir siekti savo tikslų: „Kai žinai žmogaus norus, jo svajones ir padedi jas atliepti, tai paties žmogaus motyvacija, aktyvumas didėja. Turi žmogų motyvuoti atliepdamas jo poreikius, kad jis pajaustų to, ką daro, prasmę, norėtų tai daryti, o nedarytų tik dėl to, kad kažkas jam liepė“ (B).
Socialiniai darbuotojai įvairiais būdais siekia išsiaiškinti paslaugų gavėjų norus, nuomonę, todėl ne mažiau svarbus įgalinimo proceso veiksnys – informacijos iš asmens gavimo ir informacijos jam suteikimo būdai, įgalinantys asmenį dalyvauti priimant sprendimus. Šiame procese labai svarbu panaudoti tinkamus komunikacijos su asmenimis, turinčiais negalią, būdus, priemones, leidžiančius suprasti asmens norus, lūkesčius, galimybes. Atkreiptinas dėmesys, kad intelekto negalią turintiems asmenims dėl intelekto negalios nulemtų sunkumų gana sunku išreikšti mintis, norus, verbaliai komunikuoti: „Labai svarbus individualus priėjimas prie kiekvieno, nes ne kiekvienas gali pasakyti, ko nori, ne kiekvienas verbaliai kalba, todėl svarbu pasitelkti įvairias priemones tiek informacijai gauti, tiek jai pateikti“ (C); „Svarbu surasti kelius, kaip susikalbėti su žmogumi“ (H). Antra vertus, intelekto negalią turintys asmenys nereiškia savo norų dėl jų aplinkoje susiklosčiusių aplinkybių, nes kiti jų neskatino reikšti norų, neklausdavo jų nuomonės, už juos priimdavo sprendimus. Tai iliustruoja tyrimo dalyvių mintys: „Kai kurie centro lankytojų artimieji sako, kad neklaustume jo nuomonės, nes jie jos nepasakys dėl intelekto sutrikimo, todėl nėra prasmės jo klausti“ (G); „Yra lankytojų, kurie nepratę reikšti savo nuomonės, nes jų aplinka neskatino jų tai daryti, kiti nuspręsdavo, kas tam žmogui tinkama, kas netinkama...“ (E).
Tyrimo rezultatai rodo, kad socialiniai darbuotojai, siekdami gauti informacijos iš asmens ir informaciją teikdami, naudoja įvairius būdus ir priemones individualiems asmens poreikiams atliepti. Tyrimo dalyvių teigimu, kai centro lankytojui sunku mintis išreikšti verbaliai, „tokiose situacijose svarbu pastebėti asmens neverbalinę kalbą, naudoti alternatyvią komunikaciją, siekiant suprasti, ko nori asmuo. Pavyzdžiui, prašome nupiešti, parodyti gestais, paveikslėliais ir pan.“ (F).
Asmens įgalinimo procese, išlaikant pagarbą asmens orumui, svarbi pagalbinė, bet ne pakaitinė pagalba, asmeniui priimant sprendimus. Kai asmens sprendimų priėmimo galimybės susilpnėjusios dėl negalios, priimant sprendimus svarbi pagalba. Svarbu, kad ši pagalba būtų orientuota į asmens savarankiškumo skatinimą, kad būtų gerbiama ir pripažįstama asmens valia, atstovaujama geriausiems jo interesams, kad nebūtų priimami pakaitiniai sprendimai. Pakaitinis sprendimų priėmimas reiškia, kad iš asmens atimama teisė priimti savarankiškus sprendimus. Minėtu atveju sprendimus priima kiti asmenys: šeimos nariai, socialiniai darbuotojai, globėjai ir pan. Taip sumenkinama viena iš pagrindinių žmogaus teisių – teisė į sprendimų priėmimą, asmuo tampa nugalinamas. Tyrimo dalyvių manymu, teikiant pagalbą sprendimams priimti, svarbu „suteikti kuo išsamesnę informaciją žmogui suprantamais būdais ir kalba apie galimas jo elgesio, sprendimo ar tam tikro įvykio pasekmes“ (A), „nors kartais lankytojo norai ir sprendimai gali atrodyti nerealūs, tačiau socialinio darbuotojo pareiga yra ne juos paneigti, o padėti žmogui geriau suprasti situaciją bei galimas būsimų sprendimų pasekmes“ (D). Išsakytos mintys rodo į asmenį orientuotą socialinių darbuotojų požiūrį, skatinantį ieškoti būdų, priemonių, siekiant suteikti didesnę galią dienos centro lankytojams priimti sprendimus. Galima teigti, kad dienos centrų socialiniai darbuotojai keičia anksčiau vyravusį globėjišką požiūrį, kai paslaugų gavėjas buvo laikomas silpnesniuoju, kuriam reikalinga pagalba, o darbuotojas – stipresniuoju, galinčiu suteikti pagalbą ir spręsti, kas asmeniui, turinčiam negalią, geriausia.
Individualaus plano rengimas, įgyvendinimas ir vertinimas, atliepiant individualius asmens poreikius. Individualaus plano įgyvendinimas sudaro galimybę dienos centre ir už jo ribų vykstančiame visuomeniniame gyvenime plėtoti asmens, turinčio negalią, socialinį įgalinimą. Tyrimo dalyvių teigimu, „asmens individualus planas sudaro galimybę sistemingai ir planingai vykdyti asmens įgalinimo tikslus“ (B), „įgalinimas prasideda nuo individualaus plano parengimo, atsižvelgiant į asmens poreikius, nes įgalinimas chaotiškai vykti negali“ (G). Tyrimo dalyviai nurodo, kad „rengiant individualų planą kiekvienam lankytojui, turinčiam negalią, sudaromos galimybės į jį įsitraukti ir tapti aktyviam“ (H), „centro lankytojas, nepaisant jo negalios, kalbinių gebėjimų, yra įtraukiamas į savo plano sudarymą“ (E). Individualūs planai dienos centro lankytojams rengiami jiems „suprantama kalba, pavyzdžiui, vizualizuojamos veiklos, naudojamos piktogramos“ (A).
Rengiant individualų dienos centro lankytojo planą, norint šį asmenį įgalinti, svarbus asmens ir jo artimos aplinkos pažinimas, siekiant kuo objektyviau įvertinti individualius asmens poreikius. Asmens situacijos supratimas, jo poreikių identifikavimas, išsamiai atlikta analizė – svarbus asmens įgalinimo veiksnys. Tyrimo dalyvių nuomone, siekdamas „žmogų įgalinti turi labai gerai jo situaciją suprasti, žinoti jo poreikius“ (A). Kaip rodo tyrimo duomenys, dienos centro lankytojų individualumą socialiniai darbuotojai siekia pažinti įvairiais būdais. Analizuojami vertinimo dokumentai, tačiau, tyrimo dalyvių teigimu, juose pateikiama informacija „nieko realiai apie asmenį nepasako“ (C), „man tos informacijos mažai, ji kažkokia formali, visai kas kita pakalbėti su asmeniu, jo artimaisiais, jį stebėti dienos centre įvairiose veiklose, santykiuose su kitais, kitose aplinkose“ (E). Taigi pokalbis su asmeniu, jo artimaisiais, asmens stebėjimas pripažįstami kaip svarbūs asmens individualumo pažinimo būdai. Tyrimas atskleidžia, kad svarbu profesionaliai įsigilinti į asmens, turinčio intelekto negalią, padėtį ir parinkti atitinkamas priemones, metodus, tarpusavio bendravimo stilių: „Kuo labiau pažįsti žmogų, tuo adekvačiau gali įvertinti, ką jis gali, kokių jam kyla sunkumų, kaip geriausia jam padėti, kokius metodus taikyti, kaip su juo bendrauti“ (C).
Vertinant asmens individualius poreikius, svarbu orientuotis į jo gebėjimų, pozityvių galimybių akcentavimą. Analizuojant tyrimo dalyvių interviu, paaiškėjo, kad, siekiant pažinti asmenį, informacija apie jo negalią svarbi, bet į ją nesikoncentruojama. Daugiausia dėmesio skiriama asmens galioms, asmeninėms savybėms, jo pomėgiams, poreikiams: „Nesakau, kad nereikia pažinti negalios, reikia žinoti jai būdingus bruožus, bet, svarbiausia, reikia gilintis į tai, ką asmuo gali, moka, taip sakant, kas jame yra stipru, palaikyti jo stipriąsias puses, į jas remtis. Taip pat svarbu nepamiršti ir kokie yra jo poreikiai, ko jam stinga, ką reikia ugdytis, kad būtų labiau galintis“ (B); „Kiekvieną iš jų priimu kaip individualią asmenybę, turinčią kažką unikalaus, savito, kažką gebančio“ (F).
Tiek rengiant dienos centro lankytojo individualų planą, tiek jį įgyvendinant ar vertinant, svarbus asmens įgalinimo veiksnys – asmens stiprybių panaudojimas. Kaip teigia tyrimo dalyviai, rengiant individualų planą, svarbu „pažinti ir remtis žmogaus stiprybėmis, nes tai sudaro sąlygas ir kitiems gebėjimams ugdytis, pavyzdžiui, žmogus turi išsiugdęs pareigingumą, tai yra svarbi savybė, kuri gali padėti ugdantis įvairius įgūdžius, ar tai bus buities, ar darbiniai, ar kiti“ (D), „būtina išsiaiškinti, kas žmoguje stipru, nes stiprybių pasitelkimas motyvuoja žmogų veiklai, o jų nežinojimas, ignoravimas nepadeda įgalinti žmogaus“ (H), „nepanaudojamos asmens stiprybės pablogina situaciją“ (C). Taigi asmens įgalinimo procese svarbu pasitelkti šio asmens stiprybes, nes tikslingai panaudotos asmens galios, stiprybės skatina asmens pasitikėjimą savimi, yra svarbus jo savarankiškumo ugdymo veiksnys.
Rengiant individualius dienos centro lankytojų planus, svarbu stiprybių, resursų, esančių asmens artimoje aplinkoje ir bendruomenėje, identifikavimas ir panaudojimas. Vieno iš tyrimo dalyvių teigimu, „svarbu atrasti žmogaus artimiausios aplinkos, pavyzdžiui, šeimos, stiprybes ir jomis remtis. Ir dar svarbu ieškoti stiprybių už šeimos ribų, bendruomenėje“ (B). Galima teigti, kad asmens įgalinimo procese svarbu atrasti tiek asmens, tiek jo artimoje aplinkoje ir bendruomenėje esančius resursus ir juos panaudoti.
Rengiant individualų planą, jį įgyvendinant ir vertinant, svarbus ir bendradarbiavimas su asmeniu bei jo artimaisiais. Tyrimo dalyviai bendradarbiavimą suvokia kaip puoselėjantį paslaugų gavėjo, jo artimųjų ir darbuotojo lygiavertiškumą, partnerystę ir bendrystę. Tyrime dalyvavę socialiniai darbuotojai pripažįsta, kad, rengiant dienos centro lankytojų individualų planą, jį įgyvendinant ir vertinant, labai svarbu „bendradarbiauti su pačiu asmeniu. Jis turi būti šiame procese įtrauktas, aktyvus, kitaip sakant, ne nuleidžiamas planas, kažkas daro už jį, bet kartu su juo viskas daroma“ (E). „Individualų planą turi kiekvienas ir galiu sakyti, kad asmens dalyvavimas, bendradarbiavimas prasideda nuo plano rengimo ir toliau tęsiasi“ (G). Išsakytos mintys rodo, kad socialiniai darbuotojai supranta, jog įgalinimas socialiniame darbe glaudžiai susijęs su paslaugos gavėjo dalyvavimu. Tyrimo dalyvių manymu, rengiant asmens individualų planą, jį įgyvendinant ir vertinant, ne mažiau svarbu bendradarbiauti su dienos centro lankytojų artimaisiais: „Bendradarbiavimas su artimaisiais padeda gauti svarbios informacijos iš jų ir keistis informacija su jais sudarant planus, pasitarti ir įtraukti juos į plano realizavimą ir jo tęstinumą už centro ribų“ (A); „Planų rengimas, diskusijos, susipažinimas su iškeltais siektinais tikslais padeda tėvams įsitraukti į plano įgyvendinimą, jį tęsti namuose“ (H); „Svarbu bendradarbiauti su šeima, ieškoti būdų, kad jie įsitrauktų į jų šeimos nario, lankančio dienos centrą, įgalinimo procesą: tiek planuojant, tiek įgyvendinant, tiek aptariant sėkmes, kylančius sunkumus“ (F). Tyrimas parodė, kad glaudus bendradarbiavimas su artimaisiais padeda socialiniams darbuotojams gauti informacijos apie centro lankytojo individualius poreikius ir juos atliepti, įtraukti artimuosius į centro lankytojo individualaus plano rengimą, įgyvendinimą bei jo tęstinumą tiek namų, tiek bendruomenės aplinkoje. Iš to galima daryti prielaidą, kad socialiniai darbuotojai dienos centro lankytojų artimos aplinkos žmones laiko partneriais, galinčiais svariai prisidėti prie siekiamo bendro tikslo – įgalinti intelekto negalią turintį asmenį.
Fizinės, informacinės, komunikacinės aplinkos, didinančios asmens aktyvumą, savarankiškumą sukūrimas. Siekiant didinti asmens aktyvumą, aktualu pritaikyti fizinę aplinką, atliepiant dienos centro lankytojų individualius poreikius. Tyrimo dalyviai pažymėjo, kad fizinei aplinkai pritaikyti dienos centruose skiriama daug dėmesio: „Centro fizinė aplinka tiek viduje, tiek lauke turi būti prieinama ir saugi, nes tai padeda žmogui komfortabiliai jaustis, būti savarankiškesniam, aktyvesniam“ (D); „Stengiamės, kad patalpos būtų pritaikytos lankytojų veikloms, jų poilsiui, kad jie jaustųsi patogiai ir saugūs, savarankiškesni“ (E); „Kad žmogus galėtų dalyvauti veiklose, pritaikome jam aplinką, atliepdami jo poreikius. Vieniems reikia pritaikyti stalą ar kitą baldą, reikia įvairių techninių pagalbos priemonių, poilsiui, ramybei skirtų vietų...“ (A). Intelekto negalią turinčio asmens įgalinimo procese svarbus ir alternatyviųjų bei komunikaciją palengvinančių priemonių naudojimas, nes dalis asmenų turi informacijos priėmimo, jos apdorojimo ir komunikacijos sunkumų. Kaip nurodo tyrimo dalyviai, „norėdamas, kad intelekto negalią turintis asmuo suprastų informaciją, užduotis ir galėtų dalyvauti veiklose, stengiuosi kalbėti aiškiai, kuo paprasčiau paaiškinti, parinkti asmeniui bendravimo tempą“ (D), „bendraudamas naudoju įvairias papildomas priemones, palengvinančias aplinkos supratimą, komunikaciją, pavyzdžiui, naudoju paveikslėlius, parengiu suprantamus tekstus, naudoju gestus...“ (G). Vienas iš tyrimo dalyvių išskyrė universalaus dizaino svarbą pritaikant aplinkas, tačiau akcentavo, kad darbuotojams reikia kelti kvalifikaciją šioje srityje: „Dabar vis daugiau į praktiką ateina universalus dizainas, bet šitoje srityje dar yra sunkumų, reikia mums patiems įgyti daugiau kompetencijų, kaip taikyti jį...“ (C). Taigi socialiniai darbuotojai suvokia fizinės, informacinės, komunikacinės aplinkos pritaikymo svarbą intelekto negalią turinčių asmenų įgalinimo procese ir siekia dienos centruose sukurti asmeniui palankią aplinką.
Palankios psichosocialinės aplinkos kūrimas ir palaikymas dienos centro bendruomenėje. Palankią psichosocialinę aplinką dienos centre laiduoja pozityvių tarpusavio santykių tarp dienos centro darbuotojų ir lankytojų kūrimas ir palaikymas. Kaip nurodo tyrimo dalyviai, „mes esame kaip elgesio modelis, pirmiausia, stengiamės kurti draugišką, šiltą bendravimo atmosferą tiek tarp darbuotojų, tiek tarp darbuotojų ir pačių lankytojų“ (F), „šilti tarpusavio santykiai įgalina žmogų atviriau bendrauti, įsitraukti į veiklą, prašyti pagalbos kai kyla sunkumų, įsitraukti į problemų sprendimą“ (H). Palankiai psichosocialinei aplinkai dienos centre taip pat svarbu pozityvių tarpusavio santykių tarp dienos centro lankytojų kūrimas ir palaikymas. Tyrimo dalyviai pažymi: „Atėjus į dienos centrą naujam lankytojui, stengiamės, kad jis jaustųsi gerai, grupėje pasiruošiame šiltam jo priėmimui“ (B); „Labai padeda santykius gerinti gimtadienių ir kitų švenčių šventimas drauge“ (D); „Skatiname centro lankytojus palaikyti vienas kitą, nesumenkinti kitų, mandagiai bendrauti“ (C).
Teikiant įgalinančias paslaugas, svarbu komandinis darbas. Tyrimo dalyviai akcentavo, kad, siekiant įgalinti asmenį, visas personalas turi dirbti kaip „komanda, nes komandoje yra lengviau siekti bendrų tikslų įgalinant žmogų, tik svarbu, kad komandoje būtų atvirumas, pasitikėjimas vienų kitais“ (A). Bendradarbiavimas komandoje padeda geriau „pažinti ir atliepti individualius asmens poreikius, numatyti visiems aiškius tikslus, kiekvieno atsakomybes“ (F). Dirbant komandoje, bendradarbiaujant, galima įžvelgti sėkmes, kylančias problemas platesniame kontekste. Kaip nurodo vienas iš tyrimo dalyvių, „bendradarbiavimas padeda plačiau, iš įvairių pusių pamatyti teikiamas paslaugas ir jų naudą įgalinant žmogų, išdiskutuoti ir geriau pamatyti, kas gerai, ką galbūt reikia keisti centre, asmens artimoje aplinkoje, bendruomenėje, kad pagerėtų žmogaus įgalinimas“ (B). Labai svarbūs reguliarūs komandos susitikimai, diskusijos: „Gerai, kai organizuojami periodiniai susitikimai, kur galima pasidalinti savo patirtimi, iškelti mums kylančias problemas ir dalintis įžvalgomis, kaip jas būtų galima spręsti, išsiventiliuoti, kad neišsektum“ (E); „Dalindamiesi patirtimi mes tobulėjame, praturtiname vieni kitus praktiniais pavyzdžiais“ (H). Kaip matyti iš tyrimo rezultatų, socialiniai darbuotojai supranta komandinio darbo svarbą asmens įgalinimo procese. Žinodami vieni kitų požiūrį tam tikru klausimu, veiklos stilių, naudojamus metodus, problemas, su kuriomis buvo susidurta, komandos nariai gali priimti tinkamus sprendimus. Be to, siekdami bendrų tikslų, derindami veiklos metodus, įsipareigojimus, komandos nariai prisiima atsakomybę už asmens įgalinimą. Antra vertus, komandos darbas skatina nuolatinį kiekvieno specialisto profesinį ir asmeninį augimą, o komandos narių palaikymas yra svarbi profesinio perdegimo prevencija.
Dienos centro lankytojų įtrauktis į įvairių lygių įstaigos sprendimų priėmimą, veiklą. Svarbią reikšmę turi dienos centro lankytojų dalyvavimas priimant sprendimus, susijusius su kasdieninėmis veiklomis ir užduotimis. Kaip nurodo tyrimo dalyviai, „mes klausiame centro lankytojų, kokia veikla norėtų užsiimti, kokias užduotis ir su kuo jas norėtų atlikti. Būna, kad ateina žmogus ir sako, jog šiandien neturi nuotaikos kažkokiai veiklai, tai keičiame...“ (E). Svarbus dienos centro lankytojo dalyvavimas dienos centro grupės susirinkimuose, svarstant įvairius klausimus ir priimant sprendimus. Tyrimo dalyviai teigimu, „kviečiame į susirinkimus centro lankytojus, kad galėtume planuoti jų poreikius atitinkančias veiklas“ (A), „stengiamės atliepti lankytojų poreikius; jei kokių nors veiklų nori lankytojai, o patys negalime jų vesti, tai arba ieškome savanorių ir juos kviečiamės, arba patys ieškomės kursų ir patys tobulinamės, kad galėtume paįvairinti dienos centro lankytojų užimtumą“ (C), „stengiamės, kad visi grupės nariai pagal jų galimybes dalyvautų aptariant įvairius grupės klausimus, pasakytų savo nuomonę“ (H). Dienos centrų lankytojai įtraukiami į įstaigos savivaldą: „Turime seniūnus, kartą per mėnesį pas mus vyksta seniūnų susirinkimai, juose svarsto visiems aktualius klausimus, pavyzdžiui, kai buvo pandemija, aptarė su pandemija susijusius klausimus“ (D); „Centro lankytojai dalyvauja centro susirinkimuose, jų atstovai įtraukiami į tarybą“ (A). Svarbu ir centro lankytojų atsakomybių, įsipareigojimų prisiėmimas ir vykdymas. Tyrimas atskleidė, kad kai kurie dienos centro lankytojai yra itin aktyvūs. Jie ne tik noriai įsitraukia į centre organizuojamas veiklas, bet ir prisiima įsipareigojimus ir juos vykdo: „Mūsų centre yra lankytoja, kuri yra labai aktyvi, iniciatyvi ir atsakinga, tai, kai rengiamės į ekskursijas, ji įsipareigoja iš ryto paskambinti kitiems į ekskursiją vykstantiems žmonėms, kad jie atsikeltų laiku ir atvyktų į nustatytą vietą arba tam tikru sutartu laiku lauktų mūsų autobusiuko prie namų“ (B); „Mūsų lankytojai patys atsakingi už gimtadienių organizavimą, jie pasirūpina, kad kiekvienas parašytų po palinkėjimą <...>, sugalvoja kokia savo rankų darbo dovanėle pasveikins kolegą ar darbuotoją...“ (D). Tyrime dalyvavę socialiniai darbuotojai akcentavo savo pastangas, kad kiekvienas centro lankytojas, atsižvelgiant į galimybes, turėtų atsakomybių, įsipareigojimų dienos centre: „Grupėje, įvairiose veiklose stengiamės, kad centro lankytojas būtų įtrauktas, turėtų vienokių ar kitokių pareigybių, atsakomybių“ (E). Tyrimas parodė, kad paslaugų gavėjai įtraukiami vertinant paslaugų kokybę. Kaip nurodė tyrimo dalyviai, „mums svarbu, kaip paslaugų gavėjai vertina jiems suteikiamas paslaugas, tai stengiamės juos įtraukti į paslaugų kokybės vertinimą“ (F), „atliekame apklausas dėl paslaugų, įvairių renginių vertinimo...“ (C). Taigi, siekdami įgalinti negalią turinčius asmenis, socialiniai darbuotojai stengiasi dienos centro lankytojus įtraukti į įvairių lygių įstaigos sprendimų priėmimą, veiklas, kad šie asmenys dalyvautų dienos centro gyvenime, jaustųsi esantys svarbūs dienos centro bendruomenės nariai.
Kompetencijų, didinančių asmens savarankiškumą, palaikymas ir ugdymas. Tyrimas parodė, kad, ugdant asmens kompetencijas, didinančias jo savarankiškumą, skiriama dėmesio buitiniams įgūdžiams ugdytis ir palaikyti, t. y. maistui ruošti, palaikyti švarą ir tvarką. Tai iliustruoja tyrimo dalyvių teiginiai: „Mūsų lankytojai mokosi nusipirkti maisto produktų, gaminti maistą, kaip jį saugiai paruošti ir laikyti“ (H); „Pasiruošti, paserviruoti stalą“ (C); „Palaiko švarą ir tvarką grupėje, dienos centre, valo dulkes, plauna grindis, susitvarko daiktus, tvarko teritoriją“ (A). Tyrimo dalyviai nurodė, kad asmenų, turinčių intelekto negalią, buitinius įgūdžius palaiko ir ugdo per praktines veiklas, skatina šiuos asmenis būti savarankiškus, moko atlikti buities darbus. Socialinių darbuotojų teigimu, jų pagalba, plėtojant dienos centro lankytojų buitinius įgūdžius, yra parama, konsultavimas, pagalba, atsižvelgiant į asmens individualius poreikius.
Išanalizavus tyrimo duomenis, nustatyta, kad, ugdant asmens kompetencijas, didinančias jo savarankiškumą, dienos centre orientuojamasi ir į sveikatai palankių įgūdžių ugdymąsi. Socialiniai darbuotojai organizuoja įvairias veiklas, skatinančias dienos centro lankytojus būti fiziškai aktyvius: „Kasdien einame pasivaikščioti, kalbame ir patariame jiems aktyviai leisti laisvalaikį namuose, einame į žygius, žaidžiame įvairius judriuosius žaidimus“ (E). Ugdant sveikatai palankius įgūdžius, skiriama dėmesio sveikai mitybai: „Kalbame apie sveiką mitybą ir mokome pasiruošti sveiką maistą, daugiau vartoti daržovių, vaisių, atsisakyti nesveiko maisto“ (B). Tyrimo rezultatai parodė, kad dienos centruose rūpinamasi emocinės sveikatos palaikymu ir stiprinimu. Kaip nurodė tyrimo dalyviai, „centre puoselėjame darnius tarpusavio santykius, padedame vieni kitiems, mokomės spręsti konfliktus“ (D), „mes daug kalbamės, jei kuriam sunkus laikotarpis, palaikome jį“ (G), „mokome juos taikiai spręsti konfliktus neįžeidinėjant vieni kitų“ (F), „mokome atsipalaiduoti, kalbėtis apie savo jausmus“ (A).
Dienos centruose orientuojamasi į socialinių įgūdžių palaikymą ir ugdymą. Ypač daug dėmesio skiriama bendravimo ir bendradarbiavimo įgūdžiams ugdyti. Ugdydami socialinius įgūdžius, socialiniai darbuotojai kuria prasmingus socialinius ryšius, bendravimą su dienos centro lankytojais grindžia nuoširdumu, pagarba, tolerancija: „Tiek patys, tiek lankytojus pratiname mandagiai, pagarbiai bendrauti vienas su kitu, išklausyti vienas kitą, gerbti kito nuomonę, nors ji ir būtų kitokia“ (F). Socialiniai darbuotojai pažymėjo, kad socialinius įgūdžius jie ugdo savo asmeniniu pavyzdžiu rodydami, kaip tinkamai bendrauti ir elgtis įvairiose kasdienėse centro veiklose, išvykus už centro ribų. Organizuojami individualūs ir grupiniai praktikumai, pasitelkiamos realios ar kuriamos edukacinės situacijos.
Minėtinas ir darbinių įgūdžių palaikymas ir ugdymas. Darbinius įgūdžius dienos centruose asmenys, turintys intelekto negalią, ugdosi tvarkydami centro aplinką, dalyvaudami minėtus įgūdžius ugdančiose programose. Kaip nurodo vienas iš tyrimo dalyvių, „centre veikia keramikos, siuvimo, mezgimo, suvenyrų, žvakių liejimo, medžio dirbinių ir kitos dirbtuvės“ (D). Atkreiptinas dėmesys, kad siekiama sudaryti galimybes tokiose dirbtuvėse įgytus darbinius įgūdžius pritaikyti išeinant už dienos centro ribų: „Mūsų dienos centro lankytojai turi galimybę pritaikyti darbinius įgūdžius įvairiose įmonėse“ (B).
Svarbus asmens, turinčio negalią, įgalinimo veiksnys – asmens įsitraukimas į sociokultūrines veiklas. Dienos centruose asmenys, turintys intelekto negalią, turi galimybę dalyvauti įvairiose sociokultūrinėse veiklose. Centruose vykdoma įvairių meninės krypties studijų (muzikos, teatro, dailės ir kt.), kurias minėti asmenys gali pasirinkti. Be to, centro lankytojai turi galimybę įsitraukti į įvairius renginius, organizuojamus tiek dienos centre, tiek už jo ribų. Tai iliustruoja tyrimo dalyvių teiginiai: „Jie gali pasirinkti įvairias menines iniciatyvas pagal savo pageidavimus: teatrą, dailę, muziką ar kt.“ (B); „Centro lankytojai dalyvauja parodose, mugėse, koncertuose centre ir už jo ribų“ (E); „Einame į muziejus, parodas, vykstame į ekskursijas, dalyvaujame įvairiuose miesto renginiuose, šventėse“ (G). Asmenų, turinčių negalią, dalyvavimas sociokultūrinėje veikloje yra svarbi jų saviraiškos ir savirealizacijos priemonė, padedanti atskleisti šių asmenų gebėjimus ir juos plėtoti.
Tyrimas atskleidė, kad, ugdant ir palaikant asmens, turinčio negalią, kompetencijas, didinančias jo savarankiškumą, labai svarbus socialinio darbuotojo kantrumas siekiant rezultato ir nepasidavimas nevilčiai rezultato nepasiekus. Kaip teigia tyrimo dalyviai, „labai būna džiugu, kai matai padarytą jų pažangą, kad ir labai nedidelę, vieniems greičiau, kitiems per ilgą laiką. Nesakau, kad visada pavyksta pasiekti, kas numatyta, būna visko, bet svarbu neprarasti vilties, kartu visiems apmąstyti, kas ir kaip buvo daroma, ką gal reikia daryti kitaip“ (B). Nurodoma, kad „kartais greitų, akivaizdžių pokyčių ir nebūna. Labai individualu. Kartais iš šalies žiūrint atrodo, kad jokios pažangos, bet, kai matai visą procesą, jame dalyvauji, tai ir labai maža pažanga pagal to asmens galias, sakome, vis tiek pažanga nemaža tam asmeniui“ (F). Išsakytos mintys pagrindžia, kad tyrimo dalyviams svarbi asmens individuali pažanga, akcentuotinas ir dėmesys asmens įgalinimo procesui, t. y. kaip jis organizuojamas. Taigi tyrimo dalyviai pripažįsta įgalinimo proceso svarbą ir nesikoncentruoja tik į rezultatą.
Tyrimas parodė, kad dienos centras yra palanki aplinka, kurioje palaikomos ir ugdomos asmens kompetencijos, svarbios jo savarankiškumui ir socialiniam gyvenimui. Vis dėlto vien to nepakanka. Svarbu, kad dienos centro lankytojai galėtų turimas kompetencijas perkelti ir plėtoti kitose aplinkose. Kaip nurodo vienas iš tyrimo dalyvių, „mes siekiame, kad žmonės centre išmoktų daug dalykų, įgytų daugiau galių, kurias jie galėtų pritaikyti ir plėsti išorėje“ (G). Taigi, ugdant ir palaikant asmens kompetencijas, didinančias jo savarankiškumą, svarbus veiksnys – kitų aplinkų (namų, bendruomenės) pasitelkimas ir įgalinimo jose tęstinumas. Tyrimo dalyviai pripažįsta, kad asmens kompetencijų palaikymas ir ugdymasis namų aplinkoje yra svarbus įgalinimo veiksnys, nes „tai, ko mokomės čia, centre, svarbu yra įtvirtinti, palaikyti namuose, nes kitaip nebus jokios naudos, užsimirš, ir vėl viskas iš naujo...“ (A), „kalbamės su lankytojų artimaisiais, aptariame individualius planus, kad tas veiklas įtvirtintų ir namuose, kad namų aplinkoje būtų sudarytos sąlygos tam tikriems įgūdžiams įtvirtinti, tada būna poslinkis į priekį“ (F). Vieno iš tyrimo dalyvių teigimu, taip pat svarbu „įtraukti artimą aplinką ir konsultuoti juos kaip galėtų įgalinti tą žmogų ne tik namuose, bet ir kitur“ (B). Taigi ne mažiau svarbu asmens kompetencijų palaikymas ir ugdymasis bendruomenėje. Tyrimo dalyviai nurodo, kad, „dirbdami su centro lankytojais, dažnai juos skatiname aktyviai įsitraukti į bendruomenines veiklas, vykdome bendrus projektus, kad jie perkeltų turimus įgūdžius, juos plėtotų ir įgytų naujų kitoje – bendruomenės – aplinkoje“ (H), „palaikome glaudžius ryšius su bendruomene, einame gerų darbų daryti, dalyvaujame bendruose renginiuose ir patys juos organizuojame, supažindiname bendruomenę su mūsų dienos centro lankytojais, kad bendruomenė priimtų juos kaip lygiaverčius, kad jų nebijotų, juos palaikytų“ (C). Taigi asmens kompetencijų ugdymasis dienos centre ir jų tęstinumo užtikrinimas kitose aplinkose – svarbus veiksnys, siekiant asmens, turinčio intelekto negalią, įgalinimo.
Asmeniui, turinčiam intelekto negalią, įgalinti svarbius veiksnius įvertinsime ir remdamiesi kitų tyrėjų mokslinėmis įžvalgomis.
Pozityvus požiūris į asmenį, turintį intelekto negalią. Kaip teigia Lealas ir kt. (2020), neigiamas požiūris į intelekto negalią turinčius asmenis yra viena iš didžiausių kliūčių šiems asmenims įgalinti ir socialinei jų įtraukčiai įgyvendinti. Teigiamas požiūris prisideda prie intelekto negalią turinčių asmenų įgalinimo ir jų dalyvavimo socialinėje veikloje, gerina teikiamų paslaugų kokybę, mažina negalios stigmą. Kritsotakis ir kt. (2017) taip pat akcentuoja pozityvaus požiūrio svarbą ir nurodo, kad kuo požiūris į asmenį palankesnis, tuo labiau palankios įgalinimo nuostatos, ir atvirkščiai – kuo nepalankesnis požiūris į intelekto negalią turinčius asmenis, tuo mažiau palankios įgalinimo nuostatos. Socialiniai darbuotojai, turintys nepalankų požiūrį į intelekto negalią turinčius asmenis, teikdami paslaugas su šiais asmenimis bendradarbiauja mažiau.
Remiantis tyrimo duomenimis, galima teigti, kad požiūris į intelekto negalią turintį asmenį sietinas su požiūriu į asmenį per jo galių, stiprybių, o ne negalėjimo ar silpnybių prizmę, nesikoncentruojant į sutrikimą. Asmens stiprybių svarbą asmens įgalinimo procese akcentuoja daugelis tyrėjų. Zavadskienės ir Ruškaus (2017) teigimu, stipriųjų pusių akcentavimas skatina emancipaciją, kūrybiškumą, teigiamas nuostatas ir pokyčius kliento gyvenime. Adomaitytė-Subačienė (2019) pažymi, kad itin svarbus socialinio darbuotojo įsigalinimas, o kliento įgalinimo įrankis yra optimizmas, tikėjimas pokyčiais ir pasitikėjimas vienas kitu, asmens stiprybių akcentavimas socialiniame darbe. Ruškus ir Mažeikis (2007, p. 152) nurodo, kad „asmens matymas iš trūkumo, sutrikimo pozicijų užveria kelius įžvelgti asmens gebėjimus, saviraiškos ir dalyvavimo galimybes“.
Pozityvus požiūris sietinas ir su asmens individualumo ir jo galimybių pripažinimu bei galimybių įžvelgimu kylančiuose sunkumuose. Kaip pabrėžia Miley ir kt. (2013), socialiniai darbuotojai, kurie savo praktikoje remiasi stipriųjų pusių perspektyva, turi gebėti lanksčiai interpretuoti klientų problemas, į sunkumus žiūrėti kaip į spręstinus iššūkius ir augimo galimybes. Kaip rodo tyrimo rezultatai, pozityvus požiūris neatsiejamas nuo partneriškų darbuotojo ir paslaugų gavėjo santykių. Zavadskienės ir Ruškaus (2017) teigimu, įgalinimo kontekste geriausių rezultatų pasiekiama bendradarbiaujant su klientais ir aplinkos išteklius laikant neišnaudotų galimybių šaltiniu. Ruškus ir Mažeikis (2007) pažymi, kad, ekspertines galias priskyrus specialistams, asmenys, turintys negalią, ir jų artimieji priima pasyvaus vartotojo vaidmenį, todėl asmens įgalinimui būtinas jo paties ir jo artimosios aplinkos kaip lygiaverčių partnerių pripažinimas.
Minėtina, kad pozityvaus požiūrio komponentai asmens įgalinimo procese sudaro prielaidas užtikrinti asmens, turinčio negalią, orumą, atliepti individualius dienos centro lankytojų poreikius, skatinti minėtų asmenų savarankiškumą ir veiklą.
Pagarba asmens nuomonei, priimant su šiuo asmeniu susijusius sprendimus. Šis svarbus asmens įgalinimo veiksnys sietinas tiek su galimybe išsakyti savo nuomonę, kai priimami su asmeniu susiję sprendimai, tiek su informacijos iš asmens gavimo ir informacijos jam suteikimo būdais, įgalinančiais asmenį dalyvauti priimant sprendimus ir suteikiant jam pagalbinę, o ne pakaitinę pagalbą sprendimams priimti.
Žvelgiant istoriškai, visuomenė visais laikais stengėsi riboti asmenų, turinčių intelekto negalią, teises savarankiškai priimti sprendimus, remdamasi tariamu šių asmenų nekompetentingumu, todėl dažniausiai už minėtus asmenis sprendimus priimdavo institucijos ar kiti asmenys, taip atimdami teisę į savarankiškumą ir autonomiją (Pathare & Shields, 2012). Vadovaujantis Jungtinių Tautų neįgaliųjų teisių konvencijos (2006) nuostatomis, pripažįstama asmenų, turinčių negalią, sprendimų priėmimo teisė. Tačiau asmenims, turintiems intelekto negalią, siekiant savo tikslų įgyvendinimo gali prireikti pagalbos iš šalies, kad būtų galima pasinaudoti galimybėmis, kurios prieinamos žmonėms, neturintiems intelekto negalios (Buntinx & Schalock, 2010). Kitų mokslininkų tyrimai rodo, kad asmenys, turintys intelekto negalią, esant reikiamai pagalbai gali patys priimti savarankiškus sprendimus (Björnsdóttir ir kt., 2015). Atkreiptinas dėmesys, kad galimybė pasinaudoti pagalba priimant sprendimus turi būti suteikiama asmenims, turintiems intelekto negalią, tačiau tokia pagalba negali būti traktuojama kaip sprendimo priėmimas už asmenį, turintį negalią. Konvencijoje įtvirtinamas naujas pagalbos priimti sprendimus modelis įpareigoja vystyti ir diegti naujas pagalbos formas ir metodus, kurie neribotų asmenų teisių, o pirmiausia siūlytų pagalbą jiems priimant savarankiškus sprendimus, vadovaujantis pagarbos asmens valiai, norams ir prioritetams principais (Juodkaitė, 2015). Pakaitinis sprendimų priėmimo modelis traktuojamas kaip žmogaus teisių ir orumo pažeidimas. Bacho ir Kerzner (2010) nuomone, pakaitinio sprendimo modeliu dažnai grindžiamas siekis apsaugoti asmenį, turintį negalią, nuo neteisingų sprendimų, tačiau, žvelgiant iš šių asmenų teisių perspektyvos, tai daro socialinę žalą.
Tyrimas taip pat atskleidė, kad asmenims, turintiems intelekto negalią, teikiant pagalbą priimti sprendimus, labai svarbi individuali prieiga: naudotini tinkami komunikacijos, informacijos gavimo ir pateikimo būdai, priemonės. Gudelytė ir Ruškus (2019) taip pat teigia, kad, teikiant pagalbą asmenims, turintiems intelekto negalią, priimti sprendimus, svarbu pažinti asmenį ir suvokti kontekstą, atsižvelgti į individualias asmenų savybes. Minėtina kūrybiška pagalbinių valios išraiškos priemonių paieška ir pritaikymas, bendravimo technikų naudojimas. Individualizuotų paslaugų, leidžiančių savarankiškai priimti sprendimus, teikimą nurodo ir Jungtinių Tautų neįgaliųjų teisių konvencijos 21 straipsnis, kuriame akcentuojama, kad turi būti imamasi visų tinkamų priemonių užtikrinti, jog asmenys, turintys negalią, galėtų naudotis teise į saviraiškos ir nuomonės laisvę, gauti informaciją ir ją teikti jiems prieinamais formatais.
Taigi atlikti tyrimai (žr. dar: Shogren et al., 2017; Bigby et al., 2019 ir kt.) leidžia išskirti įvairius kontekstinius ir aplinkos veiksnius, kurie lemia asmenų, turinčių intelekto negalią, savarankiškų sprendimų priėmimo galimybes. Tai negalios ypatybės, sprendimų priėmimo patirtis, informacijos prieinamumas, sprendimų sudėtingumas, santykiai su paslaugų teikėjais, galimybės priimti sprendimus, šeimos požiūris į sprendimų priėmimą.
Individualaus dienos socialinės globos plano rengimas, įgyvendinimas ir vertinimas, atliepiant individualius asmens poreikius. Tyrimas atskleidė, kad, siekiant kuo objektyviau įvertinti individualius asmens poreikius, svarbu pažinti asmenį ir jo artimą aplinką. Be to, vertinant asmens individualius poreikius, svarbu orientuotis į asmens gebėjimų, pozityvių jo galimybių akcentavimą ir turimų stiprybių panaudojimą. Ne mažiau svarbu nustatyti stiprybes ir resursus, esančius asmens artimoje aplinkoje ir bendruomenėje, ir juos panaudoti asmens įgalinimo procese. Atkreiptinas dėmesys, kad, rengiant individualų planą ir jį įgyvendinant bei vertinant, svarbu bendradarbiauti su intelekto negalią turinčiu asmeniu ir jo artimaisiais. Panašios tendencijos matyti ir kitų tyrėjų atliktuose tyrimuose. Adomaitytės-Subačienės (2019) teigimu, individualus įgalinimas sėkmingai vyksta tada, kai asmuo bando pats įsitraukti į įgalinimo procesą, yra motyvuotas aktyviai dalyvauti, siekia autonomijos ir savarankiškumo. Dvarionas ir kt. (2014) pažymi, kad socialines paslaugas teikianti organizacija ir joje dirbantys socialiniai darbuotojai paslaugų gavėjams ir jų šeimos nariams turėtų sudaryti sąlygas įsitraukti į sprendimų priėmimą planuojant, teikiant, vertinant socialines paslaugas, atpažinti ir įsivardyti savo poreikius, kontroliuoti asmeninio gyvenimo pokyčius, būti atsakingus už savo gyvenimą. Ruškaus ir Mažeikio (2007) teigimu, svarbu, kad vertinimo procese būtų atskleidžiamos visų asmens įgalinimo proceso dalyvių kompetencijos, siekiant bendro tikslo. Tyrėjų teigimu, turi būti išryškinamos, stiprinamos ir naudojamos asmens žinios, įgūdžiai, motyvai, interesai ir poreikiai, šio asmens išoriniai resursai, o ne sutrikimai, negebėjimai. Akcentuojamas artimųjų gebėjimas pažinti negalią turintį asmenį, jam padėti, matyti jį kasdienėse situacijose, o ne pasyvumas, supratimo stoka. Darbuotojų ir šeimos narių partnerystės svarbą teikiant paslaugas intelekto negalią turintiems asmenims išskiria ir kiti mokslininkai (Maniezki et al., 2021). Teigiama, kad bendradarbiavimas su paslaugų gavėjais ir jų artimaisiais gerina pasitenkinimą centru, teikiamų paslaugų ir intelekto negalią turinčių asmenų gyvenimo kokybę. Ruškaus ir Mažeikio (2007) teigimu, atsižvelgti į asmens ir aplinkos resursus įmanoma tik esant visų įgalinimo dalyvių partnerystei, lygiaverčiam dalyvavimui rengiant individualius planus ir juos įgyvendinant, vertinant. Kai planai remsis visų dalyvių resursais, galima tikėtis, kad jie bus įgalinantys ir efektyvūs.
Fizinės, informacinės, komunikacinės aplinkos, didinančios asmenų, turinčių negalią, aktyvumą, savarankiškumą, kūrimas. Kuriant fizinę aplinką dienos centre, svarbu atliepti asmens individualius poreikius, erdves centre parengti taip, kad asmuo jaustųsi saugus, galėtų nevaržomai įsitraukti į veiklas, turėtų poilsiui, nusiraminimui skirtų vietų. Be to, intelekto negalią turinčių asmenų įgalinimo procese svarbus alternatyvių ir komunikaciją lengvinančių priemonių naudojimas, nes dalis asmenų turi informacijos priėmimo, jos apdorojimo ir komunikacijos sunkumų, ribojančių šių asmenų dalyvavimo veiklose galimybes. Minėtų aplinkų pritaikymas kaip svarbus asmenų, turinčių intelekto negalią, dalyvavimo, savarankiškumo didinimo veiksnys įvardijamas ir kitų mokslininkų tyrimuose. Friedman ir McNamaros (2018) teigimu, gerai pritaikyta aplinka gali būti palanki, o nepritaikyta ar blogai pritaikyta aplinka gali riboti intelekto negalią turinčio asmens savarankiškumą, dalyvavimą veiklose. Paslaugų veiksmingumui įtakos turi tinkama komunikacinė, informacinė aplinka, stiprinanti intelekto negalią turinčių asmenų sąveiką, palengvinanti jų bendravimą, savarankiškumą, dalyvavimą veiklose (Ogletree et al., 2016). Tam svarbu plėtoti intelekto negalią turinčių asmenų ir jų bendravimo partnerių bendravimo įgūdžius, taikyti alternatyvias priemones (Kent-Walsh et al., 2015).
Palankios psichosocialinės aplinkos kūrimas dienos centro bendruomenėje. Palanki psichosocialinė aplinka dienos centre sietina su pozityvių tarpusavio santykių tiek tarp dienos centro darbuotojų ir lankytojų, tiek tarp pačių centro lankytojų kūrimu ir palaikymu. Be to, kuriant palankią psichosocialinę aplinką, siekiant įgalinti asmenis, svarbu komandinis darbas, padedantis ne tik siekti bendrų tikslų, derinti veiklos metodus, prisiimti įsipareigojimus ir atsakomybę, bet ir skatinantis kiekvieno specialisto profesinį ir asmeninį augimą, komandos narių vienas kito palaikymą, leidžiantis išvengti profesinio perdegimo. Kaip nurodo Šorytė ir Pajarskienė (2014), svarbūs teigiami psichosocialinės darbo aplinkos veiksniai yra geri santykiai su kolegomis ir vadovu bei organizacinė parama. Šiuolaikinėje organizacijoje komandinis darbas tampa pagrindiniu sėkmę organizacijai garantuojančiu veiksniu, nes darnus komandinis darbas užtikrina tinkamą komandos narių bendradarbiavimą, sudėtingų problemų sprendimą, tinkamą sprendimų priėmimą, užduočių formavimą, vertinimą (Aleksandravičiūtė & Liekis, 2020).
Dienos centro lankytojų įtrauktis į įvairių lygių įstaigos sprendimų priėmimą, veiklą. Atlikto tyrimo rezultatai parodė, kad dienos centro lankytojai įtraukiami į sprendimų priėmimą, susijusį su kasdieninėmis veiklomis ir užduotimis. Centro lankytojai dalyvauja dienos centro grupės susirinkimuose, įsitraukia į įstaigos savivaldą, prisiima atsakomybių, įsipareigojimų ir juos vykdo, įsitraukia į paslaugų kokybės vertinimą. Visa tai padeda kurti bendruomeniškumą, lygiavertę bendrystę. Gudelytės ir Ruškaus (2019) teigimu, organizacijoje kuriant bendruomeniškumą, įgyvendinant lygiaverčio dalyvavimo principą, svarbu, kad asmenys, turintys negalią, dalyvautų priimant įvairius sprendimus. Asmenys, turėdami galimybę priimti sprendimus, jaučiasi oriau, lygiavertiškiau.
Kompetencijų, didinančių asmens savarankiškumą, palaikymas ir ugdymas. Remiantis Ruškaus ir kt. (2013) įžvalgomis, galima daryti prielaidą, kad organizacijoje, dirbant su asmenimis, turinčiais intelekto negalią, viena iš prioritetinių sričių asmens įgalinimo kontekste yra asmens kompetencijų, didinančių jo savarankiškumą, ugdymas. Dienos centruose asmenų, turinčių intelekto negalią, kompetencijos, didinančios šių asmenų savarankiškumą, sietinos su buitinių, sveikatai palankių, socialinių, darbinių įgūdžių palaikymu ir ugdymu. Akcentuotina, kad, ugdant savarankiško gyvenimo įgūdžius, svarbu įtraukti asmenis į praktines veiklas, suteikti jiems galimybę aktyviai veikti, mokytis savarankiškai spręsti realaus gyvenimo problemas ir sąveikauti su socialine aplinka.
Atliktas tyrimas parodė, kad svarbią reikšmę asmenų, turinčių intelekto negalią, kompetencijoms, didinančioms šių asmenų savarankiškumą, palaikyti ir ugdyti turi asmens įsitraukimas į sociokultūrines veiklas, padedančias atskleisti ir plėtoti jo gebėjimus. Ruškaus ir Mažeikio (2007) teigimu, kuo didesnė užimtumo įvairovė, tuo geresnės sąlygos sudaromos asmenų saviraiškai, jų dalyvavimui veiklose. Kaip teigia Šinkūnienė (2012), dalyvaudami įvairiuose renginiuose (koncertuose, parodose, mugėse ir pan.) asmenys, turintys negalią, plečia ryšius su socialine aplinka, ugdosi socialinius įgūdžius.
Remiantis atlikto tyrimo duomenimis, atkreiptinas dėmesys, kad, ugdydamas ir palaikydamas asmens, turinčio intelekto negalią, kompetencijas, didinančias jo savarankiškumą, socialinis darbuotojas turi būti kantrus, siekdamas rezultato, ir nepasiduoti nevilčiai, norimo rezultato nepasiekus. Dirbant su intelekto negalią turinčiais asmenimis svarbu ne tik rezultatas, bet ir įgalinimo procesas. Mokslinėje literatūroje teigiama, kad rezultato pasiekimas socialiniame darbe yra sudėtingas reiškinys. Net ilgai trunkantis pagalbos asmeniui procesas ne visada užtikrina, kad asmuo išmoks savarankiškai spręsti problemas, panaudos vidinius ir išorinius pagalbos išteklius (Liepinskaitė & Motiečienė, 2017).
Atlikus tyrimą, nustatyta, kad, ugdant ir palaikant asmens kompetencijas, didinančias jo savarankiškumą, svarbu pasitelkti asmens, turinčio negalią, namų ir bendruomenės aplinkas. Amado ir kt. (2013) taip pat akcentuoja tarpasmeninės ir bendruomeninės asmens aplinkų vaidmens svarbą. Be to, ypač naudingos bendruomenėse organizuojamos socialinį įsitraukimą skatinančios programos, skirtos prasmingam laisvalaikiui praleisti, pramogoms, poilsiui ar sveikatinimui. Socialinė įtrauktis teigiamai veikia negalią turinčių asmenų gyvenimą, mažina vienišumo jausmą, praplečia draugų ratą (Wilson et al., 2017), didina pasitenkinimą savo gyvenimu, mažina asmenų, turinčių negalią, izoliaciją ir kartu didina jų fizinį aktyvumą, padeda plėtoti savarankiškumo įgūdžius (Amado et al., 2013). Asmenų, turinčių negalią, socialinio dalyvavimo tęstinumą kitose aplinkose akcentuoja Webberis ir Fendt-Newlin (2017). Tyrėjų teigimu, asmenų, turinčių negalią, socialinio dalyvavimo sėkmė – kai šie asmenys aktyviai dalyvauja visuomenės gyvenime, mezga platesnius ryšius su kitais visuomenės nariais. Ryšiai su kitais visuomenės nariais asmeniui, turinčiam negalią, suteikia galimybę pasinaudoti plačiais visuomenės resursais ir mažina socialinę izoliaciją. Genienės (2021) teigimu, bendruomenės paslaugų išvystymas turi svarbią reikšmę, nes negalią turintys žmonės, turėdami daugiau galimybių lankytis įvairiose veiklose, gali plėsti socialinius ryšius, be to, mažėja neigiamos visuomenės nuostatos. Taigi, siekiant žmonių, turinčių negalią, socialinio dalyvavimo, įgalinimo plėtotės, labai svarbu skirti dėmesio ryšiams su išorine aplinka, šiuos ryšius tikslinga aktyvinti ir plėtoti.
Adomaitytė-Subačienė, I. (2019). Socialinio darbo kokybės konstravimas kliento įgalinimo perspektyvoje. [Daktaro disertacija, Vilniaus universitetas]. http://epublications.vu.lt/object/elaba:36479377/index.html
Aleksandravičiūtė, B., & Liekis, K. (2020). Modern learning strategies in higher education: team-based learning. Acta Paedagogica Vilnensia, 44, 141–151. https://doi.org/10.15388/ActPaed.44.10
Amado, A. N., Stancliffe, R. J., McCarron, M., & McCallion, P. (2013). Social inclusion and community participation of individuals with intellectual/developmental disabilities. Intellectual and developmental disabilities, 51(5), 360–375. https://doi: 10.1352/1934-9556-51.5.360
Anderson, K., Geboy, L., Jarrott, S. E., Missaelides, L., Ogletree, A. M., Peters-Beuer, L., & Zarit, S. H. (2020). Developing a Set of Uniform Outcome Measures for Adult Day Services. Journal of Applyed Gerontology, 39(6), 670–676. https://doi: 10.1177/0733464818782130
Bach, M., & Kerzner, L. (2010). A New Paradigm for Protecting Autonomy and the Right to Legal Capacity. https://www.lco-cdo.org/wp-content/uploads/2010/11/disabilities-commissioned-paper-bach-kerzner.pdf
Bigby, C., Whiteside, M., & Douglas, J. (2019). Providing support for decision making to adults with intellectual disability: Perspectives of family members and workers in disability support services. Journal of Intellectual & Developmental Disability, 44(4), 396–409. https://doi:10.3109/13668250.2017.1378873
Björnsdóttir, K., Stefánsdóttir, G. V., & Stefánsdóttir, Á. (2015). “It’s my life”: Autonomy and people with intellectual disabilities. Journal of Intellectual Disabilities, 19(1), 5–21. doi: 10.1177/1744629514564691
Black, H., Rubinstein, R., Frankowski, A., Hrybyk, G., Nemec, M., & Tucker, G. (2018). Identity, Semiotics, and Use of Symbols in Adult Day Services. The Gerontologist, 58, 730–738. https://doi:10.1093/geront/gnx074
Buntinx, W. H. E., & Schalock, R. L. (2010). Models of disability, quality of Life, and individualized supports: implications for professional practice in intellectual disability. Journal of policy and practice in intellectual disabilities, 7(4), 283–294. https://doi.org/10.1111/j.1741-1130.2010.00278.x
Cypress, B. S. (2017). Rigor or reliability and validity in qualitative research: Perspectives, strategies, reconceptualization, and recommendations. Dimensions of critical care nursing, 36(4), 253–263. https://doi.org/10.1097/ DCC.0000000000000253
Creswell, J. W. (2014). Research design: qualitative, quantitative, and mixed methods approaches. Fourth edition. London: SAGE.
Dvarionas, D., Motiečienė, R., Ruškus, J., Mažeikienė, N., & Naujanienė, R. (2014). Įgalinančių socialinių paslaugų modelis socialinės gerovės politikos kontekste. Filosofija. Sociologija, 25(2), 89–97. https://www.ceeol.com/search/article-detail?id=132347
Friedman, C., & McNamara, E. (2018). Home- and community-based speech, language, and hearing services for people with intellectual and developmental disabilities. Research and Practice for Persons with Severe Disabilities, 43(2), 111–125. https://doi:10.1177/1540796918775595
Genienė, R. (2021). Socialinių paslaugų vystymas ir teikimas psichosocialinę negalią turintiems asmenims stacionarių globos institucijų pertvarkos perspektyvoje. [Daktaro disertacija, Vilniaus universitetas]. https://talpykla.elaba.lt/elaba-fedora/objects/elaba:98858883/data streams/MAIN/content
Gudelytė, U., & Ruškus, J. (2019). „Padėk man nuspręsti“: socialinio darbuotojo vaidmuo teikiant pagalbą intelekto negalią turintiems asmenims priimant sprendimus. Socialinis darbas. Patirtis ir metodai, 23(1), 11–50. https://doi:10.7220/2029-5820.23.1.1
Gvaldaitė, L. (2009). Empowerment in social work. Socialinė teorija, empirija, politika ir praktika, 5, 42–53. https://doi.org/10.15388/STEPP.2009.0.5265
Jungtinių Tautų neįgaliųjų teisių konvencija ir jos fakultatyvus protokolas. (2006). https://e-seimas.lrs.lt/portal/legalAct/lt/TAD/TAIS.335882
Juodkaitė, D. (2015). Gerosios praktikos pavyzdžiai dėl asmenų su negalia įgalinimo, suteikiant jiems pagalbos paslaugas sprendimų priėmimui ir savarankiškam gyvenimui užtikrinti. http://manoteises.lt/wp-content/uploads/2016/02/Studija_Gerosios_praktikos_pavyzd%C5%BEiai_d%C4%97l_asmen%C5%B3_su_negalia_%C4%AFgalinimo.pdf.pdf
Kam, P. K. (2021). From the Strengths Perspective to an Empowerment–Participation–Strengths Model in Social Work Practice. British Journal of Social Work, 51, 1425–1444. https://doi.org/10.1093/bjsw/bcab049
Kent-Walsh, J., Murza, K. A., Malani, M. D., & Binger, C. (2015). Effects of communication partner instruction on the communication of individuals using AAC: A meta-analysis. Augmentative and Alternative Communication, 31, 271–284. https://doi:10.3109/07434618.2015.1052153
Kritsotakis, G., Galanis, P., Papastefanakis, E., Meidani, F., Philalithis, A. E., Kalokairinou, A., & Sourtzi, P. (2017). Attitudes towards people with physical or intellectual disabilities among nursing, social work and medical students. Journal of Clinical Nursing, 26(23–24), 4951–4963. https://doi: 10.1111/jocn.13988
Leal, N., Eusebio, C., & Rosa, M. J. (2020). Attitudes Towards People with Disabilities: a Systematic Literature Review. Revista Brasileira de Educação Especial, 26(4), 689–710. https://doi.org/10.1590/1980-54702020v26e0062
Liepinskaitė, I., & Motiečienė, R. (2017). Įgalinančios socialinės paslaugos vaikų dienos centruose: socialinių darbuotojų perspektyva. Socialinis darbas. Patirtis ir metodai, 20, 29–53. https://doi: 10.7220/2029-5820.20.2.2
Lietuvos neįgaliųjų draugija. (2018). Neįgaliųjų individualių specialiųjų poreikių tenkinimo tyrimas, įvertinant Jungtinių Tautų neįgaliųjų teisių konvencijos nuostatų įgyvendinimo efektyvumą Lietuvoje: apklausos rezultatų ataskaita. https://www.ndt.lt/wp-content/uploads/Ne%c4%afgali%c5%b3j%c5%b3-poreiki%c5%b3-tyrimo-ataskaita-2018-12-07-GALUTINIS.pdf
Lietuvos Respublikos socialinės apsaugos ir darbo ministro 2014 m. vasario 14 d. įsakymas Nr. A1-83 „Dėl perėjimo nuo institucinės globos prie šeimoje ir bendruomenėje teikiamų paslaugų neįgaliesiems ir likusiems be tėvų globos vaikams 2014–2020 metų veiksmų plano“. (2014). https://www.e-tar.lt/portal/lt/legalAct/c90d41f097de11e3bdd0a9c9ad8ce1bf
Makharadze, T., Kitiashvili, A., & Bricout, J. C. (2010). Community-based day-care services for people with intellectual disabilities in Georgia: a step towards their social integration. Journal of Intellectual Disabilities, 14(4), 289–301. https://doi: 10.1177/1744629510393186
Maniezki, A., Martínez-Tur, V., Estreder, Y., & Moliner, C. (2021). Effects of a Justice-Based Partnership Between Employees and Families in Creating Services and Supports to Enhance Quality of Life Outcomes. Intellectual and Developmental Disabilities, 59(2), 172–182. https://doi: 0.1352/1934-9556-59.2.172
Miley, K. K., O’Mella, M., & Dubois, B. (2013). Generalist social work practice: an empowering approach. 7th ed. London: Pearson.
Ogletree, B. T., Bartholomew, P., Kirksey, M. L., Guenigsman, A., Hambrecht, G., Price, J., & Wofford, M. C. (2016). Communication training supporting an AAC user with severe intellectual disability: Application of the communication partner instruction model. Journal of Developmental and Physical Disabilities, 28, 135–152. https://doi:10.1007/s10882-015-9444-2
Pathare, S., & Shields, L. S. (2012). Supported decision-making for persons with mental illness: a review. Public Health Reviews, 34, 1–40. http://supporteddecisionmaking.com/sites/default/files/pathare_2012.pdf
Raudeliūnaitė, R., & Gudžinskienė, V. (2017). The empowerment of young people with intellectual disability by providing socio-educational services at day centres. In EDULEARN 17: 9th International Conference on Education and New Learning Technologies. Barcelona, Spain. 3–5 July, 2017: conference proceedings (pp. 9020–9028). Valencia: IATED Academy. https://doi:10.21125/edulearn.2017
Ruškus, J., & Mažeikis, G. (2007). Neįgalumas ir socialinis dalyvavimas: kritinė patirties ir galimybių Lietuvoje refleksija. Šiauliai: Šiaulių universiteto leidykla.
Ruškus, J., Motiečienė, R., Mažeikienė, N., Naujanienė, R., & Dvarionas, D. (2013). Įgalinimo samprata socialinių paslaugų kontekste. Socialinis darbas. Patirtis ir metodai, 12(2), 9–42. https://doi:10.7220/2029-5820.12.2.1
Shogren, K. A., Wehmeyer, M. L., Lassman, H., & Forber-Pratt, A. J. (2017). Supported decision making: A synthesis of the literature across intellectual disability, mental health and ageing. Education and Training in Autism and Developmental Disabilities, 52(2), 144–157. https://doi.org/10.2307/26420386
Šereivienė, A., & Žydžiūnaitė, V. (2005). Socialinio darbuotojo kompetencijos komponentai socioedukacinio darbo kontekste. Sveikatos ir socialinių mokslų taikomieji tyrimai: sandūra ir sąveika, 1, 6–23.
Šinkūnienė, J. R. (2012). Bendruomeniškumas, komunikacija ir muzika: sociologiniai negalios aspektai. Vilnius: Mykolo Romerio universitetas.
Šorytė, D., & Pajarskienė, B. (2014). Darbuotojų gerovė ir ją skatinantys psichosocialinės darbo aplinkos veiksniai. Visuomenės sveikata, 2(65), 9–19. https://www.hi.lt/uploads/pdf/visuomenes%20sveikata/2014.2(65)/VS%202014%202(65)%20LIT%20Darbuotoju%20gerove.pdf
Venclovienė, M. (2015). Įgalinimo samprata ir veiksniai socialinio darbo metodų perspektyvoje. Filosofija. Sociologija, 26(2), 113–121. https://mokslozurnalai.lmaleidykla.lt/publ/0235-86/2015/2/113%E2%80%93121.pdf
Vilkelienė, A., & Kulikauskienė, K. (2014). Neįgaliųjų gyvenimo kokybės individualieji ir socialiniai aspektai meninio ugdymo kontekste. Pedagogika, 114(2), 209–221. https://doi.org/10.15823/p.2014.018
Zavadskienė, J., & Ruškus, J. (2017). Socialinio darbo potencialas praktikuojant stipriųjų pusių perspektyvą probacijoje. Socialinis darbas. Patirtis ir metodai, 19(1), 89–108. http://dx.doi.org/10.7220/2029-5820.19.1.5
Žydžiūnaitė, V., & Sabaliauskas, S. (2017). Kokybiniai tyrimai: principai ir metodai. Vilnius: Vaga.
Webber, M., & Fendt-Newlin, M. (2017). A review of social participation interventions for people with mental health problems. Social psychiatry and psychiatric epidemiology, 52(4), 369–380. https://doi:10.1007/s00127-017-1372-2
Wiles, R. (2013). What are Qualitative Research Ethics? London: Bloomsbury Academic.
Rita Raudeliūnaitė
Mykolo Romerio universitetas, Vilnius, Lietuva
Vida Gudžinskienė
Mykolo Romerio universitetas, Vilnius, Lietuva
Santrauka
Asmenims, turintiems intelekto negalią, įgalinti svarbios socioedukacinės paslaugos, teikiamos dienos centruose. Straipsnyje atskleidžiami veiksniai, padedantys socialiniams darbuotojams įgalinti asmenis, turinčius intelekto negalią, dienos centruose. Atliktas kokybinis tyrimas, taikant pusiau struktūruoto interviu metodą. Tyrime dalyvavo aštuoni socialiniai darbuotojai, dirbantys dienos centruose su asmenimis, turinčiais intelekto negalią. Gauti duomenys analizuoti taikant kokybinės turinio analizės metodą, laikantis induktyvios, tyrimo duomenimis grįstos kategorijų sudarymo logikos.
Tyrimu atskleisti veiksniai, padedantys įgalinti asmenis, turinčius intelekto negalią, dienos socialinės globos centruose. Tai pozityvus požiūris į asmenį, turintį intelekto negalią; pagarba šio asmens nuomonei, priimat su juo susijusius sprendimus; individualaus plano rengimas, jo įgyvendinimas ir vertinimas, atliepiant individualius asmens poreikius; fizinės, informacinės, komunikacinės aplinkos, didinančios asmens aktyvumą ir savarankiškumą, sukūrimas; palankios psichosocialinės aplinkos kūrimas ir palaikymas dienos centro bendruomenėje; dienos centro lankytojų įtrauktis į įvairių lygių įstaigos sprendimų priėmimą ir veiklą; asmens kompetencijų, didinančių jo savarankiškumą, palaikymas ir ugdymas.
Pozityvus požiūris į asmenį, turintį intelekto negalią, sietinas su šio asmens galių, stiprybių akcentavimu, o ne su koncentravimusi į sutrikimą, negalėjimo, silpnybių išskyrimą. Svarbu pripažinti asmens individualumą ir galimybes, įžvelgti potencialą, kilus sunkumų, taip pat skatinti partneriškus darbuotojo ir paslaugų gavėjo santykius.
Pagarba asmens nuomonei, priimant su juo susijusius sprendimus, sietina tiek su galimybe asmeniui, turinčiam negalią, išreikšti savo nuomonę, kai priimami su juo susiję sprendimai, tiek su informacijos iš šio asmens gavimo ir informacijos jam suteikimo būdais, įgalinančiais dalyvauti priimant sprendimus ir suteikiant pagalbinę, o ne pakaitinę pagalbą sprendimams priimti.
Rengiant asmens individualų planą, jį įgyvendinant ir vertinant, svarbu pažinti asmenį ir jo artimą aplinką, identifikuoti tiek asmens, tiek artimoje aplinkoje ir bendruomenėje esamas stiprybes ir resursus, juos panaudoti asmens įgalinimo procese. Be to, rengiant individualų planą, jį įgyvendinant ir vertinant, svarbu bendradarbiauti su intelekto negalią turinčiu asmeniu ir jo artimaisiais.
Įgalinant asmenis, turinčius intelekto negalią, svarbu fizinės, informacinės, komunikacinės aplinkos kūrimas, alternatyvių ir komunikaciją lengvinančių priemonių naudojimas. Ne mažiau svarbu kurti palankią psichosocialinę aplinką dienos centro bendruomenėje ir palaikyti pozityvius tiek dienos centro darbuotojų ir lankytojų, tiek pačių centro lankytojų tarpusavio santykius.
Dienos centro lankytojų įtrauktis į įvairių lygių įstaigos sprendimų priėmimą, veiklą sietinas su šių asmenų įtraukimu į sprendimų priėmimą, susijusį su kasdieninėmis veiklomis ir užduotimis, įstaigos savivaldą, taip pat su atsakomybių ir įsipareigojimų prisiėmimu ir vykdymu bei įsitraukimu į paslaugų kokybės vertinimą.
Kompetencijų, didinančių asmens savarankiškumą, palaikymas ir ugdymas – svarbus asmenų, turinčių intelekto negalią, įgalinimo veiksnys, sietinas su buitinių, sveikatai palankių, socialinių, darbinių įgūdžių palaikymu ir ugdymu, asmens įsitraukimu į sociokultūrines veiklas. Ugdydamas ir palaikydamas asmens, turinčio intelekto negalią, kompetencijas, didinančias jo savarankiškumą, socialinis darbuotojas turi būti kantrus, siekdamas rezultato ir nepasiduoti nevilčiai jo nepasiekęs. Dirbant su intelekto negalią turinčiais asmenimis svarbus įgalinimo procesas, ne tik rezultatas.
Rita Raudeliūnaitė
Mykolas Romeris University, Lithuania
Vida Gudžinskienė
Mykolas Romeris University, Lithuania
Summary
Socioeducational services, which are provided in day care centres, have a substantial impact on the empowerment of people with an intellectual disability. The article reveals factors, which assist social workers in empowering people with an intellectual disability in day care centres. Qualitative research was chosen for the study while using the method of a semi-structured interview. Eight social workers, who work with people with an intellectual disability in day care centres. The obtained data were analysed by using the method of a qualitative content analysis while adhering to inductive logic of classifying into categories, which is based on the study data. The study revealed factors assisting in empowering people with an intellectual disability in social care centres: a positive attitude towards a person with an intellectual disability, respect for the opinion of a person when taking decisions related to him, the preparation, implementation and assessment of an individual plan when responding to individual personal needs, the creation of physical, informational and communicational environment increasing personal activeness and independence, the creation and maintenance of a favourable psychosocial environment in the community of a day care centre, the involvement of day centre attendees in the institution’s decision-making at various levels, the development, maintenance and expansion of personal competences, which increase their independence. A positive attitude towards a person with an intellectual disability should be associated with non-concentration on a disability, but the perception of a person through the lenses of his abilities, strengths, and not the lenses of his inability and weaknesses, the acknowledgement of personal individuality and his possibilities and the discernment of opportunities in the arising difficulties, as well as a partnership in relationships between an employee and a recipient of services. Respect for the opinion of a person when taking decisions related to him should be associated both with an opportunity for a person to express his opinion when decisions, which are related to him, are taken and the obtaining and supply of information from a person through the means empowering him to participate while taking decisions and by providing a person with an intellectual disability with adjutory, but not substitutionary assistance. When preparing, implementing and assessing an individual plan of a person it is important to know a person and his immediate environment, to identify strengths and resources both in a person, his immediate environment and a community and to use them in the empowerment process. In addition, it is important to cooperate with a person with an intellectual disability and his close relatives when preparing, implementing and assessing an individual plan. When empowering persons with an intellectual disability the creation of physical, information and communication environment, the use of alternative means, as well as those facilitating communication are important. The creation of a favourable psychoactive environment in the community of a day care centre while developing and maintaining positive relationships both between day care employees and attendees and the attendees of a centre themselves is equally important. The involvement of the attendees of a day care centre in decision-making at various levels of an institution is attributable to the involvement of them in decision-making related to daily activities, tasks in them, the self-government of an institution, as well as the assumption and implementation of responsibilities and obligations and their involvement in the assessment of service quality. The maintenance and expansion of personal competences increasing independence are important empowerment factors to persons with an intellectual disability relatable to the maintenance and expansion of domestic, health friendly, social and work skills and personal involvement in sociocultural activities. Furthermore, when developing and maintaining competences in persons with an intellectual disability, which increase their independence, the social worker has to be patient in order to achieve a result and not to give in to despair, if he fails to achieve it. When working with persons with an intellectual disability an empowerment process, but not a result is important.
_______________
Specialusis ugdymas / Special Education ISSN 2424-3299 (Online)
2023, 1(45), pp. 116–137 DOI: https://doi.org/10.15388/se.2023.45.6
Rita Raudeliūnaitė
Mykolas Romeris University, Lithuania
ritara@mruni.eu
https://orcid.org/0000-0003-0430-2025
Vida Gudžinskienė
vida.gudzinskiene@mruni.eu
https://orcid.org/0000-0003-0232-9099
Mykolas Romeris University, Lithuania
Annotation. The article presents the results of a qualitative research revealing the empowerment factors of people with intellectual disability in day care centres. In empowering persons with intellectual disability, it is important to have a positive attitude towards them, to respect their opinion when making decisions related to them, to respond to the individual needs of the person when preparing, implementing and evaluating individual plans. It is also important to create both a physical, informational and communicational environment that increases a person’s activity and independence, as well as a favourable psychosocial environment in the community of the day care centre and to include persons with intellectual disability in decision-making and activities at various levels of the day care centre and to support and develop their competences, increasing independence.
Key words: persons with intellectual disability, day care centres, empowerment.
_______
Received: 27/04/2023. Accepted: 18/11/2023
Copyright © Rita Raudeliūnaitė, Vida Gudžinskienė, 2023. Published by Vilnius University Press.
This is an Open Access article distributed under the terms of the Creative Commons Attribution License, which permits unrestricted use,
distribution, and reproduction in any medium, provided the original author and source are credited.
The United Nations Convention on the Rights of Persons with Disabilities (2006) emphasises that it is important to provide opportunities for persons with disabilities to become involved in society. In the context of the inclusion of persons with disabilities in society, empowering socio-educational services are of particular importance. Kam (2021) notes that the purpose of empowerment, when providing services, is not one-dimensional, it encompasses three levels. The first one is a personal level which should be associated with personal empowerment developing his competences and effectiveness to manage his environment and acquire the right to self-determination and self-sufficiency. The second one is interpersonal empowerment assisting people in developing competences, increasing their abilities to wield interpersonal influence, perform valuable social roles, dispel negative stereotypes towards them in relationships with others. The third level is structural empowerment assisting service users to become aware that they can act together when solving structural problems, and endeavour to overcome social inequality and injustice, wield influence on structural changes and change social policy. Empowerment, according to Kam (2021), calls the attention of social workers to the correlation of service recipients, society and politics. Therefore, empowerment is not only focused on the increase of individual competences of service recipients, but also changes unequal power relationships in society and increases the sense of power in service recipients to wield influence in the process of political decision making. It is noted that social workers, while assisting service recipients in acquiring empowerment, must also pay attention to the correlation between the power and dependence. It is impossible to empower service recipients, if they are dependent on social workers, whereas institutions providing services and their employees think that they have more advantages and resources than service recipients. The change of an unequal power relationship between social workers and service recipients is important in the empowerment practice. Empowerment is an ongoing process, whereas social workers must have faith that service recipients have a possibility and potential to become involved in this process (Kam, 2021). Consequently, empowerment has to be central and compulsory mission element of social service organisations and the core of the laws regulating social welfare (Ruškus et al., 2013).
When providing empowering social services for persons with intellectual disability, day centres are of particular importance. It is noteworthy that day centres are one of the types of community social services providing an opportunity for a person with a disability to live in his/her community and, in it, receive individual assistance, which responds to his/her needs, promotes self-sufficiency. Recently, there is emphasis, in Lithuania, on the expansion of community services for persons with disabilities. This is extremely relevant when transitioning from institutional care to services which are provided to the persons with disabilities in their community (Order of the Minister of Social Security and Labour of the Republic of Lithuania of 14 February 2014, No A1-83 Action Plan on the Transition from Institutional Care to Family and Community Services to Disabled Persons and Children Without Parental Care in the Period of 2014-2020). The process of the reorganisation of childcare facilities also provides for the expansion of the infrastructure of day centres, the spectrum of services provided in them.
The purpose of day centres, when providing cross-cutting services commensurate with individual needs of persons with a disability, is to empower persons. Day centres perform an important socio-educational function in the form of socio-educational activities. A socio-educational activity is an activity of a permanent nature aimed at the expansion of personal powers and development while ensuring positive socialisation of the person in his/her surrounding environment, his/her empowerment and inclusion into society (Šereivienė & Žydžiūnaitė, 2005). A socio-educational activity is cross-cutting, encompassing the development of an individual, care for him/her, assistance to him/her in the socialisation process, in order that that he/she would become more independent, would be able to become involved in society easier. In addition, day centres, as a community service, is one of alternatives to institutional care and provide opportunities for persons with disabilities to be in their homes, live more independently, receive socio-educational services close to their home. According to Black et al. (2018), day centres operating in communities are recognised as a significantly better alternative to traditional care homes. Services provided in day centres are more favourable for personal empowerment and autonomy (Adomaitytė-Subačienė, 2019). The attendance of day centres increases self-esteem in persons with disabilities, their self-sufficiency, motivation to participate in various activities, improves emotional well-being, creates the sense of belonging to their community (Anderson et al., 2020). The group activity, that takes place in day centres, assists persons with disabilities in creating trusting and supportive relationships, expanding their social network (Webber & Fendt-Newlin, 2017). Day centres provide opportunities for persons with intellectual disability to improve personal and social skills, expand their social networks, assist their families and guardians in avoiding burnout and reducing the dependence of persons with intellectual disability from their close ones (Makharadze et al., 2010). The study conducted by Raudeliūnaitė and Gudžinskienė (2017) shows a threefold benefit of services provided by day centres: a benefit for persons with intellectual disability (their social and job skills improve, they acquire new skills and apply acquired skills in other environments, emotional and behavioural problems decrease, the sense of security, self-esteem and self-confidence increases), a benefit for parents (anxiety regarding their child decreases, their attitude towards it changes in a positive direction, they have spare time to realise their needs), benefit to the community (the attitude towards a person with a disability, towards his/her family changes in a positive direction, tolerance and their inclusion into a community increase). However, the studies demonstrate that, in day centres, it is important to involve persons with disabilities in decision-making more effectively, expand the spectrum of provided services, and provide more employment services (The Lithuanian Association of People with Disabilities, 2018). In order to provide persons with intellectual disability with empowerment services, which correspond to their needs, it is important to conduct scientific research and model services in day centres based on the obtained findings. The analysis of the conducted studies shows that there is a lack of studies analysing the empowerment of persons with intellectual disability when providing social services in day centres. Therefore, it is important to analyse real experiences of day centres by identifying factors assisting in empowering persons with intellectual disability.
In Lithuania, empowerment, in the context of social services, has been analysed by Gvaldaitė (2009), Ruškus et al. (2013), Dvarionas et al. (2014), and Venclovienė (2015). Theoretical and practical aspects of the empowerment of persons with disabilities have been revealed by Ruškus and Mažeikis (2007). The role of sociocultural activities in the empowerment of persons with disabilities, their inclusion into community have been examined by Šinkūnienė (2012). Vilkelienė and Kulikauskienė (2014) have analysed the empowerment of adolescents with intellectual disability attending social assistance centres in their community by employing artistic education workshops.
The purpose of this study is to reveal empowerment factors of persons with intellectual disability in day centres based on the experience of social workers. The analysis of the experiences of social workers working with persons with intellectual disability is important when highlighting the factors underlying empowerment in day centres and improving the quality of empowerment services and their expansion in day centres based on the knowledge obtained through scientific research, because engagement services assist in forming or recreating self-sufficiency skills in persons with disabilities in their daily activity and increase their inclusion into community.
Research methods. To conduct the study, qualitative research was chosen. The purpose of qualitative research is to reveal barely researched social phenomena, the experiences and encounters of people, human synergies, behavioural strategies and culture occurring in real environments, the making of experience of the participants of a study meaningful, the characteristics and specificities of daily life (Žydžiūnaitė & Sabaliauskas, 2017). The empowerment of persons with intellectual disability in day centres is a barely researched phenomenon. Therefore, having chosen qualitative research, it is sought to reveal this phenomenon through individual experiences of social workers employed in day centres. The study was conducted by using the method of a semi-structured interview. During the study, the following questions were presented: What are the factors and how to assist in providing empowerment services for persons with intellectual disability in day centres? How to achieve that persons with intellectual disability would acquire more abilities in their life?
The selection of the research participants and the organisation of the study. Targeted sampling was used for the participants of the study. The participants of the study have been chosen according to the following criteria: 1) social workers working in day centres with persons with intellectual disability; 2) the experiences of social work in day centres, while working with persons with intellectual disability, not less than 3 years. The study was conducted in April-May of 2022 remotely by making interview recordings. Eight social workers, complying with the criteria set by the researchers, participated in the study. The participants of the study relied on their memories and considerations while reflecting on their experiences.
The study ethics. The researchers addressed the administration of day centres by presenting the purpose of the study, its nature, anonymity and confidentiality guarantees and requesting to recommend social workers, complying with the criteria set by the researchers, to participate in the study. The researchers contacted the social workers, who agreed to participate, personally. The study is based on the principles of the respect for the personal decision to freely participate in the research, information on the study, the acquaintance with the purpose of the study, the method to collect the study data and the study procedure, benevolence and inclination not to harm a person, confidentiality and anonymity (Wiles, 2013). When analysing the findings of the study, the characteristics of the participants of the study were presented generally while ensuring that personal information, which would allow to recognise a particular participant of the study, would not be presented, anonymity of the participants of the study, their confidentiality, and the non-disclosure of information identifying a person were guaranteed, the name of the participants of the study were coded by using letters (A, B, C and so on). The coded data of all the participants of the study are accessible only to the researcher.
The analysis of qualitative research data. The obtained data were analysed by using the method of qualitative content analysis. Qualitative content analysis was performed while adhering to an inductive logic of the formation of categories and subcategories. When performing qualitative content analysis, the following consistency was adhered to: multiple reading and consideration of the transcribed interview texts, data coding while distinguishing semantic units in the text, the classification of codes into subcategories and categories and their integration into context of the analysed phenomenon, the analysis of the data of the study in the context of the insights of other researchers (Creswell, 2014).
The data of the study was analysed by two researchers. Before commencing to analyse the data, the researchers agreed on the data analysis. The researchers performed the primary data analysis separately by coding the data and forming primary subcategories and categories. That has empowered the researchers to understand and delve into the data obtained (Cypress, 2017). After that, the researchers compared primary subcategories and categories, which were distinguished, discussed and formed them definitively by common accord.
The study revealed factors assisting social workers in empowering persons with intellectual disability in day centres (Fig. 1).
Figure 1
Factors assisting social workers in empowering persons with intellectual disability in day centres

Having analysed the data of the study, it was established that social workers perceive the importance of the empowerment practice. The participants of the study stated that “it’s not enough to declare empowerment only in the documents, but it is important that empowerment has to be realised practically in the daily activity of the centre” (D), “so what, if empowerment is inscribed in plans, visions and missions, but it is important that, when providing daily services, the attendees of the centre have to be empowered” (A). Social workers, who participated in the study, recognise their role in the process of personal empowerment, and it is noted that “in order to achieve successful personal empowerment, it is important how we organise activities, how we implement empowerment practically” (H). Consequently, the participants of the study recognise the importance of the empowerment process and their role in the empowerment process of a person with an intellectual disability.
A positive approach towards a person with an intellectual disability. The study revealed that, in the process of personal empowerment, a positive approach towards a person with an intellectual disability is an important factor. A positive approach towards a person, according to the participants of the study, must dominate “the whole culture of the day centre, firstly, the head, then social workers and their assistants” (B). It is important that not only social services providers possess such an attitude, but also a person with intellectual disability himself, his close ones, such approach should dominate society as well. According to the participants of the study, the positive approach of the social worker and all the team is important, then you can do a lot, the positive attitude of the attendees of the centre, then that of their close ones is also important, how much they are inclined that empowerment would happen. In my opinion, the key to success is a positive approach, because that is the key to empowerment” (G). “I think that everything depends on a positive approach, attitude, if people around and the man himself possess such an attitude, approach, then it is easier to empower the man” (A). “I deem that a positive, not underestimating, not disparaging approach of all environment towards a person with intellectual disability is very important, because, in many cases, it is contrary” (C). It is noteworthy that a positive approach towards a person with intellectual disability empowers him/her to act and trust himself/herself.
The data of the study show that a positive approach towards a person should be associated with the perception of the person through the lenses of his powers, strengths and not those of inability and weaknesses. According to the participant of the study, it is important “to focus on the abilities the person possesses, expand his abilities while believing that he can achieve something” (G). According to the participant of the study, “the emphasis on strengths creates the sense of trust, openness to cooperation” (E).
The study shows that, in order to achieve a positive approach towards a person with an intellectual disability, it is important not to focus on his/her disability: “in order to empower a person, it is very important to focus on his abilities, and not disabilities” (A). The participants of the study noted that “someday centre employees and family members need to change their attitude, give up labelling others as “different”, because all of that disparage the opportunities of people with intellectual disability” (D). This shows that the focus on a disability and the assessment of a person in the light of his/her disability make multifaceted cooperation and the creation of empowering environment difficult.
The data of the study show that the recognition of the person‘s individuality and his/her abilities is one more factor determining a positive approach towards a person. The participants of the study underlined that “an approach towards a person with disability must be formed while looking at his individual potential abilities by highlighting his strengths” (B), “to emphasise what a man is able to do, and not what he isn’t” (F). The study highlighted that, when empowering a person, it is important to discern opportunities in arising difficulties. This is illustrated by the following statements of the participants of the study: “when working with people with intellectual disability quite a few difficulties arise, but it’s important for the employee to take an optimistic position, not to focus on arising difficulties, but turn them into opportunities” (H), “for me, as an employee, it is important not to give in, to think that I can, then I start trusting himself and a day centre attendee” (E). Consequently, an optimistic position of social workers and the assessment of arising difficulties as the source of opportunities are important factors when empowering persons with intellectual disability.
The results of the study showed that, in the context of a positive person-oriented approach, partner relationships between an employee and a service recipient is an important factor in the empowerment process. The participants of the study noted that “from the very first minute of the meeting with an attendee, it is important to create equal relationships with him by showing that I care about his opinion, his wishes...” (C), “in the centre, we endeavour to create close, partner relationships with attendees, not to override the needs of the client with our opinion and knowledge” (G). The empowerment of a person is impossible without the recognition of him/her as an equal partner: “if you receive a person with an intellectual disability as equal and do not impose everything from on high, this is the only way you can empower a person. I think that we have here one of the most important things, that we wouldn’t impose everything from on high, wouldn’t do instead of a person, but would encourage him, would assist in doing himself, wouldn’t override his self-sufficiency, wouldn’t deprive him of his abilities where he is already able and will be able to do it in the future with our assistance to him to expand his abilities” (A). The creation of partner relationships empowers day centre attendees to be active in the empowerment process, whereas social workers are assisted in getting to know individual needs of day centre attendees better and responding to them.
Respect for the opinion of the person when taking decisions pertaining to him. Having analysed the data of the study, it was established that respect for personal opinion is an important factor assisting social workers in providing empowerment services for a person with intellectual disability in day centres. Respect for personal opinion is expressed through the opportunity for the person to express his opinion, when decisions pertaining to him, are taken. The participants of the study pointed out that when empowering the attendees of the centre they encourage them to express their desires, make choices: “I ask what activity they would like to be engaged in during their leisure, where they would like to go, if they cook, then what and how they would like to cook” (D). The participants of the study emphasised that, in the empowerment process, it is important to collect the largest possible amount of information about each service recipient that his/her wishes and dreams would be revealed. Taking into consideration the opinion of a person, the understanding and assessment of his/her wishes and dreams, in the opinion of social workers, assist a person in becoming more active, motivated to seek his/her objectives: “when you know the wishes of a man, his dreams, and you help respond to them, then the motivation of the man himself and his activeness increase. You must motivate the man to respond to his needs that he would feel the meaning of what he does, would want to do it, and would not do only because somebody told him” (B). The findings of the study show that social workers seek to learn the wishes and the opinion of service recipients. Therefore, in the empowerment process, no less important factors are the means of information obtainment from a person and the methods of information provision to him/her empowering him/her to participate when making decisions. In this process, it is very important to use appropriate means of communications with a person, which would assist in understanding his/her wishes, expectations and opportunities. On the one hand, for persons with intellectual disability, due to difficulties, determined by an intellectual disability, it is difficult to express their thoughts and wishes, communicate verbally: “individual approach to each of them is very important, because not everyone can say what he wants, not everyone speaks verbally, therefore, it is important to use various means both to receive information and present it” (C), “it is important to find ways how to communicate with a person” (H). On the other hand, persons with intellectual disability do not express their wishes regarding circumstances of their environment, because others have not encouraged them to express their wishes, have not asked them for their opinion, but made decisions for them. This is illustrated by the following thoughts of the participants of the study: “some close ones of the attendees of the centre say that we wouldn’t ask for their opinion, because they won’t tell due to their intellect disability, therefore, there is no sense to ask” (G), “there are attendees, who aren’t accustomed to express their opinion, because their environment didn’t encourage them to do that, others would decide what was appropriate for that man and what wasn’t appropriate...” (E).
The findings of the study show that social workers, when obtaining information from a person and providing it, use various methods and means responding to individual needs of the person. According to the participants of the study, when the attendees of the centre have difficulty expressing their thoughts verbally, “in such situations, it is important to notice nonverbal language of a person, use alternative communication, in order to understand what the person wants, for example, we ask to draw, show by using gestures, pictures and the like” (F).
The study revealed that, in the process of personal empowerment, while maintaining respect for the dignity of a person, auxiliary, but not substitutionary assistance for a person when taking decisions is important. When decision-making abilities may be weakened in people due to their disability assistance, while making decisions, is vital. However, it is important that assistance, when making decisions, will be focused on the promotion of personal self-sufficiency, the will of a person will be respected and recognised and his best interests will be represented and substitutionary decisions will not be taken. Substitutionary decision-making means that a person is deprived of the right to take independent decisions, whereas decisions are taken by other people (family members, social workers, guardians and the like), and, in such a way, one of the most fundamental human rights is depreciated – the right to decision-making – and a person becomes assailable. The participants of the study noted that, when providing assistance in decision-making, it is important “to provide as sufficient information as possible by using means and language understandable to a person about the possible consequences of his behaviour, decision or a certain event” (A), “although sometimes the wishes and decisions of an attendee may seem unreal, however, the duty of the social worker is not to dismiss them, but assist the person in understanding his situation better and possible consequences of his future decisions” (D). This shows a person-oriented approach of social workers, who encourages to look for means and methods, in order to boost empowerment in day centre attendees when making decisions. It can be stated that the social workers, working in day centres, change patronising attitude, which dominated earlier, when a service recipient was deemed as a weaker side, which is in need of assistance, whereas an employee was regarded as a stronger side, which is able to provide assistance and decide what is the best for a person with an intellectual disability.
The preparation, implementation and assessment of an individual plan to respond to individual needs of a person assist social workers in providing empowerment services for persons with intellectual disability in day centres. The implementation of the person’s individual plan creates an opportunity to expand social empowerment of a person with intellectual disability in societal life, which takes place in a day centre and outside its premises. According to the participants of the study, “an individual plan of a person allows to implement the objectives of personal empowerment systematically and in a planned manner” (B), “empowerment begins with the preparation of an individual plan while taking into consideration personal needs, because you can’t implement empowerment chaotically” (G). The participants of the study stated that “when preparing an individual plan, opportunities are created for an attendee with intellectual disability to be involved and become active” (H), “an attendee of the centre, despite his disability, verbal abilities, is involved in the drawing of his plan” (E). Individual plans for attendees are also prepared “in a language which can be understood, for example, activities are visualised, pictograms are used” to them (A).
The study revealed that when preparing an individual plan of a day centre attendee, in order to empower him/her, the knowledge of a person and his/her close environment, to assess individual needs of the person as objectively as possible, is important. The understanding of the situation of a person, the identification of his/her needs, a profoundly performed analysis are important factors to personal empowerment. According to the participants of the study: “in order to empower a man you must understand his situation very well, know his needs” (A). The data of the study show that social workers, through various means, endeavour to get to know the individuality of day centre attendees. The assessment documents are analysed, however, according to the participants of the study, the information presented in them “doesn’t really say anything about a person” (C), “for me, that information is too scarce, it is kind of formal, it’s quite a different story to have a chance to talk to a person, his close ones, observe him in the day centre in various activities, during interaction with others in other environments” (E). Consequently, a conversation with a person, his/her close ones, the observation of a person are recognised as important methods to get to know the individuality of a person. The study highlighted that it is important to professionally delve into a person with an intellectual disability, his/her situation and choose appropriate tools, methods, and style for mutual communication: “the better you get to know a man, the more adequately you can assess what he is able to do, what difficulties arise to him, what is the best way to help him, what methods to apply, how to communicate with him” (C).
The study highlighted the focus on the emphasis of abilities of the person when assessing his/her individual needs. When analysing the interviews of the participants of the study it became clear that, in order to get to know a person, the information on his disability is vital, but it should not be focused on it, it should primarily be concentrated on personal abilities, personal characteristics, his/her hobbies, and needs: “I’m not saying that it’s unnecessary to have the knowledge of disability, you need to know its specific characteristics, but most importantly, you’ve got to delve into what a person is able to do, so to speak, where he is strong, to support his strengths, and build on them. It is also important not to forget what his needs are, what he lacks, what needs to be developed that he would be more empowered” (B), “I accept each one of them as an individual personality having something unique, specific, something pertaining to an ability” (F).
The study identified that both when preparing and implementing and assessing an individual plan of a day centre attendee, an important factor, in personal empowerment, is the use of personal strengths. According to the participants of the study, when preparing an individual plan, it is important “to get to know the strengths of a person and build on them, because it also creates conditions for other abilities to be developed, for example, a man has developed dutifulness, it’s a very important characteristic, which can be of help when developing various skills, be it domestic, or job, or others” (D), “it’s necessary to ascertain what, in a man, is strong, because the utilisation of strengths motivates a person to be active, whereas unawareness of them and the ignoring of them doesn’t assist in empowering the man” (H), “unused personal strengths worsen the situation” (C). Consequently, in the process of personal empowerment, it is important to make use of the strengths of a person, because personal abilities, which have been used purposefully, encourage the confidence of the person in himself/herself, are important factors in the development of his/her self-sufficiency.
The study highlighted that, when preparing the individual plan of day centre attendees the identification of the strengths and resources present in a close environment and community of a person is an important factor for their empowerment. According to the participant of the study: “it is important to discover the strengths of the closest environment, a person, for example, his family and build on them, and it’s also important to look for strengths outside of the family, in the community” (B). Consequently, in the process of personal empowerment, it is important to discover and utilise both the resources of a person and those present in his/her close environment and community.
The study shows that an important factor, when preparing, implementing and assessing an individual plan, is cooperation with a person and his/her close ones. Cooperation is perceived by the participants of the study as something that nurtures equality, partnership and companionship between a service recipient, his/her close ones and an employee. Social workers, who participated in the study, recognise that, when preparing, implementing and assessing an individual plan of day centre attendees it is very important “to cooperate with the person himself. He must be involved, active in the process, in other words, the plan shouldn’t be imposed from on high, someone does it instead of him, but everything is done together with him” (E), “Everyone has an individual plan, and I can tell you that his participation and cooperation contribute to the preparation of a plan and go beyond” (G). This shows that social workers understand that empowerment in social work is closely related with the participation of a service recipient. The participants of the study noted that it is no less important to cooperate with the close ones of day centre attendees when preparing, implementing and assessing an individual plan: “cooperation with the close ones assists in receiving important information from them and exchanging information with them when drawing up plan, consulting and involving them in the implementation of the plan and its continuity outside the premises of the centre” (A), “the preparation of plans, discussions and acquaintance with the set objectives, which have to be achieved, assist parents in becoming involved in the implementation of the plan and continuing it at home (H), “it is important to cooperate with the family, look for ways that they would become involved in the empowerment process of their family member attending a day centre both when planning, implementing and discussing successes and arising difficulties” (F). Consequently, the study demonstrated that immediate cooperation with the close ones assists social workers in receiving information on individual needs of the attendee of the centre and responding to them, involving them in the preparation of an individual plan of the attendee of the centre, as well as its implementation and continuity both in a domestic and community environment. Therefore, it can be presumed that social workers deem people from close environment of the attendees of the centre as partners able to substantially contribute to the achievement of joint objectives when empowering a person with an intellectual disability.
The findings of the study revealed that the creation of physical, informational and communicational environments increasing personal activeness and self-sufficiency is an important factor for personal empowerment. In order to increase activeness of a person, it is relevant to adapt a physical environment while responding to individual needs of day centre attendees. The participants of the study noted that attention is paid to the adaptation of a physical environment in day centres: “the physical environment of the centre, both inside and outside, must be accessible and safe, because it assists a person in feeling comfortably, being more independent, when making decisions, and more active” (D), “we endeavour that premises would be adapted to the activities of the attendees, their recreation, in order that they would feel comfortable and safe, more independent” (E), “in order that a person would be able to participate in our activities, we adapt our environment to him to respond to his needs. Some need a table to be adapted or another piece of furniture, there is a need of various technical assistance tools for spaces allotted to recreation and peace...” (A). The findings of the study also show that the use of alternative means, including those facilitating communication, is an important factor in the empowerment process of a person with an intellectual disability, because a portion of people have difficulty receiving information, processing it and communicating. According to the participants of the study, “in order that a person with an intellectual disability would understand information and tasks and would be able to participate in activities, I endeavour to talk clearly, explain as simply as possible, choose the pace of communication with a person” (D), “when communicating I use various additional means facilitating the understanding of their environment and communication, for example, I use pictures, prepare understandable texts, and use gestures...” (G). The participant of the study also noted the importance of universal design when adapting environments, but underlined that employees need to develop their qualifications in this area: “now, universal design is used in practice more and more, but there are still difficulties in this area, we need to acquire more competences ourselves how to apply it...” (C). Consequently, social workers understand the importance of the adaptation of physical, informational and communicational environments in the empowerment process of the persons with intellectual disability and endeavour to create in day centres an environment favourable to a person.
The study revealed that the creation and maintenance of a favourable psychosocial environment in the day centre community is an important factor when providing empowering services. A favourable psychosocial environment in the day centre is guaranteed by the creation and maintenance of positive mutual relationships between day centre employees and attendees. According to the participants of the study: “we’re role models, firstly, we endeavour to create friendly, warm communication atmosphere both between employees and then between employees and attendees themselves” (F), “warm mutual relationships empower a person to communicate more openly, become involved in the activity, ask for help when difficulties arise, become involved in problem solving” (H). The creation and maintenance of positive mutual relationships among day centre attendees is important for a favourable psychosocial environment in the day centre. The participants of the study noted that “when a new attendee comes to the day centre we endeavour that he would feel good, in the group, we get ready for his warm reception” (B), “the celebration of birthdays and other festivals together contribute significantly to the improvement of relationships” (D), “we encourage the attendees of the centre to support each other, not to disparage others, to communicate politely” (C).
When providing empowering services teamwork is important. The participants of the study underlined that, in order to empower a person, all the staff must work as “a team, because when empowering a person it is easier to seek joint objectives in the team, however, it is important that there would be openness, trust in each other in the team” (A). The participants of the study pointed out that cooperation in the team assists in getting to know better the individual needs of a person and responding to them, envisaging objectives, which are clear to all, and everybody’s responsibilities” (F). When working in the team and cooperating, it is possible to discern successes and arising problems in a wider context. According to the participant of the study, “cooperation assists in seeing the provided services and their benefit when empowering a person wider, from different angles, to fully discuss and see better what is good, what possibly needs to be changed in the centre, in the close environment of a person, his community, in order that the empowerment of the person would improve” (B). The participants of the study noted that it is very important to organise regular meetings and discussions of the team: “it’s good when periodic meetings are organised where it’s possible to share your experience, highlight problems arising to us and share insights how they could be solved, let off steam in order not to get exhausted” (E), “by sharing experience, we improve, enrich each other with practical examples” (H). Consequently, the study shows that social workers understand the importance of teamwork in the process of personal empowerment. All the members of the team, while knowing the approach of each other towards a certain issue, the style of the activity, used methods, problems, which were encountered, can take appropriate decisions. In addition, while achieving common goals, coordinating the methods of the activity and obligations, team members assume responsibility for the empowerment of a person. On the other hand, teamwork encourages continuous professional and personal growth of every specialist, whereas the support of team members is an important tool to prevent professional burnout.
The study identified that the involvement of day centre attendees in decision-making and the activity of an institution on various levels is an important factor in the empowerment process of a person with an intellectual disability. In this context, the participation of day centre attendees, when making decisions pertaining to their daily activities and tasks in them, is of particular importance. According to the participants of the study, “we ask the attendees of the centre what activity they’d like to get engaged in, what tasks and with whom they’d like to carry out. It so happens that there comes a man and says, “Today, I’m not in the mood for any activity,” we change that ...” (E). The study highlighted that the participation of the attendees of the centre in the meetings of their group, as well as day centre meetings are also important when discussing and making decisions on various issues. The participants of the study pointed out that: “we invite the attendees of the centre to meetings in order that we’d be able to plan activities corresponding to their needs” (A), “we endeavour to respond to the needs of attendees; if attendees want some activities, and we can’t organise them ourselves, then we either look for volunteers and invite them, or look for courses ourselves and improve ourselves, in order that we’d be able to diversify the occupation of day centre attendees” (C), “we attempt that all the members of a group would participate in the activities according to their possibilities when discussing various issues of their group, expressing their opinion” (H). The study also demonstrated that the attendees of day centres are involved in self-government of the institution: “we’ve got elders, once a month, the meeting of elders takes place, during it, relevant issues, which are relevant to all, are discussed, for example, issues pertaining to pandemic were addressed when there was pandemic,” (D), “the attendees of the centre participate in the meetings of the centre, their representatives are incorporated into the council” (A). In addition, the assumption and implementation of responsibilities and duties by the attendees of the centre are also important. The study revealed that when some attendees of the centre are active, not only do they become willingly engaged in the activities organised in a centre, but they also assume obligations willingly and implement them: “there is an attendee in our centre, who is very active, dynamic and responsible, so when we’re getting ready to go on excursions she commits herself to phone others, who are going on the excursion, in the morning that they would get up on time and come to a designated place or wait at the agreed time for our minibus outside their homes” (B). “Our attendees are responsible themselves for the organisation of birthdays, they take care that everyone would write a birthday wish... come up with the idea what handmade gift will be given to congratulate a colleague or an employee... ” (D). Social workers, who participated in the study, underlined that they endeavour that each attendee of the centre according to his possibilities would have responsibilities and duties in the day centre: “in the group, in various activities, we endeavour that an attendee of the centre would be involved, would have a responsibility and duty of one kind or another” (E). The study demonstrated that service recipients are involved when assessing the quality of services. The participants of the study noted that: “It is important for us how service recipients assess services provided to them, so we endeavour to involve them into the assessment of the quality of services” (F), “we conduct surveys regarding services, the assessment of various events...” (C). Consequently, in the empowerment process, social workers endeavour to involve day centre attendees in decision-making and activities of an institution on various levels that they would participate in the life of the day centre, feel important community members of the day centre.
The study revealed that the maintenance and development of personal competences increasing his/her self-sufficiency are important factors when providing empowerment services in the day centre. The study shows that when developing personal competences, increasing his/her self-sufficiency, in day centres, attention is directed to domestic skills maintenance and development. This is illustrated by the following statements of the participants of the study: “our attendees learn to buy groceries, cook, how to prepare it safely and keep” (H), “to prepare and lay the table” (C), “maintain cleanliness and tidy the premises of their group in the day centre, clean the dust, wash the floor, tidy their things, clean the territory” (A). The participants of the study pointed out that they maintain and develop domestic skills in persons with intellectual disability through practical activities, encourage them to be independent, learn to do housework themselves, and to allow others to do it for them. Social workers stated that their assistance, when expanding domestic skills of attendees in the day centre, is support, consulting and assistance while taking into consideration individual needs of the person.
Having analysed the data of the study, it was established that when developing personal competences and increasing self-sufficiency, in the day centre, attention is also allocated to the development of health skills. The data of the study show that social workers organise various activities, encouraging day centre attendees to be physically active: “every day, we go for a walk, talk and advise them to actively spend their leisure time at home, go on hikes, play various outdoor games” (E). The participants of the study also noted that when developing health skills they pay attention to nutritional health: “we talk about healthy diets and teach to cook healthy food, use more vegetables, fruits, refuse unhealthy food” (B). The study shows that, in day centres, attention is paid to maintain and strengthen emotional health. The participants of the study noted that “in the centre, we nurture harmonious mutual relationships, help each other, learn to resolve conflicts” (D), “we talk a lot, if somebody is going through hard times, we support him” (G), “we learn to resolve conflicts peacefully without insulting each other” (F), “we learn to relax, talk about our feelings” (A).
The study revealed that, in day centres, attention is allocated to the maintenance and development social skills. The participants of the study pointed out that they give particular attention to communication and the development of cooperation skills. When developing social skills social workers create meaningful social relationships, they base the communication with day centre attendees on sincerity, respect, and tolerance: “both we accustom ourselves and attendees to communicate with each other politely, and respectfully, listen to each other, respect another’s opinion, although it may different” (F). Social workers noted that they develop social skills by showing their personal example how to communicate and behave appropriately in various daily activities of the centre, when going outside the premises of the centre, organising individual and group activities, utilising real situations or creating educational situations.
The study shows that the maintenance and development of job skills are also given attention. In day centres, persons with intellectual disability develop job skills by tidying the environment of the day centre and participating in educational programmes. According to the participant of the study, “in the centre, there are ceramics, sewing, knitting, souvenir, candle making, woodwork and other workshops” (D). Attention should be drawn to the fact that, in day centres, endeavours are made to provide opportunities to try job skills acquired in workshops outside of the day centre: “the attendees of our day centre have an opportunity to apply job skills in various companies” (B).
The involvement of a person in sociocultural activities is an important factor for his/her empowerment. The study revealed that, in day centres, persons with intellectual disability have an opportunity to participate in various sociocultural activities. On the one hand, in day centres, various workshops of artistic slant operate (music, theatre, art, etc.), which they can choose. On the other hand, the attendees of the centre have an opportunity to become involved in various events, organised both in a day centre and outside of its premises. This is illustrated by the following statements of the participants of the study: “they can choose various artistic workshops according to their wishes: theatre, painting, music or others” (B), “the attendees of the centre participate in exhibitions, fairs, concerts in the centre and outside of its premises” (E), “we visit museums, exhibitions, go on excursions, we participate in various city events and festivals” (G). The participation of persons with intellectual disability in the sociocultural activity is an important means of their self-expression and self-realisation assisting in revealing and expanding their abilities.
The study revealed that when developing and maintaining competences of a person, which increase his/her self-sufficiency, patience in order to achieve a result and resilience to despair, having failed to achieve it is very important. According to the participants of the study: “I am especially pleased when I see progress made by them, although it may be very little, for some, it happens faster, to others, it happens over a long period of time. I’m not saying that I always succeed in achieving what I envisaged, things happen, but it’s important not to lose hope, that we would all think over together: what and how it was done, what, possibly, needs to be done differently” (B), “sometimes fast and obvious changes don’t occur. It’s very individual. It sometimes seems, when you look as an observer, that there’s no progress, but, when you see the whole process, you participate in it, then even very small progress, according to the abilities of that person, we say, anyway, is a significant progress for that person” (F). This shows that, to the participants of the study, the individual progress of a person and attention to the process of personal empowerment, its organisation are important. Consequently, the participants of the study recognise the importance of the empowerment process and do not focus only on the outcome.
The study shows that a day centre is a favourable environment, in which personal competences which are important to their self-sufficiency and social life, are maintained and developed, however, it is insufficient, and it is important that day centre attendees have an opportunity to transfer and expand the competences they possess in other environments. According to the participant of the study, “we endeavour that people would learn a lot of things in the centre, would acquire more abilities, which they would be able to apply and expand outside” (G). Consequently, when developing and maintaining personal competences, which increase his/her self-sufficiency, making use of other environments (home, community) and the continuity of empowerment in them are important factors. The participants of the study recognise that maintenance and development of personal competences in a domestic environment are important factors for empowerment, because: “that what we learn here, in the centre, it is important to establish / maintain at home, because otherwise there will no use, everything will be forgotten and then everything from scratch once again...” (A), “we talk with the close ones of the attendees, discuss individual plans in order to establish those activities at home as well, that, in domestic environment, there would be conditions created for certain skills to be established, then there is a move forward” (F). According to the participant of the study, it is also important “to involve a close environment and consult them how they would be able to empower that man not only at home, but elsewhere as well” (B). Consequently, maintenance and development of personal competences in the community is no less important. According to the participants of the study, “when working with the attendees of the centre we often encourage them to become actively involved in community activities, we implement joint projects that they would transfer their skills, would expand and would acquire new ones in another, namely community environment” (H), “we maintain close relationships with the community, go to do the good work, we participate and organise joint events ourselves, acquaint the community with our day centre attendees in order that the community would receive them as equal, that they wouldn’t be afraid of them, would support them” (C). Consequently, the development of personal competences in a day centre and the ensuring its continuity in another environment is an important factor in order to empower a person with an intellectual disability.
The findings of the study show that a positive approach towards a person with an intellectual disability is an important factor for his empowerment. Leal et al. (2020) note that a negative approach towards persons with intellectual disability, is one of the major obstacles to their empowerment and social inclusion. Whereas a positive approach contributes to the empowerment of persons with intellectual disability and their participation in the social activity, improves the quality of the provided services and reduces the stigma of a disability. Kritsotakis et al. (2017) also emphasise the importance of a positive approach and point out that the more favourable an approach towards a person is, the more favourable empowerment attitudes are and vice versa: the less favourable approach towards persons with intellectual disability is, the less favourable empowerment attitudes are. Social workers, possessing an unfavourable approach towards persons with intellectual disability, communicate less with them when providing services.
On the basis of the data of the study, on the one hand, a positive approach towards a person with an intellectual disability should be associated with the perception of the person through the lenses of his powers, strengths – not those of an inability and weaknesses – and with the non-focusing on a disability. The importance of personal strengths, in the process of personal empowerment, is emphasised by other scientists as well. According to Zavadskienė and Ruškus (2017), the emphasis on strengths encourages emancipation, creativity, positive attitudes and changes in the client’s life. Adomaitytė-Subačienė (2019) note that optimism, faith in changes and trusting each other, the emphasis of personal strengths in social work are extremely important tools of a social worker’s self-empowerment and a client’s empowerment. Ruškus and Mažeikis (2007, p. 152) point out that “the perception of a person from the positions of lack and impairment closes the door on seeing personal abilities, the opportunities for self-expression and participation”.
On the other hand, the study revealed that a positive approach should also be attributed to the individuality of a person and the recognition of his/her opportunities and the discernment of opportunities in arising difficulties. Miley et al. (2013) also underline that social workers, who, in their practice, build on the perspective of strengths, must be able to interpret the problems of their clients’ flexibly by looking at difficulties as challenges to overcome and opportunities to grow. In addition, the study shows that a positive approach is inseparable from partner relationships between an employee and a service recipient. According to Zavadskienė and Ruškus (2017), in the context of empowerment, the best result is achieved when cooperating with clients and looking at environment resources as the source of unused possibilities. Ruškus and Mažeikis (2007) note that when expert abilities are attributed to specialists, then persons with disabilities, their close ones assume the role of a passive user. Therefore, for the empowerment of a person, it is necessary to recognise him/her and his/her close environment as equal partners.
The components of a positive approach in the process of personal empowerment, which were revealed by the study, create preconditions for ensuring the dignity of a person, responding to individual needs of day centre attendees, promoting their self-sufficiency and participation.
The study revealed that respect for the opinion of the person when taking decisions pertaining to him/her is also an important factor of his/her empowerment, which should be attributed to both an opportunity for the person to express his/her opinion when decisions, pertaining to him/her, are taken, and the methods of the acquisition of information from a person and the means of the provision of information to him/her and empowering him/her to participate while making decisions and while providing a person with an intellectual disability with auxiliary and not substitutionary assistance when taking decisions.
Historically, at all times, society tried to limit the rights of persons with intellectual disability to take an independent decision, based on their alleged incompetence, therefore, most often, institutions or other persons took decisions for them, in such a way, depriving them of the right to self-sufficiency and autonomy (Pathare & Shields, 2012). In pursuance with the provisions of the United Nations Convention on the Rights of Persons with Disabilities (2006), the right of the persons with disabilities to decision-making is recognised. However, when endeavouring the implementation of their objectives, persons with intellectual disability may need outside help, in order that they would be able to use those opportunities, which are accessible for persons without intellectual disability (Buntinx & Schalock, 2010). The studies of other scientists show that persons with intellectual disability, in the presence of necessary assistance, can take autonomous decisions themselves (Björnsdóttir et al., 2015). Attention should be drawn to the fact that the possibility to make use of assistance, when making decisions, should be given for persons with intellectual disability, however, such assistance may not be interpreted as taking a decision for a person with a disability. The new decision-making model established by the convention obliges to develop and introduce new forms and methods of assistance, which will not restrict the rights of persons, but firstly will offer assistance to them when taking independent decisions, on the basis of the principles of respect for the will, wishes and priorities of a person (Juodkaitė, 2015). A substitutionary model of decision-making is interpreted as the violation of human rights and dignity. In the opinion of Bach and Kreizer (2010), a substitutionary model is very often based on the striving to protect a person with disability from wrong decisions, however, from the perspective of the rights of the persons with disabilities, it causes social harm.
The study also revealed that an individual approach when providing assistance, while making decisions, to persons with intellectual disability is very important: to use appropriate means to receive and present communication and information. Gudelytė and Ruškus (2019) also maintain that when providing assistance to persons with intellectual disability, when making decisions the knowledge of a person and the perception of the context, taking into consideration individual characteristics of a person, a creative search for auxiliary means for the expression of their will and application, the use of communication techniques are important. To provide individualised services, allowing to take decisions independently is also pointed out by Article 21 of the United Nations Convention on the Rights of Persons with Disabilities emphasising that appropriate measures should be taken to ensure that persons with disabilities would be able to use their right to the freedom of self-expression and opinion, receive and provide information in formats available to them.
Consequently, both this and other studies (Shogren et al., 2017; Bigby et al., 2019 ) show that various contextual and environmental factors dominate, which influence the opportunities of autonomous decision-making in persons with intellectual disability: the specificities of their disability, experience in decision-making, the availability of information, the complexity of decisions, relationships with services providers, possibilities to take decisions, family approach towards decision-making.
The data of the study show that the preparation, implementation and assessment of an individual social day care plan, responding to individual needs of the person is an important factor in the empowerment process of day centre attendees. The study revealed that in order to assess as objectively as possible individual needs of a person, it is important to get to know the person and his/her close environment. In addition, when assessing individual needs of a person it is important to focus on the emphasis of his/her abilities and the use of his/her personal strengths. It is no less important to identify strengths and resources, which are present in his/her close environment and community, and use them in the process of personal empowerment. Attention should be drawn to the fact that when preparing, implementing and assessing an individual plan it is important to cooperate with a person with an intellectual disability and his/her close ones. Other studies have also revealed similar tendencies. According to Adomaitytė-Subačienė (2019), individual empowerment takes place successfully then, when a person endeavours himself/herself to become involved in the empowerment process, is motivated to actively participate, seeks autonomy and self-sufficiency. Dvarionas et al. (2014) note that an organisation providing social services and social workers, working in it, should create conditions for service recipients and their family members to become involved in decision-making when planning, providing and assessing social services, recognise and identify to themselves their needs, control personal life changes, to be responsible for their life. According to Ruškus and Mažeikis (2007), it is important that, in the assessment process, the competences of all the members of the process of personal empowerment would be revealed in order to achieve a joint objective. According to the authors, not impairments, inabilities, but the knowledge of a person, his/her skills, motives, interests and needs, his/her external resources should be highlighted, strengthened and used. Neither the passivity, the lack of understanding by the close ones should be emphasised, but their ability to get to know their person with an intellectual disability, assist him/her, see him/her in daily situations. The importance of the partnership between employees and family members, when providing services for persons with intellectual disability, is noted by other scientists as well (Maniezki et al., 2021), who state that cooperation with service recipients and their close ones improve satisfaction with a centre, the quality of provided services and the standard of life of persons with intellectual disability. According to Ruškus and Mažeikis (2007), it is possible to take into consideration the resources of a person and environment only in the presence of partnership of all the participants of empowerment, equal participation when preparing, implementing and assessing individual plans. When the plan is based on resources of all participants, it is possible to hope that they will be empowering and effective.
The study identified that an important factor, when empowering persons with intellectual disability, is the creation of physical, information, communication environment increasing his/her activeness and self-sufficiency. When creating physical environment in day centre, it is important to respond to individual needs of a person, prepare spaces in the centre in such a way that he/she would feel safe, would be able to become involved in activities without restrictions, would have spaces allotted for recreation and calming down. In addition, in the empowerment process of persons with intellectual disability, the use of alternative and those facilitating communication means is important, because a portion of persons have difficulty receiving information, processing it and communicating, which restricts personal participation opportunities. The adaptation of the aforementioned environments as an important factor of the participation of the persons with intellectual disability and the increasing of self-sufficiency are also named in the studies of other scientists. According to Friedman and McNamara (2018), a well-adapted environment may be conducive, whereas not adapted or maladapted environment may restrict the self-sufficiency and participation of a person with an intellectual disability. The effectiveness of the services is influenced by appropriate communicative and informational environments, the interaction of persons with intellectual disability facilitating their communication, self-sufficiency, and participation (Ogletree et al., 2016). To achieve that, it is important to expand the communication skills of persons with intellectual disability and their communication partners, apply alternative means (Kent-Walsh et al., 2015).
The study highlighted that the creation of a favourable psychosocial environment in the day centre community is an important factor for personal empowerment. A favourable psychosocial environment in a day centre should be attributed to the creation and maintenance of positive mutual relationships both between a day centre employee and attendees, and between centre attendees themselves. In addition, when creating favourable psychosocial environment, in order to empower persons, teamwork is important, which assists in achieving not only joint objectives, coordinating the methods of the activity, assuming obligations and responsibility, but also encourages professional and personal growth of each specialist, the support of each other by team members, assists in avoiding professional burnout. Šorytė and Pajarskienė (2014) also note that important positive factors of a psychosocial work environment are good relationships with colleagues and a director, and organisational support. In a modern organisation, teamwork is becoming the main factor guaranteeing the success of the organisation, because harmonious teamwork guarantees appropriate cooperation of team members, the solution of complex problems, appropriate decision-making, the formation of tasks, assessment (Aleksandravičiūtė & Liekis, 2020).
The study revealed that in order to empower a person with an intellectual disability, the inclusion of day centre attendees into decision-making of an institution on various levels and activity is important. The study shows that the attendees of the centre are involved in decision-making pertaining to daily activities and tasks in them. The attendees of the centre also participate in groups, the day centre meetings, are involved in self-government of an institution, assume responsibilities, obligations and implement them, get engaged in the assessment of the quality of services. All of that assists in creating communitarianism and equal friendship. According to Gudelytė and Ruškus (2019), when creating communitarianism in the organisation, while implementing the principle of equal participation, it is important that persons with disabilities participate taking various decisions. On the other hand, persons, when having an opportunity to take decisions, feel more respectable, more equal.
The study demonstrated that the maintenance and development of personal competences increasing self-sufficiency of persons with intellectual disability is an important empowerment factor for them. On the basis of the insights of Ruškus et al. (2013) it can be presumed that when working in the organisation of persons with intellectual disability one of priority areas of personal empowerment, in the context of the development of personal competences, is increasing his/her self-sufficiency. In day centres, the competences of persons with intellectual disability, which increase their self-sufficiency, should be attributed to the maintenance and development of domestic, health, social, and job skills. It should be emphasised that when developing independent living skills, it is important to involve people in practical activities, provide them with opportunities to act actively, learn to solve real life problems independently and interact with social environment.
The study shows that personal involvement of persons with intellectual disability in sociocultural activities assisting in revealing and expanding personal abilities is of particular importance for maintenance and development of competences, which increase their self-sufficiency. According to Ruškus and Mažeikis (2007), the greater variety of engagement, the better conditions for the self-expression and participation of persons are created. According to Šinkūnienė (2012), by participating in various events (concerts, exhibitions, fairs and the like) persons with disabilities expand relationships with their social environment, develop their social skills.
On the basis of the data of the study, attention should be drawn to the fact that when developing and maintaining the competences in a person with intellectual disability, increasing his/her self-sufficiency, a social worker must be patient in order to achieve a result and not give in to despair having failed to achieve it. When working with persons with intellectual disability not only the result, but the empowerment process itself is important. In scientific literature, it is maintained that the achievement of a result in social work is a complex phenomenon. Even a long-drawn-out process of the assistance to a person not always guarantees that the person will learn to solve problems independently, will use internal and external resources of assistance (Liepinskaitė & Motiečienė, 2017).
The study also revealed that, when developing and maintaining personal competences, increasing his/her self-sufficiency, it is important to make use of his/her domestic and community environments. Amado et al. (2013) also emphasise the crucial role of interpersonal and communal environment. In addition, the programmes promoting social involvement, which are organised in communities and aimed at meaningful spending of leisure time, amusements, recreation or health promotion are extremely useful. Social inclusion affects the life of persons with disability positively, reduces the feeling of loneliness, widens their circle of friends (Wilson et al., 2017), increases their satisfaction with life, reduces personal isolation and, at the same time, increases their physical activeness and assists in expanding self-sufficiency skills (Amado et al., 2013). The continuity of social participation in other environments of persons with disability is emphasised by Webber and Fendt-Newlin (2017). According to the authors, the success regarding social participation of persons with disability is achieved when persons with disability participate in the life of society actively, and establish wider relationships with other members of society. These relationships provide an opportunity, for a person with an intellectual disability, to utilise a wide range of societal resources and reduce social isolation. According to Genienė (2021), the development of community services is of particular importance, because when persons with disability have more opportunities to participate in various activities they can expand their social relationships, furthermore, the negative attitudes of society decrease. Consequently, in order to achieve social participation of persons with disability and the expansion of their empowerment, it is very important to focus substantial attention on relationships with the external environment, activate them and expand.
Adomaitytė-Subačienė, I. (2019). Socialinio darbo kokybės konstravimas kliento įgalinimo perspektyvoje [Constructing the quality of social work in the perspective of client empowerment]. [Daktaro disertacija [Doctoral dissertation], Vilnius Universty]. http://epublications.vu.lt/object/elaba:36479377/index.html
Aleksandravičiūtė, B., & Liekis, K. (2020). Modern learning strategies in higher education: Team-based learning. Acta Paedagogica Vilnensia, 44, 141–151. https://doi.org/10.15388/ActPaed.44.10
Amado, A. N., Stancliffe, R. J., McCarron, M., & McCallion, P. (2013). Social inclusion and community participation of individuals with intellectual/developmental disabilities. Intellectual and developmental disabilities, 51(5), 360–375. https://doi: 10.1352/1934-9556-51.5.360
Anderson, K., Geboy, L., Jarrott, S. E., Missaelides, L., Ogletree, A. M., Peters-Beuer, L., & Zarit, S. H. (2020). Developing a Set of Uniform Outcome Measures for Adult Day Services. Journal of Applyed Gerontology, 39(6), 670–676. https://doi: 10.1177/0733464818782130
Bach, M., & Kerzner, L. (2010). A New Paradigm for Protecting Autonomy and the Right to Legal Capacity. https://www.lco-cdo.org/wp-content/uploads/2010/11/disabilities-commissioned-paper-bach-kerzner.pdf
Bigby, C., Whiteside, M., & Douglas, J. (2019). Providing support for decision making to adults with intellectual disability: Perspectives of family members and workers in disability support services. Journal of Intellectual & Developmental Disability, 44(4), 396–409. https://doi:10.3109/13668250.2017.1378873
Björnsdóttir, K., Stefánsdóttir, G. V., & Stefánsdóttir, Á. (2015). “It’s my life”: Autonomy and people with intellectual disabilities. Journal of Intellectual Disabilities, 19(1), 5–21. doi: 10.1177/1744629514564691
Black, H., Rubinstein, R., Frankowski, A., Hrybyk, G., Nemec, M., & Tucker, G. (2018). Identity, Semiotics, and Use of Symbols in Adult Day Services. The Gerontologist, 58, 730–738. https://doi:10.1093/geront/gnx074
Buntinx, W. H. E., & Schalock, R. L. (2010). Models of disability, quality of Life, and individualized supports: implications for professional practice in intellectual disability. Journal of policy and practice in intellectual disabilities, 7(4), 283–294. https://doi.org/10.1111/j.1741-1130.2010.00278.x
Cypress, B. S. (2017). Rigor or reliability and validity in qualitative research: Perspectives, strategies, reconceptualization, and recommendations. Dimensions of critical care nursing, 36(4), 253–263. https://doi.org/10.1097/ DCC.0000000000000253
Creswell, J. W. (2014). Research design: qualitative, quantitative, and mixed methods approaches. Fourth edition. London: SAGE.
Dvarionas, D., Motiečienė, R., Ruškus, J., Mažeikienė, N., & Naujanienė, R. (2014). Įgalinančių socialinių paslaugų modelis socialinės gerovės politikos kontekste [Empowering social service model in the context of social welfare policy]. Filosofija. Sociologija [Philosophy. Sociology], 25(2), 89–97. https://www.ceeol.com/search/article-detail?id=132347
Friedman, C., & McNamara, E. (2018). Home- and community-based speech, language, and hearing services for people with intellectual and developmental disabilities. Research and Practice for Persons with Severe Disabilities, 43(2), 111–125. doi:10.1177/1540796918775595
Genienė, R. (2021). Socialinių paslaugų vystymas ir teikimas psichosocialinę negalią turintiems asmenims stacionarių globos institucijų pertvarkos perspektyvoje [Development and provision of social services to persons with psychosocial disabilities in the perspective of social care reform]. [Daktaro disertacija [Doctoral dissertation], Vilnius University]. https://talpykla.elaba.lt/elaba-fedora/objects/elaba:98858883/data streams/MAIN/content
Gudelytė, U., & Ruškus, J. (2019). „Padėk man nuspręsti“: socialinio darbuotojo vaidmuo teikiant pagalbą intelekto negalią turintiems asmenims priimant sprendimus [“Help me to decide”: the role of the social worker in assisting people with intellectual disabilities in supported decision-making]. Socialinis darbas. Patirtis ir metodai [Social work. Experience and methods], 23(1), 11–50. https://doi:10.7220/2029-5820.23.1.1
Gvaldaitė L. (2009). Empowerment in social work. Socialinė Teorija, Empirija, Politika ir Praktika [Social Theory, Empirics, Plicy and Practice], 5, 42–53. https://doi.org/10.15388/STEPP.2009.0.5265
Jungtinių tautų neįgaliųjų teisių konvencija ir jos Fakultatyvus protokolas [United Nation Convention on the Rights of Persons with Disabilities and its optional protocol] (2006). https://e-seimas.lrs.lt/portal/legalAct/lt/TAD/TAIS.335882
Juodkaitė, D. (2015). Gerosios praktikos pavyzdžiai dėl asmenų su negalia įgalinimo, suteikiant jiems pagalbos paslaugas sprendimų priėmimui ir savarankiškam gyvenimui užtikrinti [Examples of good practice on empowering people with disabilities by providing support services for decision-making and independent living.] http://manoteises.lt/wp-content/uploads/2016/02/Studija_Gerosios_praktikos_pavyzd%C5%BEiai_d%C4%97l_asmen%C5%B3_su_negalia_%C4%AFgalinimo.pdf.pdf
Kam, P. K. (2021). From the strengths perspective to an empowerment–participation–strengths model in social work practice. British Journal of Social Work, 51, 1425–1444. https://doi.org/10.1093/bjsw/bcab049
Kent-Walsh, J., Murza, K. A., Malani, M. D., & Binger, C. (2015). Effects of communication partner instruction on the communication of individuals using AAC: A meta-analysis. Augmentative and Alternative Communication, 31, 271–284. doi:10.3109/07434618.2015.1052153
Kritsotakis, G., Galanis, P., Papastefanakis, E., Meidani, F., Philalithis, A. E., Kalokairinou, A., & Sourtzi, P. (2017). Attitudes towards people with physical or intellectual disabilities among nursing, social work and medical students. Journal of Clinical Nursing, 26(23-24), 4951-4963. https://doi:10.1111/jocn.13988
Leal, N., Eusebio, C., & Rosa, M. J. (2020). Attitudes towards people with disabilities: A systematic literature review. Revista Brasileira de Educação Especial, 26 (4), 689–710. https://doi.org/10.1590/1980-54702020v26e0062.
Liepinskaitė, I., & Motiečienė, R. (2017). Įgalinančios socialinės paslaugos vaikų dienos centruose: socialinių darbuotojų perspektyva [Empowering social services in child day care centers: social workers’ perspective]. Socialinis darbas. Patirtis ir metodai [Social work. Experience and methods], 20, 29–53. https://doi: 10.7220/2029-5820.20.2.2
Lietuvos neįgaliųjų draugija. (2018). Neįgaliųjų individualių specialiųjų poreikių tenkinimo tyrimas, įvertinant Jungtinių Tautų neįgaliųjų teisių konvencijos nuostatų įgyvendinimo efektyvumą Lietuvoje: apklausos rezultatų ataskaita [Study of the satisfaction of the individual special needs of people with disability, assessing the effectiveness of the implementation of the provisions of the United Nations Convention on the Rights of People with Disability in Lithuania: survey results report https://www.ndt.lt/wp-content/uploads/Ne%c4%afgali%c5%b3j%c5%b3-poreiki%c5%b3-tyrimo-ataskaita-2018-12-07-GALUTINIS.pdf
Lietuvos Respublikos socialinės apsaugos ir darbo ministro 2014 m. vasario 14 d. įsakymas Nr. A1-83 Dėl perėjimo nuo institucinės globos prie šeimoje ir bendruomenėje teikiamų paslaugų neįgaliesiems ir likusiems be tėvų globos vaikams 2014–2020 metų veiksmų plano (2014). https://www.e-tar.lt/portal/lt/legalAct/c90d41f097de11e3bdd0a9c9ad8ce1bf
Makharadze, T., Kitiashvili, A., & Bricout, J. C. (2010). Community-based day-care services for people with intellectual disabilities in Georgia: a step towards their social integration. Journal of Intellectual Disabilities, 14(4), 289–301. https://doi: 10.1177/1744629510393186
Maniezki, A., Martínez-Tur, V., Estreder, Y., & Moliner, C. (2021). Effects of a justice-based partnership between employees and families in creating services and supports to enhance quality of life outcomes. Intellectual and Developmental Disabilities, 59(2), 172–182. doi: 0.1352/1934-9556-59.2.172
Miley, K.K., O’Mella, M., & Dubois, B. (2013) Generalist social work practice: an empowering approach. 7th edn, London: Pearson.
Ogletree, B. T., Bartholomew, P., Kirksey, M. L., Guenigsman, A., Hambrecht, G., Price, J., & Wofford, M. C. (2016). Communication training supporting an AAC user with severe intellectual disability: Application of the communication partner instruction model. Journal of Developmental and Physical Disabilities, 28, 135–152. doi:10.1007/s10882-015-9444-2
Pathare, S., & Shields, L. S. (2012) Supported decision-making for persons with mental illness: A review. Public Health Reviews 34, 1–40. http://supporteddecisionmaking.com/sites/default/files/pathare_2012.pdf
Raudeliūnaitė, R., & Gudžinskienė, V. (2017). The empowerment of young people with intellectual disability by providing socio-educational services at day centres. In EDULEARN 17: 9th International Conference on Education and New Learning Technologies. Barcelona, Spain. 3-5 July, 2017: conference proceedings (pp. 9020–9028). Valencia: IATED Academy. doi:10.21125/edulearn.2017.
Ruškus, J., & Mažeikis, G. (2007). Neįgalumas ir socialinis dalyvavimas: kritinė patirties ir galimybių Lietuvoje refleksija: monografija [Disability and social participation: critical reflection of experiences and opportunities in Lithuania: monograph]. Šiauliai: Šiaulių universiteto leidykla.
Ruškus, J., Motiečienė, R., Mažeikienė, N., Naujanienė, R., & Dvarionas, D. (2013). Įgalinimo samprata socialinių paslaugų kontekste [The concept of empowerment in the context of social services]. Socialinis darbas. Patirtis ir metodai [Social work. Experience and methods], 12(2), 9–42. https://doi:10.7220/2029-5820.12.2.1
Shogren, K. A., Wehmeyer, M. L., Lassman, H., & Forber-Pratt, A. J. (2017). Supported decision making: A synthesis of the literature across intellectual disability, mental health and ageing. Education and Training in Autism and Developmental Disabilities, 52(2), 144–157. https://doi.org/10.2307/26420386
Šereivienė, A., & Žydžiūnaitė, V. (2005). Socialinio darbuotojo kompetencijos komponentai socioedukacinio darbo kontekste [Competence components of a social worker in the context of socio-educational work]. Sveikatos ir socialinių mokslų taikomieji tyrimai: sandūra ir sąveika [Applied Research in Health and Social Sciences: Intersections and Interactions], 1, 6–23.
Šinkūnienė, J. R. (2012). Bendruomeniškumas, komunikacija ir muzika: sociologiniai negalios aspektai [Community, Communication and Music: Sociological Aspects of Disability]. Vilnius: Mykolo Romerio universitetas.
Šorytė, D., & Pajarskienė, B. (2014). Darbuotojų gerovė ir ją skatinantys psichosocialinės darbo aplinkos veiksniai [employees‘ well-being and positive impact of psychosocial workplace factors]. Visuomenės sveikata [Public Health], 2(65), 9–19. https://www.hi.lt/uploads/pdf/visuomenes%20sveikata/2014.2(65)/VS%202014%202(65)%20LIT%20Darbuotoju%20gerove.pdf
Venclovienė, M. (2015). Įgalinimo samprata ir veiksniai socialinio darbo metodų perspektyvoje [The concept of empowerment and social factors in the working methods of perspective]. Filosofija. Sociologija [Philosophy. Sociology], 26(2), 113–121. https://mokslozurnalai.lmaleidykla.lt/publ/0235-86/2015/2/113%E2%80%93121.pdf
Vilkelienė, A., & Kulikauskienė, K. (2014). Neįgaliųjų gyvenimo kokybės individualieji ir socialiniai aspektai meninio ugdymo kontekste [Individual and social aspects of quality of life of the disabled in the context of arts education]. Pedagogika [Pedagogy], 114(2), 209–221. https://doi.org/10.15823/p.2014.018
Zavadskienė, J., & Ruškus, J. (2017). Socialinio darbo potencialas praktikuojant stipriųjų pusių perspektyvą probacijoje [Social work potential in probation through practicing the strengths perspective]. Socialinis darbas. patirtis ir metodai [Social work. Experience and methods], 19(1), 89–108. http://dx.doi.org/10.7220/2029-5820.19.1.5
Žydžiūnaitė, V., & Sabaliauskas, S. (2017). Kokybiniai tyrimai: principai ir metodai [Qualitative research: principles and methods]. Vilnius: Vaga.
Webber, M., & Fendt-Newlin, M. (2017). A review of social participation interventions for people with mental health problems. Social Psychiatry and Psychiatric Epidemiology, 52(4), 369–380. https://doi:10.1007/s00127-017-1372-2
Wiles, R. (2013). What are Qualitative Research Ethics? London: Bloomsbury Academic.
Rita Raudeliūnaitė
Mykolas Romeris University, Lithuania
Vida Gudžinskienė
Mykolas Romeris University, Lithuania
Summary
Socioeducational services, which are provided in day care centres, have a substantial impact on the empowerment of people with an intellectual disability. The article reveals factors, which assist social workers in empowering people with an intellectual disability in day care centres. Qualitative research was chosen for the study while using the method of a semi-structured interview. Eight social workers, who work with people with an intellectual disability in day care centres were chosen for the research. The obtained data were analysed by using the method of a qualitative content analysis while adhering to inductive logic of classifying into categories, which is based on the study data. The study revealed factors assisting in empowering people with an intellectual disability in social care centres: a positive attitude towards a person with an intellectual disability, respect for the opinion of a person when taking decisions related to him/her, the preparation, implementation and assessment of an individual plan when responding to individual personal needs, the creation of physical, informational and communicational environment increasing personal activeness and independence, the creation and maintenance of a favourable psychosocial environment in the community of a day care centre, the involvement of day centre attendees in the institution’s decision-making at various levels, the development, maintenance and expansion of personal competences, which increase their independence. A positive attitude towards a person with an intellectual disability should be associated with non-concentration on a disability, but the perception of a person through the lenses of his abilities, strengths, and not the lenses of his/her inability and weaknesses, the acknowledgement of personal individuality and his/her possibilities and the discernment of opportunities in the arising difficulties, as well as a partnership in relationships between an employee and a recipient of services. Respect for the opinion of a person when taking decisions related to him/her should be associated both with an opportunity for a person to express his opinion when decisions, which are related to him/her, are taken and the obtaining and supply of information from a person through the means empowering him/her to participate while taking decisions and by providing a person with an intellectual disability with adjuster, but not substitutionary assistance. When preparing, implementing and assessing an individual plan of a person it is important to know a person and his/her immediate environment, to identify strengths and resources both in a person, his/her immediate environment and a community and to use them in the empowerment process. In addition, it is important to cooperate with a person with an intellectual disability and his/her close relatives when preparing, implementing and assessing an individual plan. When empowering persons with an intellectual disability the creation of physical, information and communication environment, the use of alternative means, as well as those facilitating communication are important. The creation of a favourable psychoactive environment in the community of a day care centre while developing and maintaining positive relationships both between day care employees and attendees and the attendees of a centre themselves is equally important. The involvement of the attendees of a day care centre in decision-making at various levels of an institution is attributable to the involvement of them in decision-making related to daily activities, tasks in them, the self-government of an institution, as well as the assumption and implementation of responsibilities and obligations and their involvement in the assessment of service quality. The maintenance and expansion of personal competences increasing independence are important empowerment factors to persons with an intellectual disability relatable to the maintenance and expansion of domestic, health friendly, social and work skills and personal involvement in sociocultural activities. Furthermore, when developing and maintaining competences in persons with an intellectual disability, which increase their independence, the social worker has to be patient in order to achieve a result and not to give in to despair, if he/she fails to achieve it. When working with persons with an intellectual disability an empowerment process, but not a result is important.
1 Tyrime dalyvavusių socialinių darbuotojų kalba taisyta minimaliai.