Taikomoji kalbotyra, 21: 119–143 eISSN 2029-8935
https://www.journals.vu.lt/taikomojikalbotyra DOI: https://doi.org/10.15388/Taikalbot.2024.21.8
Lina Kalnaitytė
Vilniaus universitetas
lina.kalnaityte@flf.stud.vu.lt
Loreta Vilkienė
Vilniaus universitetas
loreta.vilkiene@flf.vu.lt
Anotacija. Straipsnyje aprašomo tyrimo tikslas – atsakyti į klausimus, kokia yra tiriamųjų grupės motyvacija mokytis lietuvių kalbos, kokį poveikį besimokantiesiems daro skirtingos motyvacijos dalys, kokie veiksniai galimai skatina tiriamuosius mokytis lietuvių kalbos. Atliekant tyrimą analizuotos 33 respondentų sociolingvistinės anketos ir motyvacijos klausimyno atliktys bei 5 kokybiniai pusiau struktūruoti interviu. Kiekybinių duomenų analizė atlikta taikant aprašomosios ir išvadų statistikos metodus, o kokybiniams interviu pasitelktas teminės analizės metodas.
Raktažodžiai: svetimosios kalbos mokymosi motyvacija, kalbinės nuostatos, etninė tapatybė, lietuvių kilmės argentiniečiai, sociolingvistiniai veiksniai
Summary. This paper aims to answer the following questions: (1) How strong is the target group’s motivation to learn the Lithuanian language?; (2) What is the impact of different motivational components on the learners’ motivation to learn Lithuanian?; and (3) What factors might motivate the subjects to learn the Lithuanian language? The study analyzed the responses of 33 Argentinians of Lithuanian origin living in Lithuania and Argentina to a sociolinguistic form, a motivation questionnaire, and five semi-structured qualitative interviews with young Argentinians of Lithuanian origin. Descriptive, inferential statistics and qualitative analysis (thematic analysis of the semi-structured interviews) were used for data analysis.
The results indicate that the research group’s motivation to learn Lithuanian is quite strong. Participants are most strongly motivated by their positive attitudes toward the Lithuanian language, Lithuanians, and Lithuania, while the motivation of the ought-to L2 self is the weakest factor. Regression analysis revealed that the motivation of the ought-to L2 self is stronger among respondents living in Lithuania compared to those living in Argentina. Additionally, the attitudes of older respondents and those who have lived in Lithuania for a longer time toward the Lithuanian language, Lithuanians, and Lithuania are less positive than those of younger respondents and those who have lived in Lithuania for a shorter period. Respondents who reported a stronger Lithuanian identity also demonstrated a stronger motivation to learn Lithuanian.
Keywords: foreign language learning motivation, language attitudes, ethnic identity, Argentinians of Lithuanian origin, sociolinguistic factors
_________
Copyright © 2024 Lina Kalnaitytė, Loreta Vilkienė. Published by Vilnius University Press.
This is an Open Access article distributed under the terms of the Creative Commons Attribution Licence, which permits unrestricted use,
distribution, and reproduction in any medium, provided the original author and source are credited.
Lietuvos Respublikos Seimo duomenimis, šiuo metu Argentinoje gyvena apie 30 000 lietuvių kilmės žmonių1. Tai didelė diaspora, kuri aktyviausiai formavosi XIX a. pabaigoje ir XX a. pradžioje (plačiau žr. Ramonienė 2019), bet iki dabar yra išlaikiusi palyginti stiprią lietuviškąją tapatybę, nors menkai perdavusi lietuvių kalbą. Argentinos lietuvių diasporos atvejis yra sulaukęs įvairių sričių tyrėjų dėmesio, tačiau vis dėlto tyrimai nėra gausūs (žr. Kazlauskaitė 2011; Aleknavičius 2013; Aleksandravičius 2013; Ramonienė 2019). Pavyzdžiui, istorikas Rimvydas Aleknavičius (2013) savo magistro darbe išanalizavo Giedriaus Bakūno ir jo šeimos emigracijos į Argentiną istoriją. Asta Kazlauskaitė (2011) siekė atskleisti Argentinos lietuvių bendruomenės kultūrinę tapatybę ir jos kaitą XIX–XXI a. Egidijus Aleksandravičius (2013) apžvelgė lietuvių emigraciją į Argentiną ir diasporai kylančius sunkumus (Aleksandravičius 2013). Ramonienė (2019) tyrė Argentinos lietuvių kalbines nuostatas ir jų sąsają su lietuviškąja tapatybe bei pažvelgė į paveldėtosios lietuvių kalbos vietą ir jos vaidmenį Argentinos lietuvių diasporoje ir konstatavo, kad lietuvybė šioje šalyje yra aktyviai puoselėjama. Vis dėlto paminėtina, kad didelė dalis lietuvių Argentinoje asimiliavosi ir dabar lietuvių bendruomenės veiklose vyrauja vietinė – ispanų – kalba (Kazlauskaitė 2011: 86). Todėl, šio straipsnio autorių nuomone, Argentinos lietuvių tapatybės ir lietuvių kalbos santykį reikėtų analizuoti įvairesniais pjūviais nei yra atlikta iki šiol.
Asmeninė straipsnio autorių patirtis leido pastebėti, kad jauni lietuvių kilmės argentiniečiai palyginti aktyviai imasi mokytis lietuvių kalbos, kurios neperėmė iš šeimos, taigi jiems ta kalba yra svetimoji (toliau – K2). Kilo klausimas, kas skatina jaunus2 lietuvių kilmės argentiniečius grįžti prie lietuvių kalbos? Kadangi tokių tyrimų, kuriuose būtų atsakoma į minėtą klausimą, nesama, nuspręsta atlikti kiekybinę bei kokybinę apklausas ir išsiaiškinti, kokia yra šios tikslinės grupės lietuvių kalbos (kaip K2) mokymosi motyvacija.
Įvairių šalių mokslininkų manoma, kad tirti K2 mokymosi motyvaciją (toliau – K2MM) yra aktualu, nes tai gali padėti rasti atsakymus, kaip veiksmingiau išmokyti K2, kaip pasiekti geresnių rezultatų. Ieškoma atsakymų ir į klausimus, kaip etninė tapatybė veikia mokymosi motyvaciją. Pavyzdžiui, Bonnie Ellinger (2010), tyrusi Izraelio universitete studijuojančių gimtakalbių rusakalbių ir izraeliečių etninės tapatybės įtaką anglų kalbos mokymuisi, nustatė, kad stipresnė etninės tapatybės, siejamos su kalba, savivoka gali lemti sėkmingesnį tos kalbos mokymąsi (plg. Ellinger 2010). Tačiau vis dėlto mokslininkų manoma, kad tapatybė yra sudėtingas konstruktas, kuris gali įvairiai veikti K2MM, todėl pabrėžiama, kad reikia daugiau tyrimų, kad būtų galima pateikti patikimesnių išvadų (Gatbonton, Trofimovich 2008: 243). Dar mažiau atsakymų esama apie lietuvių K2MM, nes tyrimų šia tema nedaug. Pavyzdžiui, Loreta Vilkienė, Laura Vilkaitė-Lozdienė ir Justina Bružaitė-Liseckienė (2019) atliko tyrimą, kuriame analizuota moksleivių motyvacija mokytis lietuvių kalbos, ir nustatė, kad mokyklų rusų dėstomąja kalba mokinių stipresnė ar silpnesnė motyvacija mokytis lietuvių kalbos nedaro reikšmingos įtakos šios kalbos mokėjimui, o mokyklų lenkų dėstomąja kalba atveju motyvacija reikšmingai veikia lietuvių kalbos mokėjimo rezultatus (Vilkienė et al. 2019). Rugilė Miškinytė taip pat tyrė mokyklų ne lietuvių dėstomąja kalba moksleivių motyvaciją mokytis lietuvių kalbos ir atskleidė, kad esant stipresnei motyvacijai rezultatai yra geresni (Miškinytė 2022). Bružaitė-Liseckienė (2023) analizavo Vilniaus universiteto studentų iš užsienio šalių motyvaciją mokytis lietuvių kalbos kaip svetimosios. Tyrėjos buvo nustatyta, kad lietuvių kalbos kaip svetimosios mokymosi motyvacijai įtakos turi priežastis, dėl kurios studentai mokosi lietuvių kalbos, bei studijų tipas. Lytis ir amžius nebuvo statistiškai reikšmingi tiriamosios grupės K2MM. Tačiau daugiau tokia tema darbų šio straipsnio autorėms rasti nepavyko.
Šiame straipsnyje aprašomo tyrimo tikslas – atsakyti į klausimus, kokia yra tiriamųjų grupės motyvacija mokytis lietuvių kalbos, kokį poveikį besimokantiems daro skirtingos motyvacijos dalys, kokie veiksniai galimai skatina tiriamuosius mokytis lietuvių kalbos. Tikslui pasiekti kelti tokie uždaviniai:
1) parengti duomenų rinkimo tyrimo įrankius: sudaryti sociolingvistinę anketą, motyvacijos klausimyną, pusiau struktūruoto interviu planą bei surinkti tikslinės grupės duomenis;
2) paruošti kiekybinės apklausos duomenis analizei: sukoduoti motyvacijos klausimyno ir sociolingvistinės anketos atsakymus MS Excel lentelinėse skaičiuoklėse;
3) atrankiniu būdu išrašyti kokybinius interviu;
4) atlikti duomenų analizę ir nustatyti, ar stipri yra tikslinės grupės motyvacija mokytis lietuvių kalbos;
5) patikrinti, kokie yra atskirų motyvacijos skalių rezultatai;
6) aptarti, kas būdinga kiekvienai motyvacijos daliai ir kokie veiksniai daro tam įtaką.
Straipsnio autorės, atsižvelgusios į įvairių tyrimų rezultatus (plačiau žr. 3 skyrių), kėlė hipotezę, kad reikšmingą įtaką atskiroms tikslinės grupės K2MM dalims gali daryti šie veiksniai: lytis, amžius, etninės tapatybės savivoka. Kaip etninės lietuvio savivokos rodikliai buvo pasirinkti Lietuvos pilietybės turėjimas, lietuvių kalbos mokėjimas. Atsižvelgus į tiriamosios grupės specifiką, daryta prielaida, kad konkrečias K2MM dalis gali veikti ir gyvenamoji vieta (Lietuva ar Argentina) apklausos metu, Lietuvoje praleisto laiko trukmė. Tai ir buvo tikrinta regresine analize. Taigi buvo keliamos tokios statistinės hipotezės:
H0: lytis, amžius, Lietuvos pilietybė, lietuvių kalbos mokėjimas, gyvenamoji vieta, Lietuvoje praleisto laiko trukmė nedaro įtakos konkrečioms tikslinės grupės K2MM dalims;
H1: lytis, amžius, Lietuvos pilietybė, lietuvių kalbos mokėjimas, gyvenamoji vieta, Lietuvoje praleisto laiko trukmė daro įtaką konkrečioms tiriamųjų K2MM dalims.
Straipsnyje aprašomo tyrimo medžiagą sudaro 33 Lietuvoje ir Argentinoje gyvenančių suaugusių lietuvių kilmės argentiniečių atsakymai į motyvacijos klausimyną ir sociolingvistinę anketą bei 5 pusiau struktūruoti kokybiniai interviu su Lietuvoje ir Argentinoje gyvenančiais jaunais lietuvių kilmės argentiniečiais. Kiekybiniai duomenys analizuoti aprašomosios ir išvadų statistikos metodais pasitelkus Rstudio įrankį, o kokybiniams duomenims atlikta teminė analizė (plačiau žr. 4 skyrių).
Motyvacija yra sudėtingas psichologinis konstruktas. Tačiau tyrėjai vieningai sutaria, kad motyvacija gali būti svarbiausias sėkmingo kalbos mokymosi veiksnys (Engin 2009; Mao 2011: 1731 ir t. t.). Beje, kaip pažymi Nemira Mačianskienė ir Gintarė Gelūnaitė-Malinauskienė (2014: 119), „[m]okymosi motyvacija – tai tas variklis, kuris verčia mokytis ir kuris užtikrina sėkmingų keliamų tikslų pasiekimą“. Kaip matyti, minėtos tyrėjos atkreipia dėmesį į tai, kad mokymasis – ilgai trunkantis procesas, todėl svarbu, kad mokinys būtų motyvuotas pasiekti tikslą. Šiai minčiai pritaria kiti tyrėjai, pavyzdžiui, Katharina Kirchner (2004) bei Zoltán’as Dörnyei’us (2005: 65). Sin Yi Tsang (2012) svarsto, kad motyvacija yra bet kokia psichinė būsena, kuri prisideda prie sėkmingo kalbos mokymosi (Tang 2012: 132). Tad atkreipiamas dėmesys, kad motyvacija susijusi su mokinio vidiniais įsitikinimais. Panašiai mano ir Robert’as C. Gardner’is (1985), iškėlęs idėją, kad motyvuotas mokinys ne tik stengiasi išmokti kalbą, bet taip pat ir nori išmokti kalbą (Gardner 1985: 10–11). Kitaip sakant, K2 mokymasis nebus sėkmingas, jei mokinys kalbos mokysis, pavyzdžiui, tik dėl bandymo įtikti tėvams, tačiau pats asmeniškai to nenorės. Net ir mokiniui norint ir stengiantis išmokti K2, mokymosi procesas gali užsitęsti. Be to, K2MM yra kintanti ir dinamiška, t. y. tam tikru mokymosi etapu mokinys gali turėti stipresnę arba silpnesnę motyvaciją, jį mokytis gali skatinti skirtingi dalykai. Tačiau, nors motyvacija gali kisti, ją sąmoningai kontroliuoti ar keisti norima linkme mokiniui gali būti sudėtinga (Šešcilienė 1999: 208). Tad K2MM – asmenį veikiantis, bet nelengvai sąmoningai kontroliuojamas reiškinys.
Galima teigti, kad dėl motyvacijos reiškinio sudėtingumo skirtingais laikotarpiais mokslininkai į ją žvelgė nevisiškai vienodai ir siūlė įvairias teorines jos tyrimo prieigas (Markus, Nurius 1986; Higgins 1987; Gardner 1985; Dörnyei 2010 ir t. t.). Tačiau visos iki šiol egzistavusios motyvacijos teorijos viena kitai neprieštarauja, sutariama, jog K2 mokymosi sėkmei svarbus ne vienas motyvas, o įvairių motyvų kompleksas. Šiame straipsnyje aprašytame tyrime remiamasi Dörnyei’aus (2010) teorija, kuri vadinama vidinio aš sistema ir kurioje teigiama, kad mokytis K2 skatina mokinio vidiniai motyvai. Straipsnyje aprašomo tyrimo dalyviai – suaugę žmonės, kurie patys sąmoningai priima sprendimus. Todėl darytina prielaida, kad Dörnyei’aus vidinio aš sistema yra tikslinga ir padės atsakyti į keliamus klausimus.
Dörnyei’us (2010) savo teorijoje K2MM išskyrė tokius konstruktus: idealųjį aš (angl. ideal self) ir privalomąjį aš (angl. ought-to self), bei įvardijo, kad esama stiprios mokymosi aplinkos įtakos K2MM. Taigi visa K2MM Dörnyei’aus pasiūlyta sistema yra trinarė:
1) idealusis aš yra susijęs su K2 mokinio „norais, lūkesčiais, troškimais ir įsivaizdavimu, koks žmogus pats norėtų būti“ (Vilkienė et al. 2019: 51), pavyzdžiui, K2MM gali atsirasti tada, kai žmogus nori tobulėti kaip asmenybė. Beje, kaip teigia Judita Kormos ir Kata Csizér (2008), bandymas pasiekti idealųjį aš, t. y. noras tapti kompetentingu K2 kalbėtoju, gali būti stiprus motyvas mokantis K2 (Kormos, Csizér 2008: 331).
2) privalomasis aš yra susijęs su K2 mokinio nuomone, kas yra derama visuomenėje, kas atitinka normas, yra pareiga ir atsakomybė (Vilkienė et al. 2019: 51). Pavyzdžiui, mokinys gali mokytis kalbos vengdamas prasto pažymio ar nenorėdamas pyktis su tėvais. Taip pat mokinius gali skatinti mokytis K2 siekis atitikti bendraamžių grupės normas (Dörnyei, Ushioda 2009: 20). Pavyzdžiui, taip gali nutikti jauniems žmonėms anglų kalbos atžvilgiu. Beje, mokinys spaudimą mokytis K2 gali jausti ir iš etninės grupės, jei jos lūkesčiai K2 atžvilgiu yra dideli (ten pat: 20), pavyzdžiui, jei etninės grupės nariai manys, kad vien todėl, kad priklauso šiai grupei, jis privalo gerai mokėti jos kalbą. Taip gali nutikti, pavyzdžiui, emigracijoje.
3) mokymosi aplinka Dörnyei’aus (2010) sukurtoje vidinio aš sistemoje atsiranda todėl, kad buvo iškelta idėja, jog mokantis K2 mokymosi patirtis ir aplinka atlieka svarbų vaidmenį. Pavyzdžiui, ar mokinys bus motyvuotas ar nemotyvuotas mokytis K2, gali lemti tokie dalykai, kaip K2 mokytojas, mokymosi programa, bendraamžių grupė, įgyta mokinio mokymosi patirtis ir pan. (Dörnyei, Ushioda 2009: 30).
Taip pat atrasta, kad kai kuriuos mokinius mokytis K2 skatina noras atlikti veiksmus, prieštaraujančius kitų žmonių lūkesčiams ir pasiūlymams, o tai neaptariama Dörnyei’aus (2010) teorijoje (Bobkina et al. 2021: 548). Tokiu atveju mokiniai į socialinį spaudimą reaguoja priešingai nei privalomojo aš atveju. Todėl K2MM tyrėjų buvo iškelta mintis, kad yra dar vienas aš tipas, kuris įvardijamas kaip maištaujantysis aš (angl. rebellious self) (Thompson, Vásquez 2015; Bobkina et al. 2021). Šio straipsnio autorės savo tyrimo teorinę prieigą, pasiūlytą Dörnyei’aus, nusprendė papildyti įtraukdamos ir maištaujančiojo aš motyvacijos aspektą.
K2MM tyrėjai ieško atsakymų į klausimus, kokie sociolingvistiniai bei demografiniai ar kt. veiksniai gali turėti įtakos mokinių mokymosi motyvacijai, tačiau vienareikšmių atsakymų vis dėlto nėra pateikiama. Pavyzdžiui, dažnai analizuojama lyties veiksnio įtaka K2MM (Hou-Keat et al. 2017; Iwaniec 2019; Bobkina et al. 2021; Bružaitė-Liceskienė 2023 ir t. t.), bet vienuose tyrimuose nustatyta, kad moterų K2MM yra stipresnė nei vyrų (Pukevičiūtė 2008; Iwaniec 2019: 135; Vilkienė et al. 2019: 57), o kituose – skirtumų lyties požiūriu nerandama (Bobkina et al. 2021: 555; Bružaitė-Liseckienė 2023). Analizuojama ir amžiaus įtaka K2MM, tačiau ir šiuo atveju nėra vienareikšmiai nustatyta, kad amžius reikšmingai veiktų motyvaciją, nors atskleista, kad vyresni mokiniai deda daugiau pastangų mokydamiesi K2 (Bružaitė-Liseckienė 2023: 146), o skirtingo amžiaus mokinių K2MM stiprumui įtakos gali turėti skirtingi dalykai (Kormos, Csizér 2008).
Analizuojant K2MM dėmesys sutelkiamas ir į kalbines nuostatas, kurias įtraukti į K2MM tyrimus siūlė ir Dörnyei’us (Dörnyei 2010; Dörnyei, Ushioda 2011). Įvairių tyrėjų atrasta, kad nuostatos veikia žmogaus sprendimus dėl karjeros, išsilavinimo, lemia bendravimą su aplinkiniais ir pan. (Giles, Marlow 2011; Vilkienė et al. 2019: 57; Ramonienė, Ramonaitė 2021: 1028), daro įtaką ir K2MM (Ramonaitė 2023). Pavyzdžiui, teigiama, kad „kalbinės nuostatos dažnai teigiamai arba neigiamai veikia svetimosios kalbos mokymąsi, jo pažangą, gali būti tiesiogiai ar netiesiogiai susijusios su kalbos išmokimo lygiu, su kalbos mokymosi motyvacija“ (LTŽ 2012: 79). Taip pat pateikta įrodymų, kad kalbos mokymuisi įtakos daro ne tik požiūris į kalbą (Gudavičienė 2019: 163, Nikitina 2019: 71), bet ir nuostatos K2 bendruomenės narių (Ramonaitė 2023: 53) ir šalies, kurioje vartojama tikslinė kalba, atžvilgiu (Ramonaitė 2023: 56–57) ir pan. Tokios įžvalgos rodo, kad nuostatos gali turėti didelę įtaką bendrai K2 mokinio motyvacijai, todėl jas svarbu analizuoti. Paveldėtosios kalbos mokymosi motyvacijos tyrimuose taip pat išryškėja nuostatų svarba – rasta, kad motyvacijai mokytis paveldėtosios kalbos įtakos turi jaučiamas stiprus ryšys su kalba ir protėvių kultūra (Dos Santos 2021: 9–10). Remdamosi Dörnyei’aus (Dörnyei 2010; Dörnyei, Ushioda 2011) teorine prieiga, šio straipsnio autorės nuostatas įtraukė į motyvacijos tyrimo skalę kaip sudedamąją dalį.
Be to, tyrimai rodo, kad ypač paveldėtosios kalbos (tikslinei šio tyrimo grupei tai aktualu) mokymuisi įtakos gali turėti ir mokinio tapatybės savivoka (Kondo-Brown 2005: 574, Dos Santos 2021, Vilkienė 2023). Esama tyrimų, kurie atskleidžia, kad jei mokinys jaučia stiprų emocinį ryšį su savo šaknų etnine tapatybe ir paveldėtąja kalba, tai gali lemti jo geresnį paveldėtosios kalbos įsisavinimą (plg. Kondo-Brown 2005: 574, Comanaru, Noels 2009). Todėl į motyvacijos klausimyną buvo įtraukta ir su tapatybe susijusių teiginių grupė. Etninė tapatybė straipsnyje suprantama kaip asmens savivoka, saistymasis su kultūrine grupe, kurią telkia bendra istorija, kilmė, vertybių sistema, įpročiai, kalba, religija (plg. Block 2006: 39; 2008: 36)3. Šio straipsnio autorės tyrimo rezultatai taip pat rodo, kad mokantis paveldėtosios lietuvių kalbos bent laikinas atvykimas į protėvių šalį ar gyvenimas joje lemia stipresnę motyvaciją mokytis šios kalbos (Vilkienė 2019). Todėl kaip tam tikri su etnine tapatybe susiję rodikliai šiame tyrime buvo pasirinkti Lietuvos pilietybės turėjimas ir lietuvių kalbos (kad ir neaukšto lygio) mokėjimas. Lietuvio etninės tapatybės ir kalbos išlaikymo ir perdavimo per kartas tyrimų rezultatai yra įvairūs. Pavyzdžiui, nustatyta, kad JAV ir Kanados lietuvių diasporose svarba mokėti lietuvių kalbą laipsniškai menksta (Jakaitė-Bulbukienė 2015: 91–92; Vilkienė 2019: 68), o Kazachstane per laiką nublankusi lietuviškoji etninė tapatybė ketvirtoje kartoje gali pradėti stiprėti, bet tai nebūtinai skatina mokyti lietuvių kalbos (Vilkienė 2023: 104). Kaip minėta, straipsnio autorių buvo atkreiptas dėmesys, kad esama jaunų lietuvių kilmės argentiniečių, kurie siekia išmokti etninės tapatybės kalbą. Tai ir paskatino ieškoti atsakymo į klausimą, kiek tai lemia savivoka, kad esi lietuvis.
Taigi tyrėjų analizuojami įvairūs įtaką K2MM galimai darantys veiksniai, bet vis dėlto vienareikšmiai atsakymai nėra pateikiami. Tad šiuo straipsniu siekiama įsitraukti į diskusiją apie įtaką K2MM darančius veiksnius, tikrinama, kurie jų daro statistiškai reikšmingą įtaką tiriamųjų lietuvių kalbos mokymosi motyvacijai.
Ieškant atsakymo į tikslo klausimą, buvo atliktas kiekybinis ir kokybinis tyrimai. Kiekybinio tyrimo įrankį sudarė sociolingvistinė anketa ir motyvacijos klausimynas. Rengiant sociolingvistinę anketą buvo pasiremta monografijoje Emigrantai: kalba ir tapatybė pateiktu klausimynu (Ramonienė (moksl. red.) 2015: 209–221), kur esama klausimų, kurių atsakymai yra prielaida analizuoti lietuvių kalbos ir tapatybės ryšius emigracijoje. Tokie klausimai buvo aktualūs ir šiame straipsnyje aprašomam tyrimui, todėl 8 iš jų (žr. 9, 53, 54, 55, 62, 63, 64, 65 klausimus (ten pat: 209–221)) buvo įtraukti į šio tyrimo įrankį. Tačiau iš viso sociolingvistiniame klausimyne buvo 22 klausimai. Taigi kiti 14 klausimų buvo formuluojami remiantis kitų K2MM tyrėjų įžvalgomis, kokie veiksniai galimai daro įtaką K2MM.
Remiantis įvairių tyrėjų patirtimi (Dörnyei, Taguchi 2009;Vilkienė et al. 2019; Bružaitė-Liseckienė 2023), atliekant šiame straipsnyje aprašytą tyrimą, buvo parengtas ir motyvacijos klausimynas, į kurį buvo įtrauktos 6 skalės:
1) idealiojo aš;
2) privalomojo aš;
3) maištaujančiojo aš;
4) mokymosi aplinkos;
5) nuostatų lietuvių kalbos, lietuvių ir Lietuvos atžvilgiu;
6) tapatybės.
Kiekvienoje minėtoje skalėje buvo pateikta po 5 teiginius, kuriuos respondentai turėjo įvertinti Likerto skale. Taigi iš viso K2MM klausimyną sudarė 30 teiginių. Paminėtina, kad kiekvienoje skalėje nuspręsta pateikti po vieną teiginį, suformuluotą neigiamai, tad pritarimas tokiam teiginiui rodytų neigiamą lietuvių K2MM. Taip siekta išvengti automatinio klausimyno pildymo, o tokia praktika yra tipiška tiriant K2 mokymosi motyvaciją. Motyvacijos klausimyno skalių teiginiai buvo pateikiami atsitiktine tvarka, t. y. respondento variante visų skalių klausimai buvo sumaišyti, tad nebuvo akivaizdu, iš kokios skalės yra konkretus teiginys. Visiems tyrimo dalyviams teiginiai buvo pateikti vienoda tvarka. Numatant, kad kai kurie teiginiai konkrečiam respondentui galėjo būti neaktualūs, sudaryta galimybė rinktis ir atsakymą „neaktualu“. Pasakytina, kad tyrimo įrankio klausimai ir teiginiai buvo pateikti lietuvių kalba su vertimu į ispanų kalbą, kad lietuvių kalbos mokėjimo ribotumas nebūtų kliūtis. Straipsnio autorės yra dėkingos Gabijai Serapinienei, geranoriškai išvertusiai motyvacijos klausimyną į ispanų kalbą.
Kiekybinė apklausa buvo vykdoma elektroniniu būdu svetainėje www.manoapklausa.lt. Respondentų ieškota per feisbuko socialinį tinklą. Apklausos nuoroda buvo pateikta uždaroje feisbuko pokalbių grupėje „Argentinos en Lituania“. Vis dėlto daugiausia dalyvių buvo rasta pasitelkus sniego gniūžtės metodą. Kai kuriems respondentams apklausos nuoroda buvo siunčiama per pokalbių programą „Facebook Messenger“ iš jų veiklos ir feisbuko draugų nusprendus, kad asmuo gali būti lietuvių kilmės argentinietis.
Kokybiniai duomenys rinkti pasitelkus kokybinio pusiau struktūruoto interviu metodą. Interviu gairės buvo parengtos atsižvelgus į kiekybinės apklausos sociolingvistinį klausimyną. Gairėse buvo sutelktas dėmesys į tris temas:
1) lietuvių kalbos mokėjimas bei vartojimas;
2) nuostatos lietuvių kalbos, lietuvių ir Lietuvos atžvilgiu;
3) pilietybė ir tapatybė.
Kokybinių interviu informantų ieškota atliekant kiekybinį tyrimą: prašyta pateikti savo kontaktus tų, kurie norėtų duoti interviu. Tokių atsirado keturi. Dar vienas informantas, asmeniškai susirašinėjęs su tyrėja per „Facebook Messenger“ programą, taip pat sutiko įsitraukti į tyrimą. Keturi interviu buvo paimti nuotoliu per kompiuterines programas „Zoom“ bei „Mircosoft Teams“ ir pokalbių programėles „Whatsapp“ ir „Messenger“, vienas – gyvai. Kiekvienas informantas buvo supažindinamas, kad tyrimo duomenys bus anonimiškai naudojami mokslo darbe, ir buvo prašoma sutikimo pokalbį įrašyti, o vėliau naudoti tyrimo tikslais. Visi interviu buvo atlikti lietuvių kalba, tačiau tyrimo dalyviai buvo informuoti, kad galima kalbėti ir angliškai arba pereiti į ispanų kalbą. Tokia galimybe tyrimo dalyviai nepasinaudojo. Vidutinė pokalbio su vienu informantu trukmė – 43 min., iš viso įrašyta 3 val. ir 55 min. pokalbių.
Sociolingvistinės anketos duomenys buvo sukoduoti MS Excel lentelinėse skaičiuoklėse. Rengiant motyvacijos klausimyno duomenis tolesnei analizei, kiekvieno tyrimo dalyvio atsakymai perteikti skaitine verte, kad būtų galima atlikti duomenų regresinę analizę. Kitaip tariant, kiekvienam teigiamai suformuluoto teiginio atsakymui balai buvo skiriami taip: visiškai sutinku vertinta – 5, sutinku – 4, nei sutinku, nei nesutinku – 3, nesutinku – 2, o visiškai nesutinku – 1. Kadangi sutikimas su neigiamai suformuluotu teiginiu rodo tyrimo dalyvio mažesnę motyvaciją, šių klausimų atsakymai buvo žymimi taip: visiškai sutinku vertinta 1, o visiškai nesutinku – 5. Tad, pavyzdžiui, labai stiprią idealiojo aš motyvaciją turintis tyrimo dalyvis gali daugiausia surinkti: 5 + 5 + 5 + 5 + 5 = 25 šios skalės balus. Vis dėlto regresinė analizė atskleidžia patikimesnius duomenis tada, kai analizuojami skaitinių verčių vidurkiai, todėl buvo nuspręsta detaliau išanalizuoti skalių skaitinių verčių vidurkius. Kitaip sakant, 25 balai padalinti iš 5, nes skalėje buvo 5 klausimų atsakymai. Vėliau, atliekant regresinę analizę, buvo traukiamas ne įvertis 25, o 5 balai. Primintina, kad ne visi motyvacijos klausimyno teiginiai buvo aktualūs respondentams ir jie turėjo galimybę rinktis atsakymą „neaktualu“. Tokiu atveju pasirinktas atsakymas buvo neįtrauktas į skalės duomenis ir toliau neanalizuotas.
Ruošiantis duomenų analizei, visi interviu buvo išrašyti atrankiniu būdu atsižvelgiant į tikslines tyrimo temas. Išrašant buvo užrašoma tokia raiška, kokia buvo būdinga pašnekovams. Visi duomenys, iš kurių galėtų atsiskleisti konkretus informantas ar su juo susijusi svarbi informacija, buvo anonimizuojami. Pavyzdžiui, informantų vardai buvo pakeisti tyrėjų.
Kiekybiniame tyrime dalyvavo 33 respondentai: 20 moterų bei 13 vyrų, kurių amžius – 18–35 metai, o vidurkis – 24,45 metų. Visi tyrimo dalyviai yra užaugę Argentinoje ir visų jų gimtoji kalba – ispanų. Tačiau skiriasi respondentų gyvenamoji vieta: 21 iš jų tyrimo metu gyveno Argentinoje, 12 – Lietuvoje. Gyvenimo Lietuvoje trukmė svyruoja nuo 15 metų iki 3 mėnesių, o vidutinis tyrimo dalyvių pragyventas laikas Lietuvoje – apie 3 metus. Daugiausia tyrimo dalyvių yra ketvirtos kartos (toliau – KRT4) lietuviai (30). Du tyrimo dalyviai – trečios kartos (KRT3) lietuviai, vienas – antros kartos (KRT2). Beveik trečdalis tyrimo dalyvių yra Lietuvos piliečiai (13), o didžioji dalis (17 iš 20) neturinčių Lietuvos pilietybės norėtų ją gauti. 24 tyrimo dalyviai įvardijo, kad sieja savo ateitį su Lietuva. 8 tyrimo dalyviai atsakė, kad lietuvių kalbos nemoka, o 25 respondentai teigė moką lietuviškai. Lietuviškai mokantys tyrimo dalyviai šios kalbos pradėjo mokytis būdami skirtingo amžiaus: suaugę, t. y. vyresni nei 18 metų (18), nuo 12 iki 18 metų amžiaus (6), vaikystėje (iki 12 metų) (1). 17 tyrimo dalyvių (iš 21), kurie šiuo metu gyvena Argentinoje, yra buvę Lietuvoje bet vieną kartą, 4 respondentai, nebuvę Lietuvoje, norėtų Lietuvą aplankyti. 19 respondentų mokėti lietuvių kalbą labai svarbu, 11 – svarbu, o 3 – labiau svarbu, nei nesvarbu. Todėl galima teigti, kad jauni lietuvių kilmės argentiniečiai Lietuvą sieja su savo šaknimis, o tai gali turėti įtakos tyrimo dalyvių motyvacijai mokytis lietuvių kalbos.
Kokybiniame tyrime dalyvavo 5 informantai: 3 moterys, iš kurių 1 gyvena Argentinoje, o 2 – Lietuvoje, bei po 1 vyrą, gyvenantį Lietuvoje ir Argentinoje. Informantų amžius įvairavo nuo 21 iki 33 metų, vidurkis – 26 metai Primintina, kad visi informantai moka lietuvių kalbą.
4.4.1. Bendri tiriamosios grupės lietuvių K2MM bruožai
Primintina, kad, atliekant kiekybinę apklausą, surinkti 33 respondentų atsakymai. Visi tyrimo dalyviai užpildė motyvacijos klausimyną, o jų surinkti balai galėjo varijuoti nuo 1 iki 30. Daryta prielaida, kad kuo daugiau balų surenkama, tuo stipresnė tyrimo dalyvio motyvacija mokytis lietuvių kalbos. 1 paveikslėlyje apibendrinti tiriamųjų grupės motyvacijos klausimyno rezultatai.

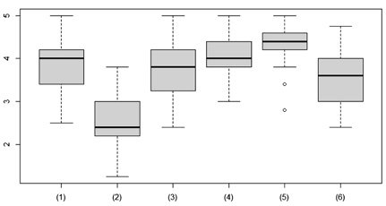
Iš 1 paveikslėlio matyti, kad motyvacijos klausimyno kraštiniai rezultatai siekia 18,95 (apatinė stačiakampės diagramos riba) bei 26,20 balo (viršutinė stačiakampės diagramos riba), tačiau jie bendrų motyvacijos rezultatų neiškreipia, kadangi šių duomenų mediana – 22,10 balo – beveik nesiskiria nuo duomenų vidurkio – 22,09 balo. Tad galima daryti išvadą, kad tyrimo dalyvių motyvacija yra palyginti stipri. Vis dėlto motyvacija yra konstruktas, kuris dažniausiai suvokiamas ir analizuojamas skaidant į mažesnius komponentus. Šiame darbe motyvacija suprantama kaip šešiadalė, t. y. susidedanti iš idealiojo aš (1), privalomojo aš (2), maištaujančiojo aš (3) motyvacijos, mokymosi aplinkos (4), nuostatų (5)bei tapatybės (6) dalių. Paminėtina, kad šiame darbe kiekvienoje skalėje tyrimo dalyvis galėjo surinkti nuo 1 iki 5 balų, vėliau buvo skaičiuojami skalių rezultatų vidurkiai. Kuo rezultatų mediana arčiau 5, tuo to pobūdžio motyvacija buvo laikoma stipresne. Visų minėtų skalių rezultatai pateikiami 2 paveikslėlyje.

Tad iš 2 paveikslėlio matyti, kad tyrime analizuotų motyvacijos skalių rezultatai skiriasi. Pavyzdžiui, privalomojo aš motyvacijos skalės rezultatų vidurkis daug mažesnis negu kitų skalių rezultatų vidurkis, o nuostatų skalės yra didžiausias.
Kiekviena iš šių motyvacijos dalių gali būti veikiama įvairių sociolingvistinių veiksnių. Ieškant atsakymo į klausimą, kurie veiksniai daro reikšmingą įtaką kiekvienai iš motyvacijos dalių, atliktos 6 daugianarės regresinės analizės su skirtingais priklausomaisiais kintamaisiais: idealiojo aš motyvacijos skalės rezultatų vidurkis, privalomojo aš motyvacijos skalės rezultatų vidurkis, maištaujančiojo aš motyvacijos skalės rezultatų vidurkis, mokymosi aplinkos skalės rezultatų vidurkis, nuostatų skalės rezultatų vidurkis bei tapatybės skalės rezultatų vidurkis. Primintina, kad, atliekant visas analizes, buvo tikrinama, ar konkrečiam priklausomajam kintamajam daro įtaką šie sociolingvistiniai veiksniai: lytis, amžius, Lietuvos pilietybės turėjimas, lietuvių kalbos mokėjimas, gyvenamoji vieta apklausos metu, Lietuvoje praleisto laiko trukmė. Kiekviena analizė buvo atliekama pažingsniui (t. y. atliktos pažingsninės šalinamosios regresijos (angl. backward stepwise regression)): iš pradžių į modelius buvo įtraukiami visi analizuoti veiksniai, o tada po vieną buvo atmetami tie, kurie pasirodė nereikšmingi. Taip atlikus atskiras regresines analizes, galutiniuose modeliuose liko tik tie sociolingvistiniai veiksniai (jeigu jų buvo), kurie reikšmingai veikė priklausomąjį kintamąjį. Įprastai pristatomi tik tokių regresijų galutiniai modeliai. Taip daroma ir šiame straipsnyje.
Tokio pobūdžio analizę nuspręsta atlikti dėl kelių priežasčių. Pirma, paeiliui iš modelio pašalinus nereikšmingus kintamuosius, modelio pokyčiai gali iliustruoti sudėtingus ryšius tarp kintamųjų (matyti kintamųjų tarpusavio ryšys). Antra, pažingsninė regresija leidžia sumažinti daugiakolineariškumą – labiau tikėtina, kad likę modelyje veiksniai savarankiškai prognozuoja priklausomojo kintamojo vertes (pgl. Brooks, Ruengvirayudh 2016). Pasakytina, kad mokslo pasaulyje esama diskusijų apie pažingsninių regresijų patikimumą ir naudingumą (ten pat), tačiau vieningos nuomonės neprieinama, tad metodas yra aktyviai taikomas. Jis dėl jau minėtų priežasčių buvo pasirinktas ir šiame tyrime.
Kad tokia regresinė analizė būtų atlikta, tyrimo duomenų buvo pakankama, nes regresinė analizė gali būti atliekama esant ir 30 respondentų (kiekvienam įtrauktam nepriklausomam kintamajam gali pakakti bent jau 5 atvejų). Svarbiausia, kad būtų patikrintas modelio tinkamumas. Tai ir buvo padaryta atliekant straipsnyje aprašomą tyrimą, t. y. patikrinus, ar modelis atitinka pagrindines teorines prielaidas, nustatyta, kad duomenys yra homoskedastiški, t. y. modelis gerai prognozuoja visus duomenis, jie yra normaliai pasiskirstę (regresijoms pritaikytas Šapiro testas), modelių determinacijos koeficientai (R2) taip pat buvo pakankamai aukšti, suvokiant, kad tiriama K2MM. Modelių tinkamumui įvertinti naudotas Akaikės informacinis kriterijus (AIC), tikrinta kiekvieno modelio veiksnių koreliacija (pgl. Levshina 2015).
Toliau straipsnyje pateikiami regresinės analizės rezultatai, juos derinant su kokybiniu žvilgsniu į motyvacijos anketos atsakymus ir giluminių interviu duomenis, tai aptariama kiekvienos skalės atveju. Konkrečios skalės rezultatai pateikiami tokiu eiliškumu, koks buvo motyvacijos anketoje.
4.4.2. Idealiojo aš motyvacija
Kaip matyti iš 2 paveikslėlio, tiriamosios grupės idealiojo aš motyvacija yra palyginti stipri, stipresnė yra tik motyvacijos dalis, susijusi su nuostatomis. Tačiau regresinė analizė atskleidė, kad nė vienas iš tirtų veiksnių nedaro statistiškai reikšmingos įtakos idealiojo aš motyvacijai (žr. 1 lentelę).
|
Fiksuoti modelio parametrai |
Parametrų įverčiai |
Standartinė paklaida |
T įverčiai |
Parametro reikšmingumas |
|
Laisvasis narys |
4,486 |
0,511 |
8,785 |
<0,001*** |
|
Amžius |
-0,029 |
0,02 |
-1,442 |
0,160 |
|
Gyvenamoji vieta |
0,335 |
0,204 |
1,638 |
0,112 |
|
R2 |
0,123 |
|||
Patikrinus, su kuo tiriamųjų grupė buvo linkusi labiausiai sutikti, nustatyta, kad tai toks teiginys: Norėčiau kada nors Lietuvoje lietuviškai bendrauti su lietuviais. Rezultatų vidurkis yra apie 4,63 balo (iš 5). Manytina, kad tokie duomenys rodo stiprų tyrimo dalyvių ryšį su Lietuva ir lietuvių bendruomene ir tai motyvuoja juos mokytis lietuvių kalbos. Kiek mažiau tyrimo dalyvių sutikta su teiginiais: Aš noriu kalbėti lietuviškai, todėl ir mokausi lietuvių kalbos (4,21), Manau kad ateityje man reikės lietuvių kalbos studijose, darbe ar asmeniniame gyvenime (4,06). Mažiausiai sutikta su teiginiu Man svarbu mokėti lietuvių kalbą, nes tada būsiu labiau gerbiamas kitų žmonių (2,68). Taigi mokytis lietuvių kalbos tyrimo dalyvius motyvuoja labiau pragmatiniai dalykai (kalbėjimo, bendravimo, studijavimo reikmių atveju), o ne susiję su respondentų asmenine erdve, kaip pagarba. Primintina, kad neigiamai suformuluoti skalių teiginiai buvo skaičiuoti remiantis kitokia logika, nei kitų skalių teiginių atvejais. Tad šiuo atveju didelis neigiamai suformuluoto teiginio Manau, kad naudingiau mokytis kitų dalykų, nei lietuvių kalba (3,71) rezultatas rodo stiprią motyvaciją, todėl silpną sutikimą su teiginiu. Tad matyti, kad respondentai yra linkę manyti, kad mokytis lietuvių kalbos yra palyginti naudinga. Galima sakyti, kad šios skalės rezultatai rodo, jog tyrimo dalyvių idealiojo aš motyvacija yra palyginti stipri. Kad tiriamųjų grupei būdinga idealiojo aš motyvacija, rodo ir interviu analizės rezultatai.
Analizuojant interviu išryškėjo, kad idealiojo aš motyvacijai įtakos daro gyvenimas Lietuvoje:
1. <...> man labai reikia, jeigu aš noriu gyventi čia, jeigu aš noriu turėti, kaip, labai geras gyvenimą, man reikia.4 (M24L)5
2. Mes nusprendėm, kad gyvensim Lietuvoj, tai tai nėra čia ko čia neišmokt tą lietuvių kalbą. (V33L)
3. <...> aš norėjau kaip turėti šeimą, turėti vaikais ir toliau. Tada aš, man atrodo, kad jeigu aš noriu, kad jie eis į mokyklą, aš noriu suprasti, kad ten kas ten ką jie kalba. (M24L)
4. Kai ten gyvenau hm aplankau ir daug švenčių, ir daug hm, pavyzdžiui, kai buvau Kaziuko mugėj ir taip toliau. Ir ir ten, aišku, yra yra turistai. Bet aš norėjau prie visų eiti ir ir kalbėti lietuviškai. (V30A)
Kaip matyti iš 1–4 pavyzdžių, Argentinoje užaugusius ir dabar Lietuvoje gyvenančius (žr. 1, 2, 3 pvz.) arba laikinai Lietuvoje gyvenusius (žr. 4 pvz.) informantus mokytis lietuvių kalbos motyvuoja jų noras gyvenant Lietuvoje suprasti lietuvių kalbą ir ja bendrauti. Kaip matyti iš 1 bei 3 pavyzdžių, norą mokėti lietuvių kalbą gyvenant Lietuvoje gali lemti itin pragmatiniai sumetimai. Paminėtina, kad Bružaitės-Liseckienės (2023) tyrime atrasta, kad laisvieji lietuvių kalbos kursų studentai turi stipresnę idealiojo aš motyvaciją nei tie, kuriems lietuvių kalbos pamokos yra privalomas dalykas. Kaip svarsto minėto tyrimo autorė, taip gali būti todėl, kad laisvieji klausytojai „tvirčiau sieja savo gyvenimą su Lietuva, čia dirba, turi šeimą ir pan.“ (Bružaitė-Liseckienė 2023: 137). Šiame straipsnyje aprašomas tyrimas taip pat atskleidė, kad gyvenimo kūrimas Lietuvoje stipriai motyvuoja mokytis kalbos. Beje, lietuvių diasporą Norvegijoje tyrusi Eglė Gudavičienė nustatė, kad Norvegijos lietuviai „nedvejodami pripažįsta, kad gyvenant kitoje šalyje reikia mokėti tos šalies kalbą“ (Gudavičienė 2019: 162), todėl noriai mokosi norvegiškai. Atvykėliai, išmokdami juos priėmusios visuomenės kalbą, nori parodyti pagarbą šiai bendruomenei. Tokias Bružaitės-Liseckienės (2023) ir Gudavičienės (2019) įžvalgas patvirtina ir šiame darbe aprašomas tyrimas, tačiau šio tyrimo informantų mintys aiškiai nepatvirtina Gudavičienės (2019) įžvalgos, kad kalbos gali būti mokomasi iš pagarbos šaliai ir jos kalbinei bendruomenei. Nors vienas informantas, šiuo metu gyvenantis Lietuvoje, minėjo, kad mokytis lietuvių kalbos reikėtų, nes gėda gyvenant nemokėti lietuviškai:
5. <...> ir norisi patobulėti<..>sakau, jau jau esu tokiam, kad net ir gėda ir ir sakau, kad jau 15 metų gyveni šaly, jau reikėtų geriau pakalbėt. (V33L)
Vis dėlto abejotina, ar tokia nuomonė gali būti siejama su pagarba šaliai. Paminėtina, kad Inga Hilbig (2022) yra pažymėjusi, jog „turimos galimybės kalbą prasmingai vartoti prisideda prie geresnio jos mokėjimo“ (Hilbig 2022: 116). O Lietuvoje gyvenantys tyrimo dalyviai gali įvairesnėse situacijose nei Argentinoje vartoti lietuvių kalbą. Tad 5 pavyzdyje cituotas informantas galimai tai numano ir todėl jaučiasi nepatogiai, nes nepateisina savo paties lūkesčių dėl lietuvių kalbos mokėjimo.
Vis dėlto kai kuriais atvejais buvo sunku pasakyti, kuri motyvacijos dalis labiausiai motyvuoja informantą mokytis lietuvių kalbos: kartais tas pats informanto pasisakymas galėjo būti traktuojamas ir kaip idealiojo ar maištaujančiojo aš motyvacijos išraiška. Tai tik dar kartą pagrindžia mintį, kad motyvacija – konstruktas, kurio dalys tarpusavyje susipynusios. Kaip antai 6 pavyzdyje matyti, kad informantą mokytis lietuvių kalbos veikia idealiojo aš motyvacija – mokinys dėl savo vidinių paskatų nori pabaigti kursą.
6. Man ten buvo labai smagu, nes aš norėjau būt geriausias, norėjau anksčiau pabaigti, norėjau maivytis, norėjau gaut pripažinimo. (V33L)
Iš šio pavyzdžio numanu, kad tyrimo dalyvį teigiamai veikė ir mokymosi aplinka, kur dominavo pozityvi konkurencija. Beje, aptariamame pavyzdyje galima įžvelgti ir maištaujančiojo aš motyvaciją – mokinio nuomone, aplinkiniai jo lietuvių kalbos mokėjimą vertins kaip sunkiai pasiektą dalyką, dėl kurio jis galės maivytis. Visa tai rodo, kad ne visada galima griežtai atriboti skirtingas motyvacijos dalis vieną nuo kitos.
4.4.3. Privalomojo aš motyvacija
Kaip matyti iš 2 paveikslėlio, privalomojo aš motyvacija silpniausiai veikia tyrimo dalyvius. Tai rodo, kad išoriniai veiksniai, pavyzdžiui, siekis pateisinti tėvų lūkesčius, daro mažą įtaką tiriamiesiems. Kaip jau buvo minėta, atlikta regresinė analizė, kuria tikrinta, ar šiai motyvacijai statistiškai reikšmingos įtakos daro kurie nors analizuoti sociolingvistiniai veiksniai. Paminėtina, kad Bružaitės-Liseckienės (2023) tyrime, kuriame analizuota užsieniečių motyvacija mokytis lietuvių kalbos, nebuvo nustatytas nė vienas veiksnys, turintis įtakos privalomojo6 aš motyvacijai (Bružatė-Liseckienė 2023: 139). Vis dėlto šiame straipsnyje aprašomame tyrime atlikta regresinė analizė parodė, kad jaunų lietuvių kilmės argentiniečių privalomojo aš motyvacijai statistiškai reikšmingos įtakos turi gyvenamoji vieta (p = 0,013) (žr. 2 lentelę).
|
Fiksuoti modelio parametrai |
Parametrų įverčiai |
Standartinė paklaida |
T įverčiai |
Parametro reikšmingumas |
|
Laisvasis narys |
2,2633 |
0,1223 |
18,501 |
<0,001*** |
|
Gyvenamoji vieta |
0,5367 |
0,2029 |
2,645 |
0,013* |
|
R2 |
0,195 |
|||
Kaip matyti 3 paveikslėlyje, Lietuvoje gyvenantys tyrimo dalyviai turi reikšmingai stipresnę privalomojo aš motyvaciją mokytis lietuvių kalbos negu Argentinoje gyvenantys respondentai.

Argentinoje gyvenančių tyrimo dalyvių privalomojo aš motyvacijos skalės rezultatų mediana yra 2,4 balo, didžiausias rezultatas – 3,25 balo, o mažiausias – 1,25 balo. Vis dėlto paminėtina, kad šiuo atveju didžiausias ir mažiausias rezultatai yra pavieniai atvejai. Tačiau galima teigti, kad minėti atvejai neiškreipia duomenų, o Argentinoje gyvenančių tyrimo dalyvių privalomojo aš motyvacija yra silpnesnė negu Lietuvoje gyvenančių respondentų. Lietuvoje gyvenančių respondentų privalomojo aš motyvacijos skalės rezultatų mediana yra 3 balai, didžiausias rezultatas – 3,8 balo, o mažiausias – 2 balai. Taigi Argentinoje gyvenančių respondentų privalomojo aš motyvacijos skalės rezultatai yra mažesni negu Lietuvoje gyvenančių respondentų pagal įvairias duomenų skaitines vertes.
Visi respondentai, nepriklausomai nuo gyvenamosios vietos, labiausiai sutiko su anketos teiginiu Man artimi žmonės moka lietuvių kalbą, todėl turiu ir aš išmokti lietuviškai. Šio teiginio bendras rezultatų vidurkis yra 3,5 balo, o Argentinoje gyvenančiųjų – 3,21 balo, Lietuvoje gyvenančiųjų – 4 balo. Beje, kokybinių interviu analizė atskleidė, kad tyrimo dalyviams artimi žmonės, bent šiek tiek mokantys lietuvių kalbą, gyvena ne vien Lietuvoje, bet ir Argentinoje. Tad Argentinoje mokytis lietuvių kalbos tyrimo dalyvius gali skatinti šioje šalyje lietuviškai kalbantys artimieji. Nors, kaip rodo minėto teiginio vertinimo rezultatai, Lietuvoje gyvenantys tyrimo dalyviai labiau sutiko su šios skalės teiginiu negu Argentinoje gyvenantys respondentai.
Visi respondentai mažiau sutiko su teiginiu Mokėti lietuvių kalbą man svarbu, nes žmonės, kuriuos gerbiu, mano, kad turiu mokėti lietuviškai. Aptariamu atveju bendras rezultatas – 2,4; Argentinoje gyvenančiųjų – 2,3; Lietuvoje gyvenančiųjų – 2,3 balo. Dar mažiau respondentų sutiko su teiginiu Jei nemokėsiu lietuvių kalbos, tai turės neigiamos įtakos mano gyvenimui: bendras rezultatas – 2,3 balo, Argentinoje gyvenančiųjų – 2,05, o Lietuvoje – 2,54 balo. Mažiausiai tyrimo dalyviai sutiko su teiginiu Privalau mokėti lietuvių kalbą, nes mano giminės to iš manęs tikisi: bendra 1,93; Argentinoje gyvenančiųjų – 1,65; Lietuvoje gyvenančiųjų – 2,45. Šie duomenys rodo, kad tyrimo dalyvius nedaug motyvuoja aplinkiniai ar aplinka.
Atsakymai į neigiamai suformuluotą privalomojo aš motyvacijos skalės teiginį Mokausi lietuvių kalbos, nes lietuvių kalbos mokėjimas man gali padėti rasti geresnį darbą taip pat rodo, kad ši motyvacija nėra itin stipri: bendra motyvacija – 2,3; Argentinoje gyvenančiųjų – 2,35; Lietuvoje gyvenančiųjų – 2. Tad skalės teiginių rezultatai rodo, kad tyrimo dalyviams privalomojo aš motyvacija nėra itin būdinga, nes teiginių balai yra dažniausiai netgi mažesni negu 2,5 balo, t. y. mažiau nei pusė didžiausio galimo surinkti balo, kuris yra 5 balai. Vis dėlto matyti, kad ne visais atvejais rezultatai rodo, kad Lietuvoje gyvenančių respondentų motyvaciją silpnai veikia privalomojo aš motyvacija.
Pasakytina, kad iš interviu taip pat išryškėja lietuvių kalbos mokymąsi motyvuojantis aspektas – siekis išvengti neigiamų pasekmių:
7. <...> jeigu aš noriu gyventi čia, turiu daug problemų su butą. (M24L)
8. <...> mane operavo. Aš buvau tuo metu Panevėžy. Panevėžy niekas nei bum bum anglų kalba. Tuo labiau ispanų. Tai vat labai greitai išmokau „krauja“, „čia neliesk“, „man skauda“. Tai tai vat mėnesį laiko ten gulėjau su kažkokiais diedukais. Ten ir susidraugavom, ir išmokau daug tokių<...> tai buvo sudėtinga, bet tai ir labai pastūmėjo. (V33L)
9. Aš iš tikrųjų išmokau daugiau, kai gyvenau su giminaičiais ten kaime, nes <...> ten viskas lietuviškai. Giminaičiai kalba lietuviškai, rusiškai. Aš rusiškai nešneku. (M22L)
10. <...> man tipo buvo ta momenta, kai man privalo jau. Tada kai įstojau į univerą, studijų programa buvo tik lietuviškai. (M22L)
Kaip matyti iš 7 pavyzdžio, Lietuvoje gyvenanti ir ateitį siejanti su Lietuva 24 metų mergina iškelia dažnai jauniems užsieniečiams, norintiems gyventi Lietuvoje, kylančią problemą – buto nuomą. Atvykusius į Lietuvą asmenis išmokti lietuvių kalbos netiesiogiai skatina aplinka, nes susiduriama su sunkumais, pavyzdžiui, ieškant gyvenamosios vietos (kartais nuomotojai moka tik lietuviškai ir rusiškai). Tad atvykėliai stengiasi išmokti kalbą. Taip pat, kaip matyti iš 8 pavyzdžio, argentiniečius lietuvių kalbos pramokti skatina tai, kad įvairiose Lietuvos miestų, ypač mažesnių, įstaigose sunku susikalbėti kitomis kalbomis. Iš interviu davusiųjų 5 žmonių tokią mintį išreiškė 2 informantai. Iš 9 pavyzdžio matyti, kad ir Lietuvoje gyvenantys giminaičiai kartais nemoka kitų kalbų, tik lietuvių ir rusų. Todėl tiriamajai grupei lietuvių kalbos mokėjimas yra būtinas dalykas bandant palaikyti glaudžius ryšius su giminėmis. 10 pavyzdžio informantė lietuvių kalbos mokosi siekdama nesulaukti neigiamų pasekmių mokymosi įstaigoje, kurioje studijos vykdomos lietuvių kalba. Tokią mintį išreiškė 2 informantai. Tad Lietuvoje gyvenančius tyrimo dalyvius mokytis lietuvių kalbos dažnai motyvuoja gyvenime kylantys sunkumai dėl lietuvių kalbos nemokėjimo. Paminėtina, kad, analizuojant kokybinius duomenis, tyrėjos nerado veiksnių, kurie skatintų Argentinoje gyvenančių tyrimo dalyvių privalomojo aš motyvaciją.
4.4.4. Maištaujančiojo aš motyvacija
Kaip matyti iš 2 paveikslėlio, maištaujančiojo aš motyvacija nėra nei silpniausia, nei stipriausia iš tyrime analizuotų motyvacijos dalių. Atlikus regresinę analizę, paaiškėjo, kad nė vienas į analizę įtrauktas sociolingvistinis veiksnys maištaujančiojo aš motyvacijai statistiškai reikšmingos įtakos nedaro (žr. 3 lentelę).
|
Fiksuoti modelio parametrai |
Parametrų įverčiai |
Standartinė paklaida |
T įverčiai |
Parametro reikšmingumas |
|
Laisvasis narys |
3,664 |
0,142 |
25,836 |
<0,001*** |
|
Laikas Lietuvoje |
-0,085 |
0,042 |
-1,994 |
0,056 |
|
Pilietybė |
0,526 |
0,240 |
2,191 |
0,037 |
|
R2 |
0,178 |
|||
Labiausiai respondentai sutiko su motyvacijos anketos teiginiu Aš mokausi lietuvių kalbos, nes ji yra kitokia, unikali, įdomi. Šio teiginio rezultatų vidurkis yra 4 iš 5 balų. Šiek tiek mažiau tyrimo dalyviai sutiko su teiginiais – Norėčiau gerai mokėti lietuvių kalbą, nors kiti sako, kad tai bus neįmanoma (3,85), Noriu mokytis lietuvių kalbos, nors kiti mano, kad to nereikia ir siūlo laisvalaikiu užsiimti kuo nors kitu (3,47). Šie balai yra didesni nei pusė galimo surinkti aukščiausio balo, todėl rodo palyginti stiprų tyrimo dalyvių norą priešintis aplinkinių nuomonei dėl lietuvių kalbos mokymosi. Mažiausiai tyrimo dalyviai sutiko su teiginiu – Pasirinkau mokytis lietuvių kalbos, nors kiti mane skatina mokytis naudingesnių dalykų (3,19), nors šio teiginio balas irgi yra aukštas. Neigiamai suformuluoto teiginio rezultatas taip pat rodo, kad maištaujančiojo aš motyvacija tyrimo dalyviams yra stipri, kadangi respondentai buvo linkę nesutikti su teiginiu – Aš vengiu mokytis lietuvių kalbos, nors tėvai reikalauja (4,29). Primintina, neigiamai suformuluoto teiginio rezultatas buvo skaičiuotas kitaip, todėl aukštas jo rezultatas rodo mažą sutikimą su teiginiu ir stiprią motyvaciją. Taigi rezultatai apie sutikimą su maištaujančiojo aš motyvacijos skalės teiginiais yra pasislinkę į didesnę pusę.
Atliekant interviu analizę, neišryškėjo, kad maištaujančiojo aš motyvacija būtų itin dažnai minima tyrimo dalyvių. Tačiau kai kurios informantų mintys rodo, kad esama ir šios motyvacijos apraiškų.
11. Tie, kurie jau žinojo, kad aš nenoriu kalbėt angliškai, o lietuviškai, visada tik lietuviškai buvo <...> nes norėjau lietuviškai praktikuoti. Angliškai galima visame pasaulyje. O lietuviškai nežinojo. (V30A)
12. Ir man labai smagu, kai, vat, Argentinoj su žmona lietuviškai kalbam ir gali, žinai, apkalbėti visus žmones, ir dzin ten, žinai. Tai apie mano mamą turėdavom kalbėti, sakydavom nu mama mama, visur gimdytoja sakydavom. Va, tokių žodžių ten prisigalvoji. Tai vat, labai faina, jeigu taip šnipu nori būti, lietuvių kalbą mokėt. (V33L)
Kaip matyti iš 11 pavyzdžio, informantą mokytis lietuvių kalbos motyvuoja tai, kad ją moka mažai žmonių pasaulyje. Be to, šis tyrimo dalyvis, mokėdamas, jo manymu, egzotišką kalbą, tuo didžiuojasi. 12 pavyzdys rodo, kad tyrimo dalyviui lietuvių kalba patinka bendrauti tada, kai aplinkiniai jos nesupranta. Tokį aspektą paminėjo 2 informantai. Beje, Vilkienės (2019) lietuvių diasporos tyrime atrasta, kad užsienio lietuviai ne Lietuvoje mėgsta vartoti lietuvių kalbą kaip paslapčių kalbą (Vilkienė 2019: 42). Šiame darbe aprašomo tyrimo duomenys taip pat rodo tokį polinkį. Nors maištaujančiojo aš motyvacija nėra stipri palyginus su kitomis detaliau tyrime analizuotomis motyvacijos dalimis, be to, nebuvo nustatyta statistiškai reikšmingų veiksnių, darančių įtaką šiam motyvacijos komponentui, tačiau duomenys nerodo, kad ji visai nėra būdinga jauniems lietuvių kilmės argentiniečiams, kurie mokosi lietuvių kalbos.
4.4.5. Mokymosi aplinka ir motyvacija
Kaip matyti 2 paveikslėlyje, mokymosi aplinkos skalės rezultatas yra palyginti aukštas – didesnis tik nuostatų skalės rezultatas. Atlikus regresinę analizę, paaiškėjo, kad nė vienas į pirminį regresijos modelį įtrauktas sociolingvistinis veiksnys neturi reikšmingos įtakos mokymosi aplinkos skalės rezultatams (žr. 4 lentelę).
|
Fiksuoti modelio parametrai |
Parametrų įverčiai |
Standartinė paklaida |
T įverčiai |
Parametro reikšmingumas |
|
Laisvasis narys |
4,695 |
0,422 |
11,122 |
<0,001*** |
|
Amžius |
-0,020 |
0,016 |
-1,211 |
0,235 |
|
Laikas Lietuvoje |
-0,058 |
0,029 |
-1,977 |
0,057 |
|
R2 |
0,205 |
|||
Tai, kad mokymosi aplinka tyrimo dalyviams turi įtakos jų lietuvių K2MM, rodo ir atidesnis žvilgsnis į duomenis. Pavyzdžiui, labiausiai respondentai sutiko su mokymosi aplinkos skalės teiginiu Lietuvių kalbos pamokose sužinau daug įdomių dalykų (rezultatas – 4,31 balo iš 5 balų). Šiek tiek mažesnis yra neigiamai suformuluoto teiginio Mokytis lietuvių kalbos nuobodu (4,33) rezultatas, kurio aukštas balas rodo stiprią motyvaciją ir mažą sutikimą su mintimi, kad mokytis lietuvių kalbos yra nuobodu. Su kitais klausimyno teiginiais – Man patinka mokytis lietuvių kalbos (4,18), Laukiu lietuvių kalbos pamokų (4,10) – tyrimo dalyviai sutiko aktyviai. Mažiausiai tyrimo dalyviai sutiko su teiginiu Per lietuvių kalbos pamokas laikas bėga greitai (3,97). Taigi mokymosi aplinkos skalės rezultatai apie teiginius yra pasislinkę į didesnę pusę, nes yra aukštesni nei pusė didžiausio galimo surinkti balo, kuris yra 5. Tai rodo, kad tyrimo dalyvius stipriai motyvuoja mokymosi aplinka.
Interviu analizė taip pat atskleidė, kad motyvaciją mokytis lietuvių kalbos didina mokymosi aplinka:
13. T: O Lietuvoj tuose kursuose nebuvo nuobodu? Nes pusantrų metų. Tai daug mokeisi.
I: Bet ten įdomiau buvo. Nes kiekvieną dieną yra buvo lietuviškai. (M22L)
13 pavyzdyje cituojamai tyrimo dalyvei patiko lietuvių kalbos pamokos Lietuvoje, nes jos vyko lietuviškai ir todėl buvo įdomios. Vis dėlto iš interviu analizės išryškėjo dar vienas motyvuojantis aspektas, kuris nebuvo įtrauktas į kiekybinį tyrimą, – mokytojas:
14. Mano mokytojai, kaip aš buvau Vokietijoj, jie buvo puikiai, puikiai, labai šilti. (M21A)
15. Mano mokytoja buvo labai gera. (V33L)
Kaip matyti iš pavyzdžių, informantai teigė, kad jiems patiko lietuvių kalbos mokytojai (-os), o tai skatino mokytis kalbos. Spėtina, kad tokios teigiamos nuostatos mokytojų atžvilgiu taip pat galėjo formuoti mokinių palankumą ir kalbinės bendruomenės atžvilgiu – tai taip pat stiprina mokymosi motyvaciją. Primintina, kad Peng ir Kang’o (2022) tyrimas taip pat rodo, kad K2 mokytojai gali teigiamai veikti mokinių nuostatas K2 bendruomenės atžvilgiu.
Taip pat paminėtina, kad ne vienas tyrimo dalyvis mokėsi lietuvių kalbos gavęs tam skirtą stipendiją (16 pvz.):
16. Suėjo 18 metų, išvažiavau į Vokietiją, nes gavau stipendiją ten mokintis lietuvių kalbą metus laiko. (V33L)
Pasakytina, kad visi 5 interviu davę informantai turėjo tokią galimybę. Spėtina, kad išorinis paskatinimas – stipendija – galėjo padidinti lietuvių K2 mokinių motyvaciją. Žinoma, galėjo būti ir atvejų, kai kalbos mokymas galėjo būti tik pretekstas išvykti į Lietuvą, į Europą. Vis dėlto bent daliai stipendininkų tai yra paskata mokytis lietuviškai ir šį veiksnį galima suprasti kaip susijusį su mokymosi aplinka. Tad iš esmės, kaip matyti iš tyrimo kiekybinių ir kokybinių duomenų analizės, mokymosi aplinka turi įtakos tiriamosios grupės lietuvių K2MM.
4.4.6. Nuostatos lietuvių kalbos, lietuvių ir Lietuvos atžvilgiu ir motyvacija
Kaip matyti 2 paveikslėlyje, nuostatų skalės rezultatai yra aukščiausi. Tad tyrimo dalyvius mokytis lietuvių kalbos palyginti stipriai motyvuoja teigiamos jų nuostatos lietuvių kalbos, lietuvių ir Lietuvos atžvilgiu. Regresinė analizė rodo, kad nuostatų skalės rezultatams reikšmingos įtakos turi tyrimo dalyvių amžius tyrimo metu (p=0,03) ir respondentų praleistas laikas Lietuvoje (p=0,004) (žr. 5 lentelę).
|
Fiksuoti modelio parametrai |
Parametrų įverčiai |
Standartinė paklaida |
T įverčiai |
Parametro reikšmingumas |
|
Laisvasis narys |
5,157 |
0,334 |
15,462 |
<0,001*** |
|
Amžius |
-0,03 |
0,013 |
-2,306 |
0,03* |
|
Laikas Lietuvoje |
-0,158 |
0,050 |
-3,114 |
0,004*** |
|
R2 |
0,188 |
|||
Kaip matyti 4 paveikslėlyje, kuriame pavaizduota amžiaus ir nuostatų sąsaja, didėjant tyrimo dalyvių amžiui, mažėja turinčiųjų teigiamas nuostatas lietuvių kalbos, lietuvių bei Lietuvos atžvilgiu. Tad numanu, kad vyresniuosius galbūt labiau mokytis kalbos motyvuoja ne teigiamos nuostatos kalbos, bendruomenės, šalies atžvilgiu, o kiti veiksniai.

Paminėtina, kad respondentų praleistas laikas Lietuvoje taip pat neigiamai koreliuoja su tyrimo dalyvių nuostatomis: ilgiau Lietuvoje gyvenantys respondentai turi mažiau pozityvias nuostatas lietuvių kalbos, lietuvių bei Lietuvos atžvilgiu negu trumpiau gyvenantys Lietuvoje tyrimo dalyviai (žr. 5 paveikslėlį).

Primintina, kad privalomojo aš motyvacijai statistiškai reikšmingos įtakos taip pat turi respondentų praleistas laikas Lietuvoje. Tačiau minėtos motyvacijos dalies atveju kaip tik nustatyta, kad kuo ilgiau tyrimo dalyviai gyvena Lietuvoje, tuo turi stipresnę privalomojo aš motyvaciją. Taigi spėtina, kad galbūt privalomojo aš motyvacija bei nuostatos lietuvių kalbos, lietuvių ir Lietuvos atžvilgiu galimai viena nuo kitos yra labiau priklausomos nei kitos motyvacijos dalys. Galbūt ilgiau gyvenant Lietuvoje minėtos nuostatos tampa mažiau pozityvios, todėl mokytis lietuvių kalbos stipriau motyvuoja privalomojo aš, o ne idealiojo aš motyvacija ar kitos motyvacijos dalys. Vis dėlto šį svarstymą reikėtų tikrinti platesniais tyrimais. Taip pat pasakytina, kad tik vienas tyrimo dalyvis Lietuvoje gyvena 15 metų, o visi kiti respondentai – trumpiau negu 5 metus. Tad vieno – 15 metų Lietuvoje gyvenančio – respondento duomenys turi itin didelės reikšmės statistinėje analizėje ir gali iškreipti rezultatus. Beje, iš 33 respondentų Lietuvoje gyvena tik 12 tyrimo dalyvių. Todėl tikintis gauti patikimesnių duomenų ir siekiant pateikti svaresnių atradimų apie nuostatų ir laiko Lietuvoje ryšį, reikėtų didinti tyrimo dalyvių imtį.
Pažvelgus į nuostatų skalės rezultatus, matyti, kad daugiausia tyrimo dalyviai sutiko su teiginiu Lietuvių kalba – graži kalba (4,73 balo iš 5 balų). Mažiau respondentai sutiko su šiais teiginiais: Noriu daugiau sužinoti apie Lietuvos kultūrą (4,68), Man patinka (patiktų) keliauti po Lietuvą (3,97). Tad tyrimo dalyvių nuostatos lietuvių kalbos ir Lietuvos atžvilgiu yra palyginti pozityvios. Šiek tiek mažiau pozityvios tyrimo dalyvių nuostatos lietuvių atžvilgiu: teiginio Manau, kad lietuviai yra draugiški ir malonūs įvertis 3,71 balo. Paminėtina, kad neigiamai suformuluoto teiginio rezultatas taip pat yra aukštas, t. y. išreiškia silpną sutikimą su teiginiu Lietuva man svetima šalis (4,41). Tad visi rezultatai pasislinkę į aukštesnę pusę ir rodo, kad ši skalė svarbi tiriamųjų motyvacijai mokytis lietuvių kalbos.
Interviu analizė taip pat atskleidė, kad esama tikslinių teigiamų nuostatų. Pavyzdžiui, taip pat buvo minimas lietuvių kalbos grožio aspektas. Tyrimo dalyvių sakyta, kad lietuvių kalba yra subtili, labai graži, elegantiška, viena iš seniausių kalbų. Vienas tyrimo dalyvis (V30A) duodamas interviu išreiškė itin glaudų ryšį su lietuvių kalba (žr. 17–19 pvz.):
17. I: <...>atsimenu vieną kartą atvyko šokti į bendruomenę iš Panevėžio hm šokių kolektyvas. Tai girdėjau, kaip skamba ta kalba. Tai susidomėjau, kad išmokti.
T: Bet o hm patiko ta kalba lietuvių? Hm, gražiai skambėjo ar dėl ko būtent?
I: Labai gražiai skambėjo ir dar aa ir, aišku, mano močiutė ir senelis visada hm klausdavo lietuviška muzika. Tai man man buvo ir įdomiai, ir ir ir jau šiek tiek sužinojau apie tą kalbą. (V30A)
18. T: O kas, na, sukelia tą jausmą, kad jautiesi kaip namuose Lietuvoj?
I: Nežinau, gal dėl kai kai gali klausyti, kai žmonės, kurie kalba lietuviškai. (V30A)
19. Reikia saugoti tą kalbą, gimtoji kalbą. Ir lietuviams, ir mums čia, Argentinoje, ir (neaiškūs žodžiai) lietuviams saugoti savo kalbą, nes yra jų kultūra. (V30A)
Kaip matyti iš 17 pavyzdžio, Argentinoje gyvenantį informantą mokytis lietuvių kalbos paskatino jo suvoktas, pajaustas lietuvių kalbos grožis bei vidinis noras geriau pažinti šią kalbą. Šis tyrimo dalyvis sakė, kad dar vaikystėje girdėjo lietuvių kalbą, nors jos nepramoko, bet galbūt todėl jis Lietuvoje jaučiasi kaip namuose, kurie jam siejasi su lietuvių kalba (18 pvz.). Beje, šis vyras lietuvių kalbą laiko ypatinga lietuviškos – jam savos – kultūros dalimi (19 pvz.). Tad numanu, kad tyrimo dalyvio nuostatoms lietuvių kalbos atžvilgiu turėjo įtakos tai, kad jam lietuvių kalba – paveldėtoji kalba. Gali būti, kad kitų tyrimo dalyvių nuostatos lietuvių kalbos atžvilgiu taip pat palyginti pozityvios dėl tos pačios priežasties: paveldėtoji kalba graži, svarbi. Tačiau 3 informantai teigė, kad lietuvių kalba yra ir sunki arba nelengva, o vienas tyrimo dalyvis minėjo, kad ši kalba yra griežta. Tad matyti, kad lietuvių paveldėtosios kalbos mokantis kaip K2, gali būti išreiškiamos šiek tiek mažiau pozityvios nuostatos lietuvių kalbos atžvilgiu nei galbūt paveldėtosios kalbos mokantis namų aplinkoje. Vis dėlto šį atradimą reikėtų tikrinti tolesniais tyrimais.
Iš kokybinių duomenų atsiskleidžia, kad informantai, kaip ir respondentai, reiškia palyginti teigiamas nuostatas ir lietuvių atžvilgiu. Informantai minėjo, kad lietuviai yra:
20. <...> mielas <...>, labai ramu, protingas ir bet šiltas. (M24L)
Taip pat lietuviai yra lojalūs žmonės. Nors viena Lietuvoje gyvenanti 24 metų amžiaus informantė teigė, kad lietuviai yra truputį šalta tauta. Bet galima sakyti, kad tiriamosios grupės nuostatos lietuvių atžvilgiu yra labiau pozityvios nei negatyvios.
Informantai Lietuvos atžvilgiu taip pat reiškė teigiamas nuostatas. Paminėtina, kad šiame tyrime, kaip ir atliktame Ramonienės (2023), atrasta, kad lietuvių diaspora Argentinoje linkusi lyginti Lietuvą su Argentina ir kalba apie tai, kas Lietuvoje labiau patinka. Taip iš šiame straipsnyje aprašyto tyrimo išryškėjo Lietuvos ramybės / saugumo aspektas (žr. 21–23 pvz.):
21. Man tas saugumas, kad ramu, kad viską žinai. (V33L)
22. I: Bet mes atvažiavom metam per šokių šventę. Ta, kur buvo 100 metų, didelė šventė. Mes atvažiavom su visa šeima ir giminaičiai ir viso to. Atvažiavau. Man labai patiko. Negaliu paaiškint kodėl. Man labai patiko.
T: Ar čia žmonės, aplinka ar kas?
I: Nežinau. Vieta, tipo. Vilnius, Kaunas. Klaipėda man labai fainas.
T: Ar kas čia? Ar architektūra, ar kas?
I: Nee ne. Nežinau kodėl. Man tik buvo labai faina pabūti. <...> nežinau, ta idėja kad, tipo, eini kažkur ir, tipo, aš čia galėčiau gyventi. Ta jausmas, kad o, čia rami, tipo, man patinka. Čia galima ilgai pabūti. (M22L)
23. Vilnius jau jau jau nu, galima skaityt, kaip miestas. Mažas miestas, ne miestelis, bet miestas. Bet ir dėl to taip faina kad, nu, mažesnis jau, ramiau. (M22L)
Interviu atskleidė ir daugiau tyrimo dalyviams Lietuvoje patinkančių dalykų, pavyzdžiui, architektūra:
24. Lietuva buvo naujas, su nauji pastatai <...> buvo labai gražu. (M21A)
Tyrimo dalyvė lygina iš senelių pasakojimų susikurtą Lietuvos vaizdinį su realybėje pamatyta Lietuva ir gėrisi šalimi. Lietuva taip pat patinka dėl čia gyvenančių giminaičių:
25. <...> čia, Lietuvoj, turiu giminaičių. (M22L)
Šiame pavyzdyje cituota informantė apsisprendė mokytis lietuvių kalbos Lietuvoje, kadangi čia ji turi giminaičių. Pasakytina, kad visi šio tyrimo informantai teigė arba palaikantys ryšius su atrastais giminaičiais Lietuvoje, arba bent jau juos susiradę ir susipažinę Lietuvoje. Tad numanu, kad tiriamoji grupė turi artimų žmonių Lietuvoje ir tai gali lemti jų motyvaciją mokytis lietuvių kalbos. Taip pat interviu analizė atskleidė, kad išryškinamas Lietuvos gamtos grožis:
26. <...> šitas miškas <...> yra kaip magiška. (M24L)
Geros gyvenimo sąlygos:
27. <...> tu gali įmonę atsidaryti internetu, <...> medicinos lygis pakankamai geras, išsilavinimo lygis pakankamai geras. (V33L)
Tik Lietuvos orai vertinami ir teigiamai (žr. 28 pvz.), ir neigiamai (žr. 29–30 pvz.):
28. <...> bet yra sninga, <...> yra įdomu. (M24L)
29. <...> d vitamino trūkumas (juokiasi). (V33L)
30. <...> nėra saulės<...>. (M22L).
Vis dėlto paminėtina, kad iš interviu analizės išryškėjo dar vienas aspektas – tyrimo dalyvių palankios nuostatos lietuviškosios kultūros atžvilgiu:
31. Man buvo labai įdomu ir labai norėjo, kaip, susitikti su mano prosenelės kultūra. Aa dabar man aš prisiminiau, kai pirmą kartą buvau čia Lietuvoj, aš negaliu kaip pabaigti verkti, nes aš jaučiau kaip, nežinau, bet buvo kaip emocija buvo labai labai laiminga, aš jaučiau, kaip namo. <...> Aš ten žinojau, kad aš norėčiau gyventi čia, jeigu galiu mano visą gyvenimą. (M24L)
Viena informantė į Lietuvą atvyko dėl protėvių kultūros, t. y. vedina siekio ją pažinti, ir čia jaučiasi kaip namuose (31 pvz.). Manytina, kad šį atvejį galima būtų sieti ir aiškinti kartu su idealiojo aš motyvacija, kadangi šiuo metu informantė dėl savo vidinių paskatų tobulina lietuvių kalbos mokėjimą, nes nori Lietuvoje pasilikti gyventi. Beje, primintina, kad 19 pavyzdžio informanto išsakyta mintis taip pat siejasi su teigiamomis nuostatomis kultūros atžvilgiu – informantas jaučia pareigą mokytis lietuvių kalbos, kad būtų išsaugota lietuviškoji kultūra (19 pvz.). Bet kuriuo atveju abu tyrimo dalyviai savo tapatybę sieja su lietuviškąja kultūra ir informantams ji yra svarbi. Taigi tyrimo dalyviai turi itin stiprias teigiamas nuostatas lietuvių, lietuvių kalbos bei Lietuvos atžvilgiu.
4.4.7. Tapatybė ir motyvacija
Kaip matyti 2 paveikslėlyje, tapatybės skalės rezultatas yra žemesnis negu nuostatų ir mokymosi aplinkos skalių rezultatai, bet aukštesnis negu idealiojo, privalomojo bei maištaujančiojo aš skalių rezultatai. Atlikta regresinė analizė rodo, kad tapatybės skalės rezultatams reikšmingos įtakos neturi nė vienas į modelį įtrauktas sociolingvistinis veiksnys (žr. 6 lentelę).
|
Fiksuoti modelio parametrai |
Parametrų įverčiai |
Standartinė paklaida |
T įverčiai |
Parametro reikšmingumas |
|
Laisvasis narys |
3,529 |
0,153 |
22,972 |
<0,001*** |
|
Gyvenamoji vieta |
0,344 |
0,258 |
1,335 |
0,192 |
|
Pilietybė |
-0,234 |
0,254 |
-0,920 |
0,365 |
|
R2 |
0,034 |
|||
Pažvelgus, kaip respondentai vertino kiekvieną šios skalės teiginį, matyti, kad labiausiai tyrimo dalyviai sutiko su teiginiu Mokausi lietuvių kalbos, nes gerbiu šeimos šaknis (4,32 balo iš 5). Tokie duomenys rodo, kad respondentai lietuvių kalbą sieja su šeimos tapatybe, kuri skatina mokytis kalbos. Beje, tyrimo dalyviai palyginti aktyviai sutiko su šiais teiginiais: Mokausi lietuvių kalbos, nes norėčiau gyventi Lietuvoje (4), Mokausi lietuvių kalbos, nes esu lietuvis (-ė) (3,83). Truputį mažiau respondentai buvo linkę sutikti su teiginiu Mokausi lietuvių kalbos, kad galėčiau gauti Lietuvos pilietybę (2,56). Tokie rezultatai rodo, kad tyrimo dalyviai mažiau sutinka, kad lietuviui būtina turėti dokumentus, kurie įrodytų priklausymą tautai. Neigiamai suformuluoto teiginio Manau, kad gali būti lietuviu ir nemokėdamas lietuvių kalbos (2,74) rezultatas taip pat rodo, kad tyrimo dalyviams svarbu lietuviškoji tapatybė, kadangi respondentai labiau sutiko nei nesutiko, kad lietuvis turi mokėti lietuvių kalbą. Beje, šios skalės teiginių rezultatai taip pat pasislinkę į didesnę pusę. Taigi tokie duomenys atskleidžia, kad respondentai tapatinasi su Lietuva ir lietuviais ir tai bent iš dalies skatina juos mokytis lietuvių kalbos.
Ir iš interviu analizės matyti, kad tyrimo dalyviams bent iš dalies būdinga lietuviškoji tapatybė (žr. 32–33 pvz.).
32. Mano visa gyvenimą mano senelis, mano tėvas buvo... labai jie puikiai kalbėjo lietuviškai, ir buvo labai patriotiškas. Ir aš augau su ta – mes visi esam lietuviai. (M21A)
33. Aš jaučiasi irgi labai argentinietė. Bet irgi mano vardas. Kaip aš sakiau Vaiva, visi klauso, iš kur, iš kur tavo vardas. Ir aš sakiau – aš esu iš lietuvių. Nežinau, yra kaip mano identitetas. (M21A)
Dažnai informantai nuo vaikystės žino, kad turi lietuviškų šaknų. Vieni iš jų girdėjo mažiau šeimos istorijų, o kiti nuo mažumės gyveno su artimųjų puoselėjama, palaikoma lietuviškąja tapatybe. Beje, Ramonienė (2019), analizavusi Argentinos atvejį, taip pat pažymėjo, kad KRT2 lietuviai Argentinoje labiau jaučiasi lietuviai negu argentiniečiai dėl tėvų auklėjimo (Ramonienė 2019: 103). Taigi ir Argentinos lietuvių diasporoje galioja tai, ką pažymi Vilkienė Kazachstano lietuvių atveju: aktyvi ir pozityvi tėvų pozicija gali lemti, kad lietuviškoji tapatybė skatina mokytis lietuvių kalbos (Vilkienė 2023).
Kokybiniai duomenys taip pat atskleidė informantų nuostatą, kad lietuvis turi mokėti lietuvių kalbą:
34. Kartais aš jaučiuosi truputį lietuvė, bet nes aš nežinau, kaip kalbėti, arba nesuprantu daug kaip istoriją apie Lietuvą. Aš jaučiuosi, kaip aš nesu lietuvė. Tada man atrodo, kad jeigu tu kalbi lietuviškai, tu tikrai esi lietuvis. (M24L)
34 pavyzdyje informantė teigia, kad lietuvių kalbos mokėjimas garantuoja, kad žmogus yra lietuvis. Tad lietuvių kalbos žinios vertinamos kaip tapatybės dalis. Vis dėlto Ramonienė (2019) atkreipia dėmesį, kad Argentinoje gyvenantys lietuviai pritaria „minčiai, kad kalba yra svarbu, tačiau nebūtina mokėti lietuviškai, kad jaustumeisi ar būtum laikomas lietuviu“ (Ramonienė 2019: 106). Tačiau primintina, kad Ramonienės (2019) tyrimo atveju daugiausia analizuotas KRT2 lietuvių kalbinis elgesys, nuostatos, tapatybė. Šiame darbe dėmesys sutelkiamas į tolimesnių – KRT3 bei KRT4 – kartų nuostatas. Tačiau, žinoma, tokio kokybinio tyrimo ribotumas – santykiškai nedidelė informantų grupė, kurios ypatybės gali daryti įtaką rezultatams.
Primintina, kad kokybinių interviu kalba buvo lietuvių. Informantai mokėjo lietuvių kalbą palyginti neblogai, tačiau visi 5 šio tyrimo dalyviai nemanė, kad yra vien lietuviai, nors taip pat neteigė, kad yra vien argentiniečiai. Lietuvių diasporos atveju tipiška, kaip teigia Vilkienė (2015), kad diasporos nariai yra linkę „atlikti du socialinius vaidmenis: lietuvio ir gyvenamosios šalies gyventojo“ (Vilkienė 2015: 119). Tai būdinga ir šio tyrimo informantams, kurie save įvardija siedami ir su Lietuva, ir su Argentina (žr. 35–38 pvz.):
35. argentinietė, <...> kartais jaučiasi lietuvė. (M24L)
36. <...>lietuvė-argentinietė. (M21A)
37. <...> labiau lietuvis<...>negu argentinietis, <...> netipinis argentinietis. (V33L)
38. argentinietis su lietuvių šaknų, [kuris būdamas Lietuvoje jaučiasi] kaip lietuvis. (V30A)
Tokie duomenys rodo stiprų tiriamosios grupės narių ryšį su jų gimtąja šalimi – Argentina, bet ir išreiškiamą artimą santykį su Lietuva, iš kurios yra kilę jų protėviai. Beje, pasakytina, kad 34 pavyzdžio informantė buvimą lietuve sieja su Lietuvos istorijos išmanymu, pati svarsto, kad per mažai žino apie Lietuvos istoriją, o tai verčia ją apgailestauti, abejoti, ar taip gali elgtis lietuvis. Tokia mąstymo kryptis aptariama ir kitų tyrėjų, kurie mano, kad svarbus ir būtinas etninės tapatybės formavimosi etapas yra tada, kai individas aiškinasi savo tautos kilmę, ieško savo etniškumo (Phinney, Ong 2007).
Beje, interviu rodo, kad informantams svarbus patriotiškumo jausmas:
39. T: O kalbėti lietuviškai irgi patinka?
I: Man labai patinka. Nes yra mano tauta. Mano mama irgi kalba lietuviškai, ir mano močiutė. (M21A)
40. T: Bet galbūt reikalinga ta kalbą? Na, kodėl pradėjai mokytis? Graži, bet gal ir reikalinga? O gal ir brangi?<..>
I: Tai yra patriotizmas. Am, nežinau, kaip kaip paaiškinti. (V30A)
Kaip matyti iš 39 pavyzdžio, Argentinoje gyvenanti informantė saistosi su Lietuva, teigia, kad yra lietuvių tautos dalis. Vis dėlto ta pati informantė duodama interviu paminėjo, kad Argentinos lietuviai, yra lietuviai be popieriaus. Ji sakė, kad dėl to nesijaučia blogai, o kaip tik didžiavosi, kad Argentinoje dar esama lietuvių, kuriems nereikia dokumento, suteikiančio tik tam tikrų privilegijų, pavyzdžiui, keliaujant ir pan. Primintina, kad respondentai mažiausiai sutiko su teiginiu, kad mokosi lietuvių kalbos dėl siekio gauti Lietuvos pilietybę. Paminėtinas Argentinoje gyvenančio 30 metų informanto (žr. 40 pvz.) atvejis. Šis tyrimo dalyvis save laiko lietuviu, o lietuvių kalbos išmokimas, jo nuomone, yra patriotiškas veiksmas. Tad lietuvių kalbos mokėjimas ne vienam tyrimo dalyviui reiškia patriotiškumą.
Atliktas tyrimas leidžia teigti, kad bendra tyrime dalyvavusių jaunų suaugusių lietuvių kilmės argentiniečių motyvacija mokytis lietuvių kalbos yra palyginti stipri, o tai rodo motyvacijos klausimyno rezultatai, kurie varijuoja nuo 18,95 iki 26,20 balo (iš galimų 30). Tokie rezultatai paremia kitų tyrėjų (plg. Kondo-Brown 2005, Comanaru, Noels 2009, Vilkienė 2019) įžvalgas, kad paveldėtosios kalbos mokiniai, jaučiantys stiprų emocinį ryšį su ta kalba, geriau ją išmoksta, spėtina, yra labiau motyvuoti tai daryti. Vis dėlto šį atradimą reikėtų tikrinti platesniais tyrimais. Kiekybinis tyrimas taip pat atskleidė, kad skirtingos motyvacijos dalys nevienodai veikia tikslinės grupės lietuvių K2MM – atskirų skalių rezultatų vidurkiai rodo, kad stipriausiai veikia palankios nuostatos kalbos, Lietuvos ir lietuvių atžvilgiu, o mažiausiai paveikus privalomojo aš dėmuo.
Buvo patikrinta, kiek atskirų skalių rezultatams įtakos daro įvairūs veiksniai: lytis, amžius, Lietuvos pilietybės turėjimas, lietuvių kalbos mokėjimas, gyvenamoji vieta, Lietuvoje praleisto laiko trukmė. Tyrimas atskleidė, kad atmesti H0 hipotezę, jog minėti veiksniai nedaro įtakos lietuvių K2MM, galima iš dalies, nes nustatyta, kad:
1) idealiojo aš motyvacijai iš tirtų sociolingvistinių veiksnių nė vienas nedarė statistiškai reikšmingos įtakos, bet tai galėjo lemti palyginti nedidelė respondentų imtis. Tačiau iš tyrimo duomenų išryškėjo keli dominuojantys teigiamai idealiojo aš motyvaciją veikiantys, manytina, su etnine lietuvio tapatybe susiję aspektai: noras gyventi Lietuvoje, gėda esant lietuviu nemokėti lietuvių kalbos; taip pat noras sėkmingai pabaigti lietuvių kalbos kursus;
2) privalomojo aš motyvacijai statistiškai reikšmingos įtakos turi gyvenamoji vieta (p = 0,013): Lietuvoje gyvenantys tyrimo dalyviai turi stipresnę privalomojo aš motyvaciją negu Argentinoje gyvenantys respondentai, taigi Lietuvoje gyvenančius tyrimo dalyvius mokytis lietuvių kalbos motyvuoja siekis išvengti neigiamų pasekmių;
3) maištaujančiojo aš motyvacijai iš tirtų sociolingvistinių veiksnių nė vienas nedaro statistiškai reikšmingos įtakos; tačiau iš kokybinių duomenų išryškėjo, kad tyrimo dalyvius mokytis lietuvių kalbos skatina lietuvių kalbos unikalumas;
4) mokymosi aplinkos skalės rezultatams statistiškai reikšmingos įtakos neturėjo nė vienas analizuotas sociolingvistinis veiksnys, tačiau nustatyta, kad poveikį daro pamokos, lietuvių kalbos mokytojas bei galimai finansinis paskatinimas, t. y. stipendija;
5) nuostatų skalės rezultatams statistiškai reikšmingos įtakos turėjo tyrimo dalyvių amžius tyrimo metu (p=0,03) ir respondentų praleistas laikas Lietuvoje (p=0,004): vyresni tyrimo dalyviai turėjo mažiau pozityvias nuostatas lietuvių kalbos, lietuvių ir Lietuvos atžvilgiu. Taip pat atsiskleidė, kad ilgiau Lietuvoje gyvenantys respondentai turi mažiau pozityvias minėtas nuostatas. Vis dėlto tyrimas parodė, kad dominuoja itin teigiamos nuostatos lietuvių kalbos, lietuvių ir Lietuvos atžvilgiu ir tai gali turėti teigiamos įtakos motyvacijai mokytis lietuvių K2MM. Primintina, kad teigiamų nuostatų svarba mokantis paveldėtosios kalbos išryškėja ir Luis’o Miguel’io Dos Santos’o (2021) tyrime.
6) tapatybės skalės rezultatams taip pat statistiškai reikšmingos įtakos neturėjo nė vienas analizuotas sociolingvistinis veiksnys. Tačiau iš duomenų matyti, kad tyrimo dalyviai tapatinasi su Lietuva ir lietuviais. Interviu išryškėjo šie aspektai: lietuviškoji tyrimo dalyvių tapatybė, nuomonė, kad lietuvis turi mokėti lietuvių kalbą, patriotiškumas. Taigi stipresnę lietuviškąją tapatybę išreiškiantys tyrimo dalyviai turi stipresnę motyvaciją mokytis lietuvių kalbos. Kinų paveldėtosios kalbos tyrime taip pat nustatyta, kad mokinių etninė tapatybė turi teigiamos įtakos paveldėtosios kalbos mokymosi motyvacijai (Comanaru, Noels 2009).
Aprašytas tyrimas atskleidė tikslinės grupės motyvacijos mokytis lietuvių kalbos tendencijas. Galima teigti, kad tiriamųjų grupės dydis yra ir šio tyrimo ribotumas. Sutelkus didesnę respondentų grupę, būtų galima tikrinti, ar pateiktos įžvalgos, išvados pasitvirtina. Tačiau šis darbas tęsia Lietuvoje vykdomus lietuvių K2MM tyrimus ir jo rezultatai galėtų būti naudingi kitiems kalbų mokymosi motyvaciją analizuojantiems tyrėjams. Taip pat ši tema gali būti toliau plėtojama analizuojant įvairiose šalyse gyvuojančių lietuvių diasporų jaunimo motyvaciją mokytis paveldėtosios lietuvių kalbos.
Literatūra
Aleknavičius, R. 2013. Lietuvių emigracija į Argentiną XX amžiaus antroje pusėje. Magistro darbas, Kaunas: Vytauto Didžiojo universitetas.
Aleksandravičius, E. 2013. Karklo diegas. Lietuvių pasaulio istorija. Vilnius: Versus aureus.
Block, D. 2006. Identity in Applied Linguistics. Iš Omoniyi T., G. White (sudaryt.). Sociolinguistic of Identity (34–49). London, UK: Continuum.
Block, D. 2008. Multilingual Identities in a Global City: London Stories. Basingstoke: Palgrave Macmillan.
Bobkina, J., M. J. Gomez-Ortiz, M. C. Núñez del Río, S. Sastre-Merino. 2021. Why am I learning English? Spanish EFL sports science university students´ motivational orientations through the prism of the L2 motivational self system. Studies in Second Language Learning and Teaching 11, 543–578.
Brooks, P. G., P. Ruengvirayudh. 2016. Comparing stepwise regression models to the best-subsets models, or, the art of stepwise. General Linear Models Journal 42, 1–14.
Bružaitė-Liseckienė, J. 2023. Vilniaus universiteto studentų iš užsienio šalių motyvacija mokytis lietuvių kalbos kaip svetimosios. Iš Hilbig I., I. Daraškienė, K. Jakaitė-Bulbukienė, E. Žurauskaitė (sudaryt.). Terp taikamosios kalbotėros barų: Mokslinių straipsnių rinkinys profesorės Meilutės Ramonienės jubiliejui (131–151). Vilnius University Open Series (vu.lt).
Butkienė, G., A. Kepalaitė. 1996. Mokymasis ir asmenybės brendimas. Vilnius: Margi raštai.
Chaffee, K. E., N. M. Lou, K. A. Noels, J. W. Katz. 2020. Why don’t „real men“ learn languages? Masculinity threat and gender ideology suppress men’s language learning motivation. Sage Journal 23, 301–318.
Comanaru, R., K. A. Neols. 2009. Self-Determination, Motivation, and the Learning of Chinese as a Heritage Language. The Canadian Modern Language Review 66. 131–158.
Dörnyei, Z. 2005. The psychology of the language learner: Individual differences in second language acquisition. Mahwah, NJ: Lawrence Erlbaum.
Dörnyei, Z., E. Ushioda. 2009. Teaching and researching motivation. London: Longman.
Dörnyei, Z. 2010. Motivation in second and foreign language learning. Cambridge: Cambridge university Press.
Dos Santos, L. M. 2021. The Relationship between Social Identity and Foreign Language Learning Motivation: The Sustainability of Heritage Language Learners. Sustainability 13, 1–13. https://www.mdpi.com/2071-1050/13/23/13102.
Ellinger, B. 2000. The Relationship Between Ethnolinguistic Identity and English Language Achievement for Native Russian Speakers and Native Hebrew Speakers in Israel. Journal of Multilingual and Multicultural Development 21, 292–307.
Engin, A. O. 2009. Second language learning success and motivation. Social Behavior and Personality: an international journal 37, 1035–1041.
Erler, L., E. Macaro. 2011. Decoding ability in French as a foreign language and language learning motivation, The Modern Language Journal 95, 496–518.
Gardner, R. C. 1985. Social Psychology and Second Language Learning: The Role of Attitudes and Motivation. London: Edward Arnold.
Garšvė, L. 2014. Lietuvių kilmės mokinių tautinio identiteto ugdymas(is) taikant hermeneutinės pedagogikos metodologiją. Daktaro disertacija, Šiauliai.
Gatbonton, E., P. Trofimovich. 2008. The ethnic group, affiliation and L2 proficiency link: Empirical evidence. Language Awareness 17, 229–248.
Gelūnaitė-Malinauskienė, G., N. Mačianskienė. 2014. Vokiečių kalbos mokymo(si) per anglų kalbą ypatumai daugiakultūrėje aplinkoje: mokymosi motyvacijos ir mokymosi aplinkos reikšmė. Darnioji daugiakalbystė 4, 115–131.
Giles, H., M. L. Marlow. 2011. Theorizing Language Attitudes Existing Frameworks, an Integrative Model, and new Directions. Annals of the International Communications Association 35, 161–197.
Gudavičienė, E. 2019. Oslo lietuvių kalbų mokėjimas ir kalbinis elgesys. Iš Ramonienė, M. (moksl. red.). Emigrantai: kalba ir tapatybė II. Keturi sociolingvistiniai portretai (149–182). Vilnius: Vilniaus universiteto leidykla.
Higgins, E. T. 1987. Self-discrepancy: A theory relating self and affect. Psychological Review 94, 319–340.
Hilbig, I. 2022. Lietuvos gyventojų svetimųjų kalbų mokėjimas. Iš Ramonienė, M. (moks. red.). Sociolingvistinė Lietuvos panorama: gyventojų kalbinės nuostatos ir kalbinis elgesys (27–71). Vilnius: Vilniaus universiteto leidykla.
Hou-Keat, K., H. H. Nurul, R. Norasrani. 2017. Motivation and gender differences in learning Spanish as a foreign language in a Malaysian technical university. Malaysian Journal of Learning and Instruction (MJLI) 14, 59–83.
Iwaniec, J. 2019. Language learning motivation and gender: the case of Poland. International Journal of Applied linguistics 29, 130–143.
Jakaitė-Bulbukienė, K. 2015. Lietuvių emigrantų šeima: kalba ir tapatybė. Daktaro disertacija, Vilnius.
Kazlauskaitė, A. 2011. Argentinos lietuvių bendruomenės kultūrinės tapatybės konstravimas ir kaita XIX a. pabaigoje–XXI a. pradžioje. OIKOS: Lietuvių migracijos ir diasporos studijos 11, 76–94.
Kirchner, K. 2004. Motivation beim Fremdsprachenerwerb: Eine qualitative Pilotstudie zur Motivation schwedischer Deutschlerner. Zeitschrift für Interkulturellen Fremdsprachenunterricht 9. 1–32. Kirchner | Motivation beim Fremdsprachenerwerb. Eine qualitative Pilotstudie zur Motivation schwedischer Deutschlerner | Zeitschrift für Interkulturellen Fremdsprachenunterricht (tu-darmstadt.de)
Kondo-Brown, K. 2005. Differences in Language Skills: Heritage Language Learner Subgroups and Foreign Language Learners. The Modern Language Journal 89, 563–581. Differences in Language Skills: Heritage Language Learner Subgroups and Foreign Language Learners on JSTOR
Kormos, J., K. Csizér. 2008. Age-related differences in the motivation of learning English as a foreign language: attitudes, selves, and motivated learning behaviour. Language Learning 58, 327–355. Age‐Related Differences in the Motivation of Learning English as a Foreign Language: Attitudes, Selves, and Motivated Learning Behavior (wiley.com)
Levshina, N. 2015. How to fo Linguistics with R Data exploration and statistical analysis. Amstterdam: John Benjamins Publishing Company.
LTŽ – Ramonienė, M., J. Brazauskienė, N. Burneikaitė, J. Daugmaudytė, E. Kontutytė, J.Pribušauskaitė. 2012. Lingvodidaktikos terminų žodynas. Vilnius: Vilniaus universiteto leidykla.
Mao, Z. 2011. A study on L2 motivation and applications in reading class in senior high school. Theory and Practice in Language Studies 12, 1731–1739.
Miškinytė, R. 2022. Svetimosios kalbos nerimo ir motyvacijos sąsajos su lietuvių kalbos mokymusi. Magistro darbas, Vilnius: Vilniaus universitetas.
Murkus, H., P. Nurius. 1986. Possible Selves. American Psychological Association 41, 954–969.
Nikitina, L. 2019. Do country stereotypes influence language learning motivation? A study among foreign language learners in Lalaysia, Stockholm. Moderna språk. 58–80.
Peng, L., S. Kang. 2022. Native versus non-native English teachers‘ influence on English language learning motivation and anxiety, Journal of Pan-Pacific Association of Applied Linguistics 16, 1–19. https://kiss.kstudy.com/Detail/Ar?key=3960246
Pukevičiūtė, V. J. 2008. Studentų užsienio kalbos mokymosi motyvacija. Acta Paedagogica Vilnensia 20, 66–77.
Ramonaitė, J., T., 2015. Italų kaip antrosios kalbos įsisavinimas: įvaikinimo iš Lietuvos situacija. Daktaro disertacija, Kaunas.
Ramonaitė, J. T. 2023. Lietuvoje gyvenančių užsieniečių kalbinės nuostatos lietuvių kalbos atžvilgiu; įžvalgos iš kokybinio tyrimo. Iš Hilbig I., I. Daraškienė, K. Jakaitė-Bulbukienė, E. Žurauskaitė (sudaryt.). Terp taikamosios kalbotėros barų: Mokslinių straipsnių rinkinys profesorės Meilutės Ramonienės jubiliejui (43–60). Vilnius University Open Series (vu.lt)
Ramonienė, M. (moksl. red.). 2015. Kalba ir tapatybė, kolektyvinė monografija . Vilnius: Vilniaus universiteto leidykla.
Ramonienė, M. 2019. Lietuvybė ir lietuvių kalba Argentinoje. Iš Ramonienė, M. (moksl. red.). Emigrantai: kalba ir tapatybė II. Keturi sociolingvistiniai portretai (87–108). Vilnius: Vilniaus universiteto leidykla.
Ramonienė, M., J. T. Ramonaitė. 2021. Language attitudes, practices and identity in the new Lithuanian diaspora. Russian Journal of Linguistics 25, 1024–1046.
Šešcilienė, I. M. 1999. Pirmo kurso studentų mokymosi motyvų ypatumai. Ugdymo kaita ir šiuolaikinės pedagoginės technologijos. VI tarptautinė mokslinė konferencija. Vilnius: VPU, 208–212.
Tsang, S. Y. 2012. Learning Japanese as a Foreign Language in the Context of an American University: A Qualitative and Process-Oriented Study on De/Motivation at the Learning Situation Level. Foreign Language Annals 45, 130–163.
Thompson, A. S., C. Vásquez. 2015. Exploring motivational profiles through language learning narratives. Modern Language Journal 99, 158–174.
Vetočkina, J. 2010. Ispanų kultūrinė adaptacija Lietuvoje. Magistro darbas, Vilnius: Vilniaus universitetas.
Vilkienė, L., L. Vilkaitė-Lozdienė, J. Bružaitė-Liseckienė. 2019. Lietuvių kalba Vilniaus lietuviškose, lenkiškose ir rusiškose gimnazijose: mokėjimo kokybė, kalbinės nuostatos ir motyvacija. Vilnius: Vilniaus universiteto leidykla.
Vilkienė, L. 2019. Toronto lietuvių bendruomenės lietuviškojo portreto eskizas. Iš Ramonienė, M. (moksl. red.). Emigrantai: kalba ir tapatybė II. Keturi sociolingvistiniai portretai (25–82). Vilnius: Vilniaus universiteto leidykla.
Vilkienė, L. 2023. Kazachstano lietuvių kilmės diasporos saitai su lietuvio etnine tapatybe ir lietuvių kalba. Taikomoji kalbotyra 19, 99–121.
Įteikta 2024 m. birželį
Priimta 2024 m. gruodį
1 Plačiau apie Argentinoje gyvenančius lietuvius: https://www3.lrs.lt/pls/inter/w5_show?p_r=488&p_k=1.
2 Šiame straipsnyje jaunais laikomi asmenys nuo Lietuvos Respublikoje pripažįstamos pilnametystės, t. y 18 metų, iki 35 metų amžiaus. Detaliau žiūrėti: Jaunimo politikos pagrindų įstatymo Nr. IX-1871 2 straipsnio pakeitimo įstatymo projektas (lrs.lt).
3 Šio straipsnio autorės supranta, kad tapatybė nėra statiška, ji taki, galinti kisti. Straipnyje analizuojama tai, kaip save suvokia respondentai ir informantai aprašomo tyrimo metu.
4 Informantų kalba pateikiama autentiška.
5 Informantų kodai sudaryti taip: pirma nurodoma lytis (V – vyras, M – moteris), tada – amžius interviu metu (pavyzdžiui, jei informantas 22 metų amžiaus, rašomas skaičius 22). Toliau didžiąja raide žymimas šalies, kurioje interviu metu tyrimo dalyvis gyveno, pavadinimas (A – Argentina, L – Lietuva.)
6 Bružaitės-Liseckienės (2023) darbe privalomojo aš motyvacija vadinama deramojo aš motyvacija.